Construction of a risk map to understand the vulnerability of various types of cancer patients to COVID‐19 infection
Abstract
COVID‐19 is leading to a global pandemic and invades human cells via ACE2. ACE2 was found to be abundantly expressed in many organs and cells. However, there is no evidence about the potential risk of various types of cancer patients vulnerable to the infection of COVID‐19. To obtain a risk map that indicates the novel coronavirus vulnerability of different types of cancer, we analyzed in this work the RNA sequencing datasets of cancer patients. By interrogating the datasets, we not only identified the cancer types vulnerable to COVID‐19 attacks, but also we reported that variations in the mRNA expression level of ACE2 correlate to various prognosis phenomenon in different types of cancer cohorts, and illustrated the underlying mechanism involved or may be related to lymphocytes infiltration. From these discoveries, we constructed an infection risk map, which indicates the vulnerability of different types of cancer to COVID‐19 infection, also elucidated the correlationship between ACE2 and the prognosis of cancer. We found that high ACE2 expression levels lead to high risk of COVID‐19 infection and poor prognosis of breast invasive carcinoma (BRCA), while better prognosis in ovarian serous cystadenocarcinoma (OV) patient cohorts. Moreover, our study demonstrated that this different pattern may correlate with the immune infiltration level.
Article type: Research Article
Keywords: cancer, COVID‐19, prognosis, tumor‐infiltrating lymphocytes
Affiliations: State Key Laboratory of Oncogenes and Related Genes Center for Single‐Cell Omics School of Public Health Shanghai Jiao Tong University School of Medicine Shanghai China; Department of Pathophysiology Mudanjiang Medical University Mudanjiang Heilongjiang China
License: © 2021 The Authors. MedComm published by Sichuan International Medical Exchange & Promotion Association (SCIMEA) and John Wiley & Sons Australia, Ltd. CC BY 4.0 This is an open access article under the terms of the http://creativecommons.org/licenses/by/4.0/ License, which permits use, distribution and reproduction in any medium, provided the original work is properly cited.
Article links: DOI: 10.1002/mco2.53 | PubMed: 33821252 | PMC: PMC8014155
Relevance: Moderate: mentioned 3+ times in text
Full text: PDF (6.2 MB)
INTRODUCTION
A novel human coronavirus‐induced pneumonia (World Health Organization [WHO] named COVID‐19 now) is rapidly spreading and caused a pandemic outbreak globally since December 2019.ref. mco253-bib-0001 Besides the evidence of respiratory symptoms such as acute respiratory failure, fever, and cough, other clinical symptoms of SARS infection for example cardiovascular, urinary, digestive systems failure have been reported.ref. mco253-bib-0002, ref. mco253-bib-0003, ref. mco253-bib-0004 The spike protein (S protein) of coronavirus helps the virus to enter target cells. This entry process relays on the binding of the surface unit (S1) of the S protein to the cell receptors, which could help the virus attach to the surface of target cells. Moreover, this procedure needs to trigger the S protein by cellular proteases, which requires the cleavage of the S protein at S1/S2 and S2′ sites and allows the viral membrane and cell membrane to fuse, which is a procedure driven via S2 subunits.ref. mco253-bib-0005 COVID‐19 was found with high similarity in sequence (∼80%) with SARS‐CoV, so this novel coronavirus is also named SARS‐CoV‐2, moreover it shares the identical receptor angiotensin‐converting enzyme (ACE) 2 with the SARS‐CoV.ref. mco253-bib-0005 The interface of SARS‐S/ACE2 has been clarified, and the efficiency of ACE2 usage has been considered to be the crucial determinant of SARS‐CoV transmissibility.ref. mco253-bib-0006 SARS‐S and SARS‐2‐S were found share ∼76% identity of amino acids and SARS‐2‐S also employs ACE2 for host cell entry, which is like SARS‐S.ref. mco253-bib-0007 So ACE2 is considered to be the receptor in host cells for binding to this novel virus. Therefore, the target cells with the expression of ACE2 are susceptible to COVID‐19 infection, for example AT2 cells in lung.ref. mco253-bib-0008 So in the same way, any organ that expresses ACE2 may be susceptible to COVID‐19 infection, and many research groups have reported this situation.ref. mco253-bib-0009, ref. mco253-bib-0010, ref. mco253-bib-0011 All these findings indicate the potential risk of various cell types and organs with high‐expression ACE2 will be vulnerable to COVID‐19 attacks.
