A Randomized, Triple-Blind, Comparator-Controlled Parallel Study Investigating the Pharmacokinetics of Cannabidiol and Tetrahydrocannabinol in a Novel Delivery System, Solutech, in Association with Cannabis Use History
Abstract
Background:
An oral route of administration for tetrahydrocannabinol (Δ9-THC) and cannabidiol (CBD) eliminates the harmful effects of smoking and has potential for efficacious cannabis delivery for therapeutic and recreational applications. We investigated the pharmacokinetics of CBD, Δ9-THC, 11-OH-THC, and 11-nor-9-carboxy-Δ9-THC (THC-COOH) in a novel oral delivery system, Solutech™, compared to medium-chain triglyceride-diluted cannabis oil (MCT-oil) in a healthy population.
Materials and Methods:
Thirty-two participants were randomized and divided into two study arms employing a comparator-controlled, parallel-study design. To evaluate the pharmacokinetics of Δ9-THC, CBD, 11-OH-THC, and THC-COOH, blood was collected at pre-dose (t=0) and 10, 20, 30, and 45, min and 1, 1.5, 2, 2.5, 3, 4, 5, 6, 8, 12, 24, and 48 h post-dose after a single dose of Solutech (10.0 mg Δ9-THC, 9.76 mg CBD) or MCT (10.0 mg Δ9-THC, 9.92 mg CBD). Heart rate and blood pressure were measured at 0.5, 1, 2, 4, 6, 8, 12, 24, and 48 h. Relationships between cannabis use history, body mass index, sex, and pharmacokinetic parameters were investigated. Safety was assessed before and at 48 h post-acute dose.
Results:
Acute consumption of Solutech provided a significantly greater maximum concentration (Cmax), larger elimination and absorption rate constants, faster time to Cmax and lag time, and half-life for all analytes compared to MCT-oil (p<0.001). In addition, cannabis use history had a significant influence on the pharmacokinetic parameters of CBD, Δ9-THC, 11-OH-THC, and THC-COOH. On average, participants with later age of first use had higher Δ9-THC, CBD, and THC-COOH Cmax and later time-to-Cmax and half-life for Δ9-THC, CBD, THC-COOH, and 11-OH-THC than those with earlier age of first use (p≤0.032). Those with more years of recreational cannabis use had higher area under the curve for Δ9-THC and CBD, Cmax for CBD, and longer 11-OH-THC half-life than those with less (p≤0.048).
Conclusion:
This study demonstrated that consumption of Solutech enhanced most pharmacokinetics parameters measured compared to MCT-oil. Participant’s cannabis use history, including their age of first use and number of years using cannabis significantly impacted pharmacokinetic parameters investigated. Acute consumption of both products was found to be safe and well tolerated. The results suggest that Solutech may optimize bioavailability from cannabis formulations.
Article type: Research Article
Keywords: novel delivery system, pharmacokinetics, tetrahydrocannabinol, cannabidiol
Affiliations: New Age Ventures, New York, New York, USA.; Department of Psychiatry, Icahn School of Medicine at Mount Sinai, Addiction Institute of Mount Sinai, New York, New York, USA.; Department of Chemistry and Biochemistry, University of California, Santa Barbara, California, USA.; Delic Labs, Vancouver, Canada.; Biome Sciences, Inc., Encinitas, California, USA.; KGK Science, Inc., London, Canada.
License: © Volker Berl et al. 2022; Published by Mary Ann Liebert, Inc. CC BY 4.0 This Open Access article is distributed under the terms of the Creative Commons License [CC-BY] (http://creativecommons.org/licenses/by/4.0), which permits unrestricted use, distribution, and reproduction in any medium, provided the original work is properly cited.
Article links: DOI: 10.1089/can.2021.0176 | PubMed: 35787693 | PMC: PMC9784610
Relevance: Relevant: mentioned in keywords or abstract
Full text: PDF (801 KB)
Introduction
Tetrahydrocannabinol (Δ9-THC) and cannabidiol (CBD) exert different effects on G protein-coupled cannabinoid receptors, cannabinoid receptor (CB) type 1, and CB2.1,2 Δ9-THC, the major psychoactive cannabinoid, is an agonist at CB1 and CB2 receptors,3 whereas CBD, a nonintoxicating cannabinoid,4–6 acts as a negative allosteric modulator at the CBs. The development of cannabinoid therapeutics has been limited due to poor bioavailability of oral routes of administration generally considered for medicinal purposes. Bioavailability through oral ingestion of the two predominant cannabinoids in cannabis, Δ9-THC and CBD, is ∼6%.7
This low bioavailability is due to multiple factors, including extensive metabolism in the liver and degradation in the stomach due to the low pH, which limits the amount of Δ9-THC or CBD available to exert their physiological actions.7,8 Nanoemulsion formulations improve bioavailability of lipophilic compounds by utilizing tiny nanoparticles that encapsulate the lipophilic drug and protect it from the acidic environment in the stomach and can be more readily absorbed.9–11
Indeed, nanoemulsion formulations have improved absorption and bioavailability of CBD in rats.12 However, there are a dearth of high-quality, randomized clinical trials investigating the pharmacokinetics of oral Δ9-THC and CBD. Existing literature from open-label studies, crossover studies with insufficient washout periods, varying routes of administration, and small samples sizes do not allow for reasonable conclusions to be made.11,13–17 The lack of a participant’s cannabis use history, inclusive of age of first use and number of years using cannabis on pharmacokinetics, has not been previously addressed.