The protein encoded by ACE2 belongs to the ACE family of dipeptidyl carboxydipeptidases. This functional enzyme not only catalyzes the cleavage of angiotensin I into angiotensin 1‐angiotensin 9, but also could cleave angiotensin II into vasodilator angiotensin 1‐7.ref. mco253-bib-0012 ACE2 is the key enzyme in the renin‐angiotensin system (RAS), both of which are involved in pathological vessel growth and beneficial angiogenesis and it is also related to tumorigenesis.ref. mco253-bib-0012, ref. mco253-bib-0013 Moreover, many researchers have demonstrated that the tumor‐infiltrating lymphocytes (TILs) play an important part in intervening the chemotherapy response and enhancing clinical prognosis especially survival rates of different cancer types,ref. mco253-bib-0014, ref. mco253-bib-0015 such as tumor‐associated macrophages (TAMs)ref. mco253-bib-0016, ref. mco253-bib-0017, ref. mco253-bib-0018 and tumor‐infiltrating neutrophils (TINs), and they also impact the outcomes of cancers.ref. mco253-bib-0019, ref. mco253-bib-0020, ref. mco253-bib-0021, ref. mco253-bib-0022 Therefore, it is also essential to clarify the immunophenotyping of tumor immunocyte interactions and description of novel immunotherapy targets/strategy in cancer therapy.
Here, we determined the mRNA expression level of ACE2 in different cancer patient cohorts. Also, we found that different degrees of ACE2 level correlate to the prognosis in different types of cancer and the underlying mechanisms involved might be related to lymphocytes infiltration. Our study may provide an explicit evidence of the influence of COVID‐19 on high and low vulnerable cancer patients and the association between the expression level of ACE2 and the prognosis of various cancer types, attracting more attention to survival rate evaluation of the cancer patients recovered from COVID‐19 infection.
RESULTS
The expression levels of ACE2 in different human cancers
To study the varied expression levels of ACE2 in tumor and normal tissue of multiple cancer types, the ACE2 mRNA expression levels were analyzed using the three main online databases (Oncomine, GEPIA2, EBI database). This investigation demonstrated that the mRNA expression level of ACE2 was higher in breast, liver, and lung cancers, respectively, compared to the paired normal tissues (cancer vs. normal) (Figure 1A). Moreover, the ACE2 was highly expressed in brain and CNS, breast, colorectal, esophageal, kidney, liver cancer, leukemia, and sarcoma in tumor tissues (cancer versus cancer) (Figure 1A). The details of the expression levels of ACE2 in different types of cancers are categorized and summarized in Table S1.

In order to evaluate ACE2 expression level in cancers, we determined the levels of ACE2 expression employing the RNA‐seq datasets of multiple cancer types in the Cancer Genome Atlas (TCGA). The varied expression levels between tumor and adjacent normal tissues for ACE2 across each type of TCGA tumor are demonstrated in Figure 1B. The expression level of ACE2 was significantly higher in the tumor tissue of esophageal carcinoma (ESCA), kidney renal papillary cell carcinoma (KIRP), lung adenocarcinoma, rectum adenocarcinoma (READ), and uterine corpus endometrial carcinoma (UCEC), whereas lower in breast invasive carcinoma (BRCA), kidney chromophobe (KICH), liver hepatocellular carcinoma (LIHC), pancreatic adenocarcinoma (PAAD), prostate adenocarcinoma (PRAD), thyroid carcinoma (THCA), and stomach adenocarcinoma (STAD) compared with the adjacent normal tissue (Figure 1B). The dot plots generated by GEPIA are given profiling gene/isoform expression across multiple cancer types, with each dot demonstrating a specific tumor or normal sample. The differential mRNA expression level for ACE2 between the tumor and matched TCGA normal and GTEx data across all TCGA tumors by GEPIA is exhibited in Figure 1C. The level of ACE2 was aggregately expressed in colon adenocarcinoma (COAD), READ, PAAD, KIRP, and STAD, whereas it was lower in KICH, THCA, and testicular germ cell tumors compared to the adjacent normal GTEx tissue parts (Figure 1C).