The objective of this randomized, triple-blind, comparator-controlled, parallel study was to investigate the bioavailability of a novel cannabis nanoemulsion delivery system, Solutech. The pharmacokinetics of CBD, Δ9-THC, 11-OH-THC, and 11-nor-9-carboxy-Δ9-THC (THC-COOH) of Solutech were compared to a common carrier oil, medium-chain triglyceride-diluted cannabis oil (MCT-oil), in a population of healthy individuals.
Materials and Methods
Study design
This study was conducted at KGK Science (London, Canada) from December 6, 2018 to November 30, 2020. A Cannabis Research Licence was granted by the Controlled Substances and Cannabis Branch and the study was approved by the Therapeutic Products Directorate (Health Canada, Ottawa, Canada) and the Institutional Review Board Services (Aurora, Canada). The study was conducted in accordance with the Declaration of Helsinki guidelines and its subsequent amendments and in compliance with the International Council for Harmonization of Technical Requirements for Pharmaceuticals for Human Use Guideline for Good Clinical Practice. The trial was registered at Clinicaltrials.gov (NCT04601207). Participants provided written informed consent before initiation of study procedures.
A screening visit and a 12-h in-clinic visit where an acute dose of either Solutech or MCT-oil was administered, with follow-up visits at 24 and 48 h post-administration were required. A phone follow-up to record adverse events (AEs) was made ∼72 h post-dose. At screening, medical history, concomitant therapies, comorbidities, and inclusion and exclusion criteria were reviewed (see below), heart rate (HR), blood pressure (BP), height and weight measured, and substance dependence assessed and excluded using criteria from the Diagnostic and Statistical Manual of Mental Disorders, 4th Edition (DSM-IV).18 Safety was assessed at screening and at t=48 h post-dose by blood collection for clinical chemistry, hematology, HbA1c, HIV, and Hepatitis B/C status. Participants were counseled to consume a low-fat dinner the evening before their baseline visit and dietary guidelines were dispensed. Thirty-two eligible participants (16 female and 16 male) returned to the clinic and were randomized to receive Solutech™ or MCT-oil.
Blood was collected at pre-dose (t=0) and 10, 20, 30, and 45 min and 1, 1.5, 2, 2.5, 3, 4, 5, 6, 8, 12, 24, and 48 h post-dose.19 Drug effects were assessed by administering a modified Drug Effects Questionnaire at each blood collection time point. Post-dose HR and BP were measured at 0.5, 1, 2, 4, 6, 8, 12, 24, and 48 h. Plasma levels of CBD, Δ9-THC, 11-OH-THC, and THC-COOH were analyzed by AltaScience (Laval, Canada). The analytical range was 0.200–80.000 ng/mL and assessed by protein precipitation using high-performance liquid chromatography (HPLC) with tandem mass spectrometry (MS/MS) detection. Screening blood work and safety end-points were analyzed by Dynacare (London, Canada) using standard procedures.
Participants
Participants were included if they were between the ages of 18–45, met study requirements for contraception, had a body mass index (BMI) between 19.0 and 29.9 kg/m2, consumed cannabis at least once in the past 6 months and at least four times in their lifetime without severe AEs, and agreed to washouts before baseline of 30 days for cannabis, 96 h for smoking tobacco, and 48 h for alcohol, their BP at screening did not exceed systolic BP of 140 mmHg and a diastolic BP of 90 mmHg, and were healthy as determined by medical history, laboratory results, and physical examination.
Individuals were excluded if they were pregnant, breast feeding, or planning to become pregnant; they were habitual users of cannabis defined as greater than four times/month for medicinal or recreational purposes; there was presence of amphetamines, barbiturates, cocaine, opiates, phencyclidine, benzodiazepines, nicotine (cotinine), alcohol or Δ9-THC, and metabolites in urine (positive test >20 ng/mL) at screening and randomization; they had personal or immediate family history of psychosis or history of suicidal ideation attempts and/or behavior, clinically diagnosed neuropsychiatric disorders, and substance dependence or were seeking or participating in treatment for substance-related disorders using DSM-IV18 criteria; they had clinically significant history or presence of oral or gastrointestinal pathology or symptoms, or other conditions known to interfere with absorption, distribution, metabolism, or excretion experienced within 7 days before baseline; they had hepatic or pancreatic malfunctions, cancer, diabetes, autoimmune disease, HIV, hepatitis B/C; the use of prescribed or over-the-counter medications or supplements that may have interfered with study results or participant safety; and they had clinically significant abnormal laboratory results or recent or active unstable medical condition as assessed by the Medical Director (MD), which may have adversely affected their ability to complete the study or posed significant risk. The exclusions ensured that only participants with experience with cannabis, who did not have medical and psychiatric comorbidities, were enrolled.
Investigational product
Solutech-TC10 (New Age Ventures LLC), an oral formulation for enhanced delivery of Δ9-THC and CBD contained 23.44 mg of cannabis oil (10.0 mg Δ9-THC, 9.76 mg CBD) combined with a unique blend of nonmedical ingredients that included emulsifiers, co-solvents, oil carrier, antioxidants, preservatives, and water. The comparator product, MCT-oil, contained 23.86 mg of cannabis oil (10.0 mg Δ9-THC, 9.92 mg CBD). Both products were administered orally with a syringe by a clinic coordinator to ensure it was consumed in its entirety, following which they were required to drink an 8-ounce glass of water. The two products were not identical in appearance and a red light lit clinic room ensured that the products were indistinguishable to the coordinator. Clinic coordinators not involved in the administration of the investigational products collected data and processed samples to ensure and maintain blinding.
Statistical analysis
The pharmacokinetic outcomes for CBD, Δ9-THC, 11-OH-THC, and THC-COOH evaluated the following: area under the curve to the last measured time point (AUCT) over a 48-h period; area under the curve to infinity (AUCi); lag time (tlag); time to maximum concentration (tmax); peak concentration (Cmax); elimination rate constant (λ); half-life (t1/2); terminal elimination rate constant (λz); terminal half-life (t1/2, z); and absorption rate constant (ka).