We also studied the ACE2 expression in different stages of different types of cancers. We found that ACE2 expression was higher in the earlier stage(s) of lymphoid neoplasm diffuse large B‐cell lymphoma, kidney renal clear cell carcinoma (KIRC), and READ, whereas higher in the later stage of STAD (Figure 2).

Prognostic potential of ACE2 across various types of cancer
We determined whether the mRNA expression level of ACE2 was associated with the prognosis across specific cancer patient cohorts. The effects of ACE2 expression on the various survival rates were assessed by using the PrognoScan database. The detailed relationship between the expression level of ACE2 and prognosis potential of various cancers are listed in Table S2. We found that ACE2 expression level significantly impacts overall survival (OS) in breast cancer and ovarian cancer (Table S2 and Figure 3). A bunch of cohorts (GSE12276, GSE6532‐GPL570, GSE1378, GSE1379, and GSE7390) of breast cancer demonstrated that higher ACE2 level was correlated to poor prognosis (relapse‐free survival [RFS] HR = 1.12, 95% CI = 1.02‐1.22, Cox P = .0156786; RFS/DMFS HR = 3.36, 95% CI = 1.21‐9.30, Cox P = .0198172; RFS HR = 1.38, 95% CI = 1.06‐1.79, Cox P = .0155929; RFS HR = 1.36, 95% CI = 1.08‐1.73, Cox P = .0100558; DMFS HR = 1.19, 95% CI = 1.04‐1.36, Cox P = .0137138; OS HR = 1.23, 95% CI = 1.08‐1.41, Cox P = .00252401) (Table S2 and Figure 3C‐L). So it is conceivable that high expression level of ACE2 is an independent risk factor leading to a poorer prognosis in breast cancer patients, and hazard ratio demonstrated here indicates ACE2 expression is not a protective factor in breast cancer. On the contrary, different ovarian cancer cohorts (GSE9891, 229962, 222257) in three databases showed that high expression level of ACE2 was associated with better prognosis (OS HR = 0.63, 95% CI = 0.40‐1.00, Cox P = .0485116; OS HR = 0.75, 95% CI = 0.64‐0.88, Cox P = .00027; OS HR = 0.83, 95% CI = 0.73‐0.95, Cox P = .0051; OS HR (high) = 0.65, Cox P = .016) (Table S2 and Figure 3O,S,U,Y). Also, it is conceivable that high expression level of ACE2 is an independent risk factor leading to a better prognosis in ovarian cancer patients, and hazard ratio which was demonstrated here indicates ACE2 expression is a protective factor in ovarian cancer. Also, high ACE2 expression significantly impacts RFS and DMFS in breast cancer cohorts (Figure 3), and leads to better prognosis in some other types of cancer (Figure 3).

To further analyze the prognostic characteristics of ACE2 gene in different types of cancer, we employed Kaplan‐Meier plotter database to access the ACE2 prognostic value. Similarly, a better prognosis pattern in ovarian cancer was shown to correlate with higher ACE2 expression (Figure 3O,S,U).
In addition to using Kaplan‐Meier and PrognoScan plotter databases, TCGA database was also employed to determine the prognostic characteristics of ACE2 in different types of cancers via GEPIA2. We assessed the relationships between the level of ACE2 and prognostic potential in 33 types of cancer. ACE2 expression significantly affects prognosis in four types of cancers, including KIRC, brain lower grade glioma (LGG), LIHC, and ovarian serous cystadenocarcinoma (OV) (Figure S1). High ACE2 expression levels were associated with better prognosis potential of OS in KIRC, LIHC, and OV, but negative influence in LGG.
These results demonstrated that the prognostic potential of ACE2 in some types of cancers and the differential ACE2 expression could lead to different prognostic values depending on the type of cancers.