Outcomes were estimated at the individual level before differences between study arms were evaluated using two-sample t-tests for normally and log-normally distributed outcomes, and Wilcoxon’s rank sum test for intractably non-normal outcomes. The normality of the outcomes was evaluated using Shapiro-Wilk’s test. Subgroup analyses were conducted using multivariate linear regression models to evaluate differences in pharmacokinetic outcomes by demographic characteristics among study participants. All statistical analyses were conducted using R version 3.6.320 or newer and were considered significant if p<0.05.
Results
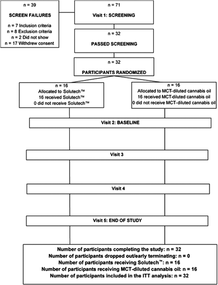
Figure 1 provides a participant disposition chart and Table 1 provides participant demographics. Participants reported using cannabis through smoking, edible, and/or oil routes, starting between ages 15 and 35 years and had used cannabis for 1–25 years. All participants were negative for urine THC at baseline, confirming they abstained from cannabis as per inclusion criteria. At t=0, concentrations of CBD, THC, 11-OH-THC, and THC-COOH of all participants were below the lower limit of quantification (0.200 ng/mL).

Table 1.: Participant Demographics
| Characteristic | Product | p | |
|---|---|---|---|
| Mean±SD | |||
| Median (min to max) | |||
| Solutech™ (n=16) | MCT-oil (n=16) | ||
| Age | 30.2±6.9 | 30.8±8.4 | 0.914 (l) |
| 30.0 (21.0–43.0) | 29.5 (20.0–45.0) | ||
| Sex | |||
| Female | 8 (50.0%) | 8 (50.0%) | 1.000 |
| Male | 8 (50.0%) | 8 (50.0%) | |
| Weight (kg) | 77.2±11.8 | 75.1±13.5 | 0.568 (w) |
| 79.4 (50.4–96.6) | 79.0 (47.0–95.6) | ||
| Height (cm) | 170.8±9.8 | 171.0±10.7 | 0.919 |
| 170.2 (155.3–191.5) | 172.9 (147.7–186.4) | ||
| BMI (kg/m2) | 26.3±2.2 | 25.4±2.5 | 0.093 (w) |
| 26.2 (20.9–30.0) | 25.1 (21.5–29.8) | ||
| Systolic BP (mmHg) | 121.0±7.7 | 119.9±11.5 | 0.740 |
| 119.9 (107.5–137.0) | 121.5 (104.0–140.0) | ||
| Diastolic BP (mmHg) | 78.3±4.7 | 75.5±6.2 | 0.161 |
| 78.0 (69.5–86.5) | 75.5 (65.0–86.0) | ||
| Heart rate (bpm) | 71.2±12.3 | 70.2±9.1 | 0.791 |
| 69.0 (48.5–90.5) | 71.7 (50.5–89.0) | ||
(l), log transformed; (w), Wilcoxon’s rank sum test.
BMI, body mass index; BP, blood pressure; MCT-oil, medium-chain triglyceride-diluted cannabis oil; SD, standard deviation.
Pharmacokinetic outcomes
Tetrahydrocannabinol
Solutech exhibited a significantly greater Δ9-THC Cmax, faster tmax, shorter tlag, larger λ, λz, and ka constants, and shorter t1/2 and t1/2, z compared to MCT-oil (p≤0.001) (Fig. 2). As well, maximum Δ9-THC concentration was 2.5 ng/mL greater, tmax was 4.4 h faster, and tlag was 1.5 h faster compared to MCT-oil. The overall Δ9-THC ka and the λ, λz, t1/2, and t1/2, z were faster with Solutech compared to MCT-oil. There were no significant differences in AUCT or AUCi between the groups (See Supplementary Table S1 for summary of pharmacokinetic parameters).

Cannabidiol
Solutech exhibited significantly greater CBD Cmax, faster tmax, shorter tlag, larger λ, λz, and ka constants, and shorter t1/2 and t1/2, z compared to MCT-oil (p≤0.001) (Fig. 3). CBD Cmax was 1.2 ng/mL greater, tmax was 4.1 h faster, and tlag was 2.1 h faster compared to MCT-oil. The overall rate of CBD ka and the λ, λz, t1/2, and t1/2, z was faster with Solutech compared to MCT-oil. There were no significant differences in AUCT between the groups. MCT-oil had significantly greater AUCi than Solutech (p=0.018) (See Supplementary Table S2 for summary of pharmacokinetic parameters).

11-OH-THC and THC-COOH
Solutech exhibited significantly greater 11-OH-THC (Fig. 4) and THC-COOH (Fig. 5) Cmax, faster tmax, shorter tlag, larger λ, λz, and ka constants, and shorter t1/2 and t1/2, z compared to MCT-oil (p≤0.001). With Solutech, the Cmax of the Δ9-THC metabolites, 11-OH-THC and THC-COOH, was 2.4 and 23.5 ng/mL greater, respectively. The Tmax of 11-OH-THC and THC-COOH was 4.1h faster, with Solutech. With Solutech, the tlag was 1.4 and 0.8 h faster for 11-OH-THC and THC-COOH, respectively. The overall ka, λ, λz, t1/2, and t1/2, z were faster with Solutech for both metabolites. There were no significant differences in AUCT or AUCi between Solutech and MCT-oil (See Supplementary Tables S3 and S4 for summary of pharmacokinetic parameters).