The expression level of ACE2 impacts the ovarian cancer prognosis in different stages and treatments
In this part, we studied the association with the expression level of ACE2 and different clinical characteristics in order to better understand the relevance and mechanisms of the expression level of ACE2 in cancers, especially in different clinical stages of breast cancer and ovarian cancer patients.
High expression level of ACE2 was in relation to better OS of serous subtype rather than endometrioid subtype and better PFS in the endometrioid subtype of the ovarian cancer patients, respectively. High ACE2 expression level was also associated to better OS in the early stage of the progress of ovarian cancer (Table S3). Point of interest was that higher level of ACE2 was in correlation to better OS in the higher grade (2 + 3 and 3) than in lower grade (1, 1 + 2, and 2) but was not associated with PFS. High ACE2 expression level was correlated with poorer OS in ovarian cancer patient cohorts without TP53 mutation (Table S3).
The results above imply that the level of ACE2 could affect the prognosis potential in ovarian cancer patients of the early cancer staging but not in relation to OS and PFS of late stages. Also, we discovered that ACE2 expression level was not associated with OS in any subtype or status in OV (ER, PR, HER2 status, lymph node status, intrinsic subtype, TP53 status, and the pietenpol subtype) and neither in any grade in breast cancer (Tables S3 and S4). This interesting phenomenon combined with the different survival rate patterns in Figure 3 indicate that the correlation of ACE2 expression and the prognosis of different cancers depend on the different mechanisms in tumorigenesis and development.
Nowadays, the main treatments of ovarian cancer are debulking and chemotherapy; in this project, we found that higher level of ACE2 was associated with better OS in both debulking groups (Table S5). Different OS patterns were demonstrated in chemotherapy treatments. Higher ACE2 level was associated with better prognosis potential in the groups who underwent platin, taxol, taxol + platin, and paclitaxel chemotherapy treatments (Table S5). But this phenomenon does not appear in breast cancer (Table S6).
ACE2 is associated with immune infiltration level in BRCA and OV
TILs are considered independent predictors of survival rates, especially OS, in various types of cancers.ref. mco253-bib-0023, ref. mco253-bib-0024, ref. mco253-bib-0025 So in this work, we studied whether the expression level of ACE2 was associated with immune infiltration levels in different cancer types. We determined the correlations of ACE2 levels with immune infiltration levels in 38 cancer types. The data demonstrated that ACE2 level was significantly negatively associated with tumor purity in seven types (bladder urothelial carcinoma [BLCA], BRCA, BRCA‐basal, BRCA‐luminal, cervical squamous cell carcinoma and endocervical adenocarcinoma [CESC], head and neck squamous cell carcinoma [HNSC], pheochromocytoma and paraganglioma [PCPG]) of cancer, indicating ACE2 is somehow related to recruiting lymphocytes to the niche of the tumor and significantly associated with B‐cell infiltration levels in seven different cancer types (BRCA, KICH, KIRC, PAAD, PCPG, PRAD, UCEC), whereas negatively associated with B‐cell infiltration in OV (Figure S2).
Moreover, the mRNA expression level of ACE2 has a correlation with infiltrating levels of CD8+ T cells in 10 different types of cancers (BLCA, BRCA, BRCA‐luminal, KICH, KIRC, LGG, PAAD, PRAD, THCA, UCEC), whereas it demonstrates negative correlation with CD8+ T‐cell infiltration in COAD, glioblastoma multiforme (GBM), OV. The level of ACE2 is significantly correlated with varying infiltration levels of CD4+ T cells in nine kinds of cancer (BRCA, BRCA‐luminal, CESC, COAD, HNSC, HNSC‐HPVPOS, PAAD, PRAD, STAD), macrophages in five cancer types (KIRC, KIRP, KICH, SAFC, PRAD), neutrophils in 17 cancer types (BLCA, BRCA, BRCA‐basal, BRCA‐luminal, CESC, HNSC, HNSC‐HPVneg, KIRC, mesothelioma, PAAD, OV, PARD, skin cutaneous melanoma‐primary, READ, uterine carcinosarcoma [UCS], UCEC, uveal melanoma), and dendritic cells (DCs) in 11 types of cancer (BRCA, BLCA, CESC, KICH, KIRC, OV, PAAD, PARD, sarcoma [SARC], UCEC, UCS), whereas it has negative correlation with CD4+ T‐cell infiltration in lung squamous cell carcinoma, with macrophages in six kinds of cancer (CESE, ESCA, GBM, HNSC, HNSC‐HPVneg, SAFC), with neutrophils in COAD and GBM, and dendritic cells in LUCS and SARC (Figure S2).