Corresponding to the earlier tmax, participants reported feeling more of the psychological effects of the drug earlier with the acute dose of Solutech compared to that of MCT-oil (data not shown).
Subgroup analysis
Stratifying by sex, BMI, years of cannabis use, and age at first cannabis use showed significant differences in pharmacokinetic parameters for CBD, THC, 11-OH-THC, and THC-COOH (Table 2).
Table 2.: Multivariate Linear Regression Models of Pharmacokinetic Outcomes by Demographic Characteristics
| Outcome | Characteristic | Comparator | Reference | Δ9-THC (n=32) | CBD (n=31)a | THC-COOH (n=32) | 11-OH-THC (n=32) | ||||||||
|---|---|---|---|---|---|---|---|---|---|---|---|---|---|---|---|
| Estimate | SE | p | Estimate | SE | p | Estimate | SE | p | Estimate | SE | p | ||||
| AUCT (ng/mL*h) | Sex | Male (n=16) | Female (n=16) | −2.329 | 0.924 | 0.013 | −1.611 | 0.501 | 0.002 | −65.770 | 31.530 | 0.040 | −6.621 | 1.970 | 0.001 |
| BMI | Overweight (n=21) | Normal (n=11) | −5.053 | 1.071 | <0.001 | −1.426 | 0.587 | 0.017 | 24.218 | 36.543 | 0.509 | 0.416 | 2.283 | 0.856 | |
| Length of recreational cannabis use | Each incremental year (n=32) | 0.138 | 0.069 | 0.048 | 0.097 | 0.039 | 0.014 | −4.175 | 2.357 | 0.080 | 0.079 | 0.147 | 0.593 | ||
| Earliest age at recreational cannabis use | Each incremental year (n=32) | 0.089 | 0.076 | 0.241 | −0.039 | 0.042 | 0.361 | −2.315 | 2.587 | 0.373 | 0.038 | 0.162 | 0.812 | ||
| Cmax (ng/mL) | Sex | Male (n=16) | Female (n=16) | −1.290 | 0.396 | 0.002 | −0.957 | 0.261 | <0.001 | −6.590 | 3.412 | 0.057 | −1.856 | 0.446 | <0.001 |
| BMI | Overweight (n=21) | Normal (n=11) | −0.064 | 0.459 | 0.889 | 0.083 | 0.306 | 0.787 | 4.493 | 3.955 | 0.259 | 0.808 | 0.517 | 0.122 | |
| Length of recreational cannabis use | Each incremental year (n=32) | 0.038 | 0.030 | 0.205 | 0.051 | 0.020 | 0.014 | −0.222 | 0.255 | 0.386 | 0.000 | 0.033 | 0.990 | ||
| Earliest age at recreational cannabis use | Each incremental year (n=32) | −0.092 | 0.032 | 0.006 | −0.048 | 0.022 | 0.032 | −0.706 | 0.280 | 0.013 | −0.061 | 0.037 | 0.099 | ||
| tmax (h) | Sex | Male (n=16) | Female (n=16) | 0.556 | 0.550 | 0.314 | 0.162 | 0.496 | 0.745 | 0.843 | 0.553 | 0.131 | 0.909 | 0.503 | 0.074 |
| BMI | Overweight (n=21) | Normal (n=11) | −1.165 | 0.637 | 0.071 | −1.520 | 0.582 | 0.011 | −1.129 | 0.641 | 0.082 | −1.247 | 0.583 | 0.035 | |
| Length of recreational cannabis use | Each incremental year (n=32) | 0.034 | 0.041 | 0.417 | 0.064 | 0.039 | 0.100 | −0.008 | 0.041 | 0.843 | 0.025 | 0.038 | 0.506 | ||
| Earliest age at recreational cannabis use | Each incremental year (n=32) | 0.145 | 0.045 | 0.002 | 0.193 | 0.042 | <0.001 | 0.125 | 0.045 | 0.007 | 0.121 | 0.041 | 0.004 | ||
| t1/2 (h) | Sex | Male (n=16) | Female (n=16) | 0.342 | 0.332 | 0.305 | 0.327 | 0.325 | 0.318 | −0.379 | 0.372 | 0.310 | 0.142 | 0.329 | 0.667 |
| BMI | Overweight (n=21) | Normal (n=11) | −1.293 | 0.384 | 0.001 | −1.279 | 0.382 | 0.001 | −0.233 | 0.431 | 0.590 | −0.972 | 0.381 | 0.012 | |
| Length of recreational cannabis use | Each incremental year (n=32) | 0.034 | 0.025 | 0.171 | 0.043 | 0.025 | 0.095 | 0.001 | 0.028 | 0.968 | 0.049 | 0.025 | 0.050 | ||
| Earliest age at recreational cannabis use | Each incremental year (n=32) | 0.122 | 0.027 | <0.001 | 0.104 | 0.028 | <0.001 | 0.127 | 0.031 | <0.001 | 0.127 | 0.027 | <0.001 | ||
| tlag (h) | Sex | Male (n=16) | Female (n=16) | 0.625 | 0.196 | 0.002 | 0.237 | 0.110 | 0.034 | 0.219 | 0.336 | 0.517 | 0.385 | 0.229 | 0.096 |
| BMI | Overweight (n=21) | Normal (n=11) | −0.394 | 0.227 | 0.085 | −0.069 | 0.128 | 0.589 | −0.804 | 0.394 | 0.044 | −0.520 | 0.265 | 0.053 | |
| Length of recreational cannabis use | Each incremental year (n=32) | −0.013 | 0.015 | 0.385 | −0.014 | 0.008 | 0.092 | 0.041 | 0.026 | 0.124 | −0.001 | 0.017 | 0.954 | ||
| Earliest age at recreational cannabis use | Each incremental year (n=32) | 0.044 | 0.016 | 0.008 | 0.025 | 0.009 | 0.006 | 0.085 | 0.029 | 0.004 | 0.034 | 0.019 | 0.076 | ||
| AUCi (ng/mL*h) | Sex | Male (n=16) | Female (n=16) | −1.794 | 0.972 | 0.068 | −1.155 | 0.628 | 0.069 | −98.280 | 35.943 | 0.008 | −5.988 | 2.028 | 0.004 |
| BMI | Overweight (n=21) | Normal (n=11) | −5.533 | 1.127 | <0.001 | −2.078 | 0.709 | 0.004 | 15.738 | 41.658 | 0.706 | −0.081 | 2.351 | 0.972 | |
| Length of recreational cannabis use | Each incremental year (n=32) | 0.154 | 0.073 | 0.037 | 0.179 | 0.048 | <0.001 | −3.586 | 2.687 | 0.185 | 0.010 | 0.152 | 0.948 | ||
| Earliest age at recreational cannabis use | Each incremental year (n=32) | 0.127 | 0.080 | 0.116 | 0.152 | 0.056 | 0.009 | 0.441 | 2.949 | 0.881 | 0.024 | 0.166 | 0.887 | ||
| λ (h-1) | Sex | Male (n=16) | Female (n=16) | −0.031 | 0.058 | 0.598 | 0.007 | 0.068 | 0.916 | 0.002 | 0.002 | 0.228 | 0.008 | 0.023 | 0.723 |
| BMI | Overweight (n=21) | Normal (n=11) | 0.142 | 0.067 | 0.038 | 0.189 | 0.079 | 0.019 | 0.000 | 0.002 | 0.912 | 0.065 | 0.026 | 0.017 | |
| Length of recreational cannabis use | Each incremental year (n=32) | 0.004 | 0.004 | 0.336 | 0.001 | 0.005 | 0.786 | 0.000 | 0.000 | 0.294 | −0.002 | 0.002 | 0.309 | ||
| Earliest age at recreational cannabis use | Each incremental year (n=32) | −0.010 | 0.005 | 0.044 | −0.011 | 0.006 | 0.064 | −0.001 | 0.000 | 0.001 | −0.006 | 0.002 | 0.001 | ||
| λZ (h-1) | Sex | Male (n=16) | Female (n=16) | −0.068 | 0.054 | 0.215 | −0.097 | 0.063 | 0.129 | 0.006 | 0.005 | 0.257 | 0.017 | 0.021 | 0.413 |
| BMI | Overweight (n=21) | Normal (n=11) | 0.136 | 0.063 | 0.033 | 0.128 | 0.072 | 0.078 | 0.004 | 0.006 | 0.505 | 0.040 | 0.024 | 0.100 | |
| Length of recreational cannabis use | Each incremental year (n=32) | 0.003 | 0.004 | 0.395 | 0.005 | 0.005 | 0.292 | 0.000 | 0.000 | 0.376 | −0.002 | 0.002 | 0.204 | ||
| Earliest age at recreational cannabis use | Each incremental year (n=32) | −0.013 | 0.004 | 0.004 | −0.009 | 0.006 | 0.107 | −0.002 | 0.000 | <0.001 | −0.006 | 0.002 | 0.001 | ||
| t1/2, z (h) | Sex | Male (n=16) | Female (n=16) | 0.381 | 0.208 | 0.070 | 1.387 | 0.613 | 0.026 | −3.418 | 1.989 | 0.089 | −0.038 | 0.327 | 0.908 |
| BMI | Overweight (n=21) | Normal (n=11) | −0.864 | 0.241 | 0.001 | −1.289 | 0.693 | 0.066 | −3.337 | 2.305 | 0.151 | −0.304 | 0.379 | 0.425 | |
| Length of recreational cannabis use | Each incremental year (n=32) | 0.039 | 0.016 | 0.013 | 0.081 | 0.047 | 0.086 | 0.275 | 0.149 | 0.068 | 0.019 | 0.024 | 0.451 | ||
| Earliest age at recreational cannabis use | Each incremental year (n=32) | 0.113 | 0.017 | <0.001 | 0.170 | 0.055 | 0.003 | 0.603 | 0.163 | <0.001 | 0.087 | 0.027 | 0.002 | ||
| ka (h-1) | Sex | Male (n=16) | Female (n=16) | −0.135 | 0.108 | 0.215 | −0.163 | 0.127 | 0.204 | 0.012 | 0.011 | 0.257 | 0.034 | 0.041 | 0.413 |
| BMI | Overweight (n=21) | Normal (n=11) | 0.271 | 0.125 | 0.033 | 0.269 | 0.143 | 0.063 | 0.008 | 0.012 | 0.505 | 0.079 | 0.048 | 0.100 | |
| Length of recreational cannabis use | Each incremental year (n=32) | 0.007 | 0.008 | 0.395 | 0.011 | 0.010 | 0.274 | −0.001 | 0.001 | 0.376 | −0.004 | 0.003 | 0.204 | ||
| Earliest age at recreational cannabis use | Each incremental year (n=32) | −0.026 | 0.009 | 0.004 | −0.009 | 0.012 | 0.441 | −0.004 | 0.001 | <0.001 | −0.011 | 0.003 | 0.001 | ||
Bold indicates statistical significance (p < 0.05).
Model estimates represent the average difference in a pharmacokinetic outcome of a participant in the comparator group relative to one in the reference group, adjusted for all other modeled characteristics.
For CBD metabolite, for male n=15, for female n=16, for overweight n=20, for normal n=11, and for length of recreational cannabis use and earliest age at recreational cannabis use n=31.