Because there is correlation of ACE2 expression level with immune infiltration level in various kinds of cancer, next we assessed the distinct types of cancers in which ACE2 was correlated with prognosis and immune infiltration.
Tumor purity is a key element that dominates the assessment of immune infiltration levels in clinical malignancy samples by using genomic approaches. So in this study, we chose the cancer types in which ACE2 levels have demonstrated a significant negative association with tumor purity by using TIMER database and it showed a significant correlation with prognosis.
What interested us is that there are two different patterns of ACE2 expression associated with OS prognosis and immune infiltration levels in BRCA and OV (Figure 4). The ACE2 expression levels of BRCA, BRCA‐basel, and BRCA‐luminal are all significantly negatively related with tumor purity rather than in OV (Figure 4). The expression level of ACE2 has significant positive associations with infiltration levels of B cells, T cells (CD8+, CD4+), DCs, and neutrophils in BRCA, and only significant positive correlations with infiltration levels of neutrophils in BRCA‐basel, and significant positive correlations with infiltrating levels of T cells (CD8+, CD4+) and neutrophils in BRCA‐luminal, whereas no correlation with any immune infiltration in BRCA‐Her2 (Figure 4). Similarly, there were positive correlations with infiltration levels of B cells, neutrophils, CD8+ T cells, and DCs in OV (Figure 4). More interestingly, the correlation with immune cells demonstrated a different pattern in BRCA and OV. All these above mentioned features strongly imply that ACE2 plays a crucial role in immune infiltration, maybe CD4+ T cells, in multiple types of cancers, and could lead to a better prognosis in OV patients instead of in BRAC patients.

Correlation between ACE2 expression level and immune marker sets
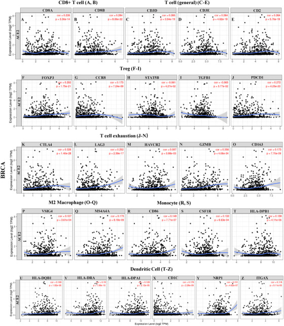
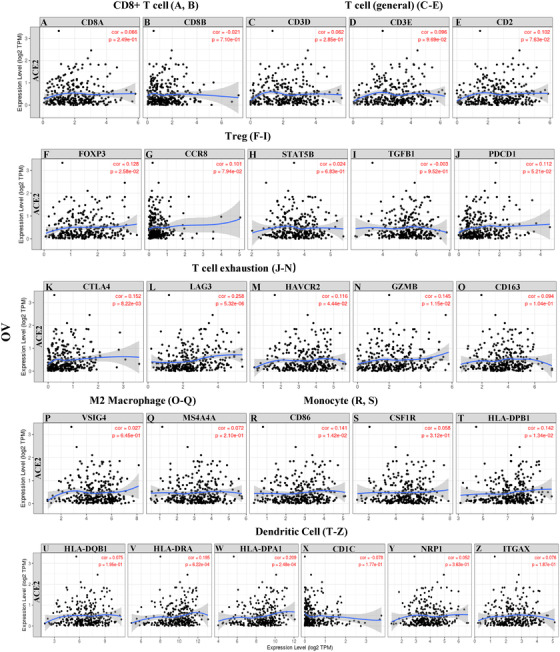
To study the correlation between ACE2 level and the diverse types of tumor immune‐infiltrating cells (TIICs), we investigated the correlations between ACE2 and immune marker sets of various immune‐infiltrating cells in BRCA and OV cohorts. We assessed the relationship between the expression level of ACE2 and the immune marker gene sets of different tumor TIICs, including T (functional and general) cells, B cells, monocytes, tumor‐associated macrophage (TAMs; M1 and M2), NK cells, neutrophils, and DCs (Table S7 and Figure 5). We also investigated the various types of functional T cells, including Th1, Th2, Th17, Tfh, and Tregs, as well as exhausted T cells.ref. mco253-bib-0024, ref. mco253-bib-0025 After alignment by tumor purity parameter, the consequence demonstrated that the ACE2 level was significantly associated with most immune marker sets of different immune cells and various subtypes of T cells, especially effect T cells in BRCA cohorts. However, none of these marker set was significantly correlated with ACE2 level in OV with a better prognosis (Table S7 and Figure 6).