CBD metabolite, the data are for 31 participants as for a 20-year-old male, CBD concentrations never reached greater than the lower limit of detection.
Δ9-THC, tetrahydrocannabinol; λ, elimination rate constant; λz, terminal elimination rate constant; AUCi, area under the curve to infinity; AUCT, area under the curve to the last measured time point; CBD, cannabidiol; Cmax, maximum concentration; ka, absorption rate constant; SE, standard error; t1/2, half-life; t1/2, z, terminal half-life; THC-COOH, 11-nor-9-carboxy-Δ9-THC; tlag, lag time; tmax, time to maximum concentration.
Safety
There were seven post-emergent AEs reported, four in the Solutech and three in the MCT-oil group. One AE of aphthous ulcer classified as “possibly” related to Solutech was resolved within 2 days of the 48-h follow-up visit. One AE of malaise categorized as “probably” related to Solutech was resolved by the end of the study. Minor modifications in laboratory values were deemed not clinically relevant by the MD. One participant had a clinically relevant potassium value at 48 h post-dose, categorized as “unlikely” related and resolved at a repeat test 2 days later.
Discussion
This study demonstrates that an acute dose of Solutech results in significant improvement in cannabinoid bioavailability as assessed by the following parameters (Fig. 6): greater maximum concentration; faster time to maximum concentration; shorter time-lag; shorter half-life; larger elimination; and absorption rate constants for CBD, Δ9-THC, 11-OH-THC, and THC-COOH compared to MCT-oil. AUCT and AUCi did not differ between Solutech and MCT, except for CBD, where MCT was greater for AUCi. These findings, together with its safety and tolerability profile, support Solutech as an oral formulation for enhanced delivery of Δ9-THC and CBD. These results suggest that Solutech may be a viable delivery system for providing benefit in both therapeutic and recreational formulations.

Smoking is a preferred route of cannabis administration, potentially due to higher peak concentration and its rapid onset of effects that contribute to ability to titrate and control dose. Efficacious delivery of Δ9-THC through oral administration of cannabis offers an alternative route to smoking and eliminates exposure to the harmful health effects.21,22 Oral consumption of cannabis undergoes first-pass metabolism contributing to delayed onset and lower peak concentration compared to inhalation.21,22
Time to maximum plasma concentration of Δ9-THC with smoking occurs rapidly within 3–10 min after inhalation22 compared to over 3 h for oral formulations.13,22,23 The time to first detectable absorption and maximum concentration of Solutech was significantly faster than MCT-oil. Faster time to peak concentrations may contribute to an improved ability to control and titrate dosing of oral formulations. The average peak concentration of Δ9-THC was significantly greater with Solutech than MCT-oil, and higher than reported concentrations following the consumption of the same dose of Δ9-THC in baked goods.23
Accelerated pharmacokinetic outcomes with Solutech may be due to reduced droplet size and increased surface area of the nanoemulsion formulation, thus increasing absorption and metabolism.9,24 It is possible to suggest that the higher Cmax and faster elimination observed with Solutech may evoke greater psychoactive effects, although for a shorter duration. It is possible to suggest that this feature would be of value in applications that are more personalized and require dosages that maybe specifically designed. The enhanced delivery of Δ9-THC may have implications for improved dose titration for both therapeutic and recreational applications.
Route of administration, drug formulation, and individual factors such as cannabis use history, sex, body composition, and other physiological factors impact cannabinoid pharmacokinetics.21,23,25–30 This study design controlled for many confounders to mitigate impact on study outcomes. Despite such measures and selective participant inclusion, interparticipant variability in pharmacokinetic parameters was observed with both Solutech and MCT. The subgroup analysis showed significant differences in pharmacokinetic parameters when stratifying by sex, BMI, years of cannabis use, and age at first cannabis use across all four metabolites.
Male participants had lower Δ9-THC, CBD, 11-OH-THC, and THC-COOH AUCT and lower maximum Δ9-THC, CBD, and 11-OH-THC concentrations compared to females and aligned with previous reports.26,31,32 Variability in THC metabolism is related to the CYP 2C enzyme family and CBD partially inhibits cytochrome P450,32 suggesting these results may be partly responsible for the observed sex differences. Indeed, cytochrome P450 isozymes and CYP 2C enzymes demonstrate sex-related differences in metabolism.33,34 Despite a relatively narrow BMI range, there were significant effects of BMI on AUCT, tmax, and t1/2.
Overweight participants had significantly lower Δ9-THC and CBD AUCT compared to those with normal BMI and had an earlier tmax for CBD and 11-OH-THC, and t1/2 for THC, CBD, and 11-OH-THC. This is in contrast to formulations that demonstrated positive correlations between BMI and tmax for CBD28 and AUCT for THC,35 and may reflect differences in dosage (10 mg CBD combined with Δ9-THC vs. 30 mg dose of CBD only vs. 10 mg of Δ9-THC only) or delivery (oil vs. powder dissolved in water vs. gummies).28,35 Nevertheless, these findings emphasize the importance of sex, BMI, and delivery method for the determination of an individual’s optimal therapeutic dose.
The influence of cannabis use history on pharmacokinetics is not yet well understood, but frequent cannabis users (≥5×/week) differ in pharmacokinetic parameters compared to occasional (≤3×/week) users.22,27,29 Therefore, current frequency of use was controlled for in this study. Little is known, however, about the impact of time of first use and total years of use on cannabinoid pharmacokinetics. To our knowledge, this is the first study to report on the relationship between pharmacokinetic parameters of Δ9-THC, CBD, 11-OH-THC, and THC-COOH and age of first use and years of cannabis use.
A weak mild negative relationship was found between age of first use and length of recreational use, indicating the higher the age of first use, the lower the length of recreational use. On average, participants with later age of first use had higher Δ9-THC, CBD, and THC-COOH Cmax and later tmax and t1/2 for Δ9-THC, CBD, THC-COOH, and 11-OH-THC than those reporting earlier age of first use. Those with more years of recreational cannabis use had higher AUCT for Δ9-THC and CBD and Cmax for CBD than those with less. The half-life of 11-OH-THC was also longer for those with more reported years of use.
To fully control for cannabis use history, even for healthy participants without a cannabis use disorder, past cannabis use should be considered, in addition to current frequency of use. The data suggest that there is a change in cannabinoid metabolism depending on an individual’s age of first use. Previous literature has demonstrated that cannabis use negatively impacts the developing brain, increasing the risk of neurological conditions and thus brain development.36,37 Furthermore, more recent research points to age of first use impacting brainwaves.38 This, combined with increasing evidence of a gut-brain connection,39 provides a potential rationale for the effect of age of first use on cannabinoid pharmacokinetics. Mechanistic studies investigating the relationship between age of first use, length of time using, and frequency of cannabis use on pharmacokinetic parameters are warranted to explore the impact of potential confounders.
Similar to Δ9-THC, CBD undergoes substantial first-pass metabolism, reducing bioavailability following oral administration.40 The average maximum CBD concentration observed with an acute dose of Solutech was significantly higher than with MCT-oil. The important relevance of formulation on Cmax was demonstrated comparing five oral CBD formulations standardized to 30 mg doses and reported average maximum concentrations ranging from 1.29 to 5.57 ng/mL and times to maximum concentrations from 0.7 to 3.4 h.28 The tmax for Solutech was 0.96±0.72 h, emphasizing enhanced bioavailability.
As CBD is nonintoxicating, its efficacious delivery has wide therapeutic potential with reported anti-inflammatory, analgesic, sedating, antiemetic, antispasmodic, mood stabilization, and neuroprotective effects.21,41 Furthermore, some evidence indicates42 that co-administration of CBD with Δ9-THC may inhibit some of the possible neuropsychiatric, psychotropic, cardiovascular, and behavioral side effects of Δ9-THC.21,22,43 The observation that CBD AUCT and Cmax were lower in male than female participants should be considered in both nutraceutical and therapeutic applications since males may need a higher dosing than females to reach equivalent AUCT and Cmax.
There were limitations to this study that need to be considered. Participant sleep-wake regimens were not accounted for and may have had impact as circadian rhythms of endogenous cannabinoid signaling are associated with sleep-wake rhythms.44–46 Similarly, there was a wide variation in participants’ cannabis use history of 1–25 years, and may have influenced pharmacokinetic parameters.22,27,29 This study evaluated a single dose; therefore, considerations for other dosing may be beneficial. This study investigated pharmacokinetic measures for 48 h, an extended time period that is rarely examined by other pharmacokinetic investigations. Study participants left the clinic after 12 h and returned to the clinical site for collection of the 24- and 48-h samples, and were encouraged not to consume any cannabis or cannabinoids during the study period.
Despite this limitation, the results of the AUC curves suggest that participants adhered to the study guidelines and were compliant by abstaining from cannabis use during the study. The 48-h monitoring period may not have been sufficient to obtain a complete elimination and provide a comprehensive measure of terminal half-life for measured cannabinoids/metabolites. As noted in previous literature, shorter blood sampling periods of 24–72 h may underestimate the terminal half-life of cannabinoids due to slow release from fatty tissues and substantial enterohepatic circulation.21 A blood sampling period >72 h may be warranted in future cannabinoid pharmacokinetic studies.
Conclusion
This study demonstrated that oral administration of Solutech Δ9-THC and CBD cannabis oil provided a significantly greater maximum concentration, larger elimination and absorption rate constants, faster time to maximum concentration, and shorter lag-time and half-life for CBD, Δ9-THC, 11-OH-THC, and THC-COOH compared to MCT-oil. Sex, BMI, age of first use, and number of years of cannabis use had significant impact on pharmacokinetic parameters. Future studies will investigate the potential therapeutic efficacy of Solutech.