We also discovered that the mRNA expression levels of the marker gene sets in T cells (general, CD8+ T, naive T, effector T), B cells, and natural killer cells demonstrate strong correlations with ACE2 expression level in BRCA rather than in OV (Table S7). Further investigation needs to be done on whether ACE2 is the key element that mediates the recruiting immune cells and remodel tumor microenvironment. In addition, ACE2 also demonstrates correlation with the marker sets of T‐helper cells (including Th1, Th2, Tfh, and Treg cells) in BRCA, but not in OV (Table S7).
ACE2 mediates different correlation patterns between subtypes in BRCA cohorts
What interests us most is the different correlation patterns among the different subtypes of BRCA patients. There is a significant correlation between ACE2 level and above‐mentioned immune marker gene sets of various immunocytes, including T cells (general, CD8+ T, Treg, exhausted T), M2 macrophages, monocytes and DCs in BRCA‐Her2 cohorts, but none of these above‐demonstrated correlations were there between ACE2 expression level and the immunocytes’ marker sets in BRCA‐luminal cohorts (Figures S3 and S4). There is an intermediate state in BRCA‐basel, that is, significant correlations between ACE2 level and some of the immune cells mentioned above, including T cells (general, exhausted T), M2 macrophages, monocytes and some genes (HLA‐DQB1, HLA‐DPA1, HLA‐DRA) of DCs (Figure S5).
Furthermore, we investigated the correlation between the mRNA expression level of ACE2 and the above marker sets of various types of T cells (naïve T, effector T, effector memory T, resident memory T, central memory T, resting Treg, exhausted T, effector Treg, Th1‐like) in BRCA, BRCA‐basel, BRCA‐luminal, and BRCA‐her2. Correlation results between ACE2 and markers of various types of T cells are similar to the above mentioned (Figures S6‐S9).
DISCUSSION
This study offers an overview of COVID‐19 infection‐related vulnerable cancer patients. Based on the RNA‐seq and Affymetrix microarray datasets, we stratified cancer patients into high‐ and low‐risk groups according to the mRNA expression levels of ACE2. The clinical symptoms of COVID‐19 infection, such as diarrhea, dyspnoea, and kidney failure, have been proved to be related to the invasion of COVID‐19 in upper respiratory track, lung, and kidney, but there is a lack of systematic research on the effect on cancer patients.ref. mco253-bib-0026, ref. mco253-bib-0027, ref. mco253-bib-0028, ref. mco253-bib-0029, ref. mco253-bib-0030 Here, we designated high and low vulnerable cancer patients based on ACE2 expression levels. Many studies have shown that the COVID‐19 invasion is not just via ACE2, which implies that our work might not exhaust all COVID‐19 infection‐related vulnerable cancer patients. Moreover, as the gene expression may vary among individuals, in‐deepth research is still required to exclude the susceptibility of the cancer patients who were categorized as low risk.
Next, we also reported that variations in mRNA expression level of ACE2 correlate to prognosis in various kinds of cancers. We found that higher ACE2 level could lead to a better prognosis in ovarian cancer and poorer prognosis in breast cancer. Furthermore, our finding demonstrates that the immune infiltration levels and multiple immune marker sets are correlated to ACE2 expression levels in different subtypes of BRCA. We also analyzed the protein level of ACE2 in these human organs via Human Protein Atlas. The protein expressions of ACE2 were consistent with our results, supporting the predictive risk map of different organs based on RNA‐seq and microarray data. Our work also provides insights into elucidating the potential role of ACE2 in tumor immunology and the usage as a cancer biomarker and novel therapeutic target for ovarian cancer and breast cancer. These correlations are the indications of a promising potential mechanism that ACE2 modulates the function of T cells in breast cancer and ovarian cancer.