Supplementary Materials
References
- Determination and characterization of a cannabinoid receptor in rat brain.. Mol Pharmacol., 1988. [PubMed]
- Endocannabinoid binding to the cannabinoid receptors: what is known and what remains unknown.. Curr Med Chem., 2010. [PubMed]
- The diverse CB1 and CB2 receptor pharmacology of three plant cannabinoids: Δ9-tetrahydrocannabinol, cannabidiol and Δ9-tetrahydrocannabivarin.. Br J Pharmacol., 2008. [PubMed]
- Cannabidiol as a potential treatment for anxiety disorders.. Neurotherapeutics., 2015. [PubMed]
- Effects of cannabidiol (CBD) on regional cerebral blood flow.. Neuropsychopharmacology., 2004. [PubMed]
- Cannabidiol in humans—the quest for therapeutic targets.. Pharmaceuticals., 2012. [PubMed]
- WHO expert committee on drug dependence: fortieth report.. 2018
- Enhancing efficacy, performance, and reliability of cannabis edibles: insights from lipid bioavailability studies.. Ann Rev Food Sci Technol., 2020. [PubMed]
- Utilization of nanoemulsions to enhance bioactivity of pharmaceuticals, supplements, and nutraceuticals: nanoemulsion delivery systems and nanoemulsion excipient systems.. Expert Opin Drug Deliv., 2016. [PubMed]
- Towards better delivery of cannabidiol (CBD).. Pharmaceuticals., 2020. [PubMed]
- Piperine-pro-nanolipospheres as a novel oral delivery system of cannabinoids: pharmacokinetic evaluation in healthy volunteers in comparison to buccal spray administration.. J Control Release., 2017. [PubMed]
- Development of a novel nano-emulsion formulation to improve intestinal absorption of cannabidiol.. MCA., 2019
- Plasma cannabinoid pharmacokinetics following controlled oral delta9-tetrahydrocannabinol and oromucosal cannabis extract administration.. Clin Chem., 2011. [PubMed]
- PTL401, a new formulation based on pro-nano dispersion technology, improves oral cannabinoids bioavailability in healthy volunteers.. J Pharm Sci., 2018. [PubMed]
- Randomized, double-blind, placebo-controlled study about the effects of cannabidiol (CBD) on the pharmacokinetics of delta (9)-tetrahydrocannabinol (THC) after oral application of THC verses standardized cannabis extract.. Ther Drug Monit., 2005. [PubMed]
- Simultaneous and sensitive analysis of THC, 11-OH-THC, THC-COOH, CBD, and CBN by GC-MS in plasma after oral application of small doses of THC and cannabis extract.. J Anal Toxicol., 2005. [PubMed]
- Heat exposure of Cannabis sativa extracts affects the pharmacokinetic and metabolic profile in healthy male subjects.. Planta Med., 2012. [PubMed]
- DSM-IV: diagnostic and statistical manual of mental disorders.. JAMA., 1994
- Health Canada.. 2018
- R: a language and environment for statistical computing.. 2019
- Human cannabinoid pharmacokinetics.. Chem Biodiv., 2007
- The pharmacokinetics and the pharmacodynamics of cannabinoids.. Br J Clin Pharmacol., 2018. [PubMed]
- Pharmacokinetic profile of oral cannabis in humans: blood and oral fluid disposition and relation to pharmacodynamic outcomes.. J Anal Toxicol., 2017. [PubMed]
- Excipient nanoemulsions for improving oral bioavailability of bioactives.. Nanomaterials., 2016. [PubMed]
- Do Delta9-tetrahydrocannabinol concentrations indicate recent use in chronic cannabis users?. Addiction (Abingdon, England)., 2009. [PubMed]
- Human pharmacokinetic parameters of orally administered delta(9)-tetrahydrocannabinol capsules are altered by fed versus fasted conditions and sex differences.. Cannabis Cannabinoid Res., 2019. [PubMed]
- Free and glucuronide whole blood cannabinoids’ pharmacokinetics after controlled smoked, vaporized, and oral cannabis administration in frequent and occasional cannabis users: identification of recent cannabis intake.. Clin Chem., 2016. [PubMed]
- Comparison of five oral cannabidiol preparations in adult humans: pharmacokinetics, body composition, and heart rate variability.. Pharmaceuticals (Basel, Switzerland)., 2021. [PubMed]
- Pharmacokinetic properties of Δ9-tetrahydrocannabinol in oral fluid of occasional and chronic users.. J Anal Toxicol., 2010. [PubMed]
- Sex differences in the subjective effects of oral Delta(9)-THC in cannabis users.. Pharmacol Biochem Behav., 2017. [PubMed]
- A novel self-emulsifying drug delivery system (SEDDS) based on VESIsorb® formulation technology improving the oral bioavailability of cannabidiol in healthy subjects.. 2019
- Randomized, double-blind, placebo-controlled study about the effects of cannabidiol (CBD) on the pharmacokinetics of delta9-tetrahydrocannabinol (THC) after oral application of THC verses standardized cannabis extract.. Ther Drug Monit., 2005. [PubMed]
- Sex differences in the expression of hepatic drug metabolizing enzymes.. Mol Pharmacol., 2009. [PubMed]
- Gender-related differences in pharmacokinetics and their clinical significance.. J Clin Pharm Ther., 1999. [PubMed]
- Pharmacokinetic investigation of commercially available edible marijuana products in humans: potential influence of body composition and influence on glucose control.. Pharmaceuticals (Basel, Switzerland), 2021. [PubMed]
- Exploring the impact of adolescent exposure to cannabinoids and nicotine on psychiatric risk: insights from translational animal models.. Psychol Med., 2021. [PubMed]
- Early cannabis use, polygenic risk score for schizophrenia and brain maturation in adolescence.. JAMA Psychiatry., 2015. [PubMed]
- Use of a novel EEG-based objective test, the Cognalyzer®, in quantifying the strength and determining the action time of cannabis psychoactive effects and factors that may influence them within an observational study framework.. Neurol Ther., 2022. [PubMed]
- Hormones of the gut–brain axis as targets for the treatment of upper gastrointestinal disorders.. Nat Rev Drug Discov., 2008. [PubMed]
- A systematic review on the pharmacokinetics of cannabidiol in humans.. Front Pharmacol., 2018. [PubMed]
- Translational investigation of the therapeutic potential of cannabidiol (CBD): toward a new age.. Front Immunol., 2018. [PubMed]
- Individual and combined effects of acute delta-9-tetrahydrocannabinol and cannabidiol on psychotomimetic symptoms and memory function.. Transl Psychiatry., 2018. [PubMed]
- Cannabidiol counteracts the psychotropic side-effects of delta-9-tetrahydrocannabinol in the ventral hippocampus through bidirectional control of ERK1-2 phosphorylation.. J Neurosci., 2019. [PubMed]
- Changing the tone of clinical study design in the cannabis industry.. Transl Neurosci., 2020. [PubMed]
- The emerging role of the endocannabinoid system in the sleep-wake cycle modulation.. Cent Nerv Syst Agents Med Chem., 2011. [PubMed]
- Circadian rhythm of circulating levels of the endocannabinoid 2-arachidonoylglycerol.. J Clin Endocrinol Metab., 2015. [PubMed]