All these findings imply that ACE2 plays an essential role in recruitment and regulation of the effective T cells infiltrating in breast cancer leading to a poorer prognosis. There are also some other COVID‐19‐related receptors reported, including Cathepsin L (CTSL) and transmembrane protease serine 2 (TMPRSS2), that also contribute to the infection of COVID‐19.ref. mco253-bib-0007 According to study, SARS‐S engages/employs TMPRSS2 for S protein priming and the efficiency of ACE2 usage has been found to be the crucial determinant of SARS‐CoV infection. SARS‐S and SARS‐2‐S share ∼76% amino acid identity, and SARS‐2‐S, similarly to SARS‐S, uses ACE2 and TMPRSS2 for host cell entry. CTSL and Cathepsin B were also identified as mediators of SARS‐CoV‐2 infection, via a similar mechanism as TMPRSS2. Our future work is to analyze the relationship between these factors and the basis of vulnerability of COVID‐19 infection in cancer patients on single‐cell level.
All in all, in this study, we provided the predictive risk map of COVID‐19 infection in various types of cancer patient cohorts, and a possible mechanism that offers explanations that the expression level of ACE2 associates with immune infiltration, leading to better prognosis in specific types of cancer, especially in ovarian cancer, and poorer prognosis in breast cancer. So the interactions between ACE2 and the immunocytes in the tumor microenvironment could be potential expression for the predictive risk of COVID‐19‐related infection and a potential mechanism for the correlationship of ACE2 expression level with immune infiltration level and prognosis in cancer patients.
MATERIALS AND METHODS
Expression analysis
The ACE2 expression level was identified in the EBI, including in 158 organisms from 29 experiments, 702 cell lines, development stage, disease and individuals in Homo sapiens samples. The ACE2 expression level in various types of cancers was assessed in Oncomine database, TIMER, and GEPIA2 database.ref. mco253-bib-0031, ref. mco253-bib-0032, ref. mco253-bib-0033 The threshold was given as follows: P‐value = .0001, fold change = 1.5, and gene ranking top 10%.
Survival prognosis analysis
The correlationship between ACE2 level and prognosis in various types of cancers was determined via the database of PrognoScan and GEPIA2.ref. mco253-bib-0033, ref. mco253-bib-0034 The relationships between the expression level of biomarkers and the patients’ prognosis could be searched and analyzed across a large collection of publicly available cancer datasets. The threshold was the Cox P‐value < .05.
Kaplan‐Meier plotter gives the correlation between ACE2 level and survival, as well as various cancer staging in various cancers was assessed on Kaplan‐Meier plotter, which is capable to analyze the effect of more than 50 000 genes on survival base on over 10 000 cancer samples in more than 20 cancer types.ref. mco253-bib-0035 We also analyzed HR with 95% confidence intervals and log‐rank P‐value.
Tumor‐infiltrating analysis
TIMER is a well‐established comprehensive resource for studying immune infiltrates across different types of cancers, which uses a deconvolution statistical approach to surmise the abundance of TIICs from gene expression profiles.ref. mco253-bib-0032 TIMER includes over 10 000 samples from TCGA to estimate the abundance of immune infiltrates. Here, we determined the expression level of ACE2 across 37 types of cancer and the correlation of the mRNA expression level of ACE2 with the immune‐infiltrating level, including function T cells (CD4+ and CD8+ T), and B cells, macrophages (M1 and M2), neutrophils, and DCs. Gene expression levels adjusted by tumor purity are also demonstrated.ref. mco253-bib-0024, ref. mco253-bib-0025 In addition, the correlations between the expression level of ACE2 and marker sets of TIICs were also explored. The gene markers of TIICs contained the marker sets of various T cells (general T, Th1, Th2, Tfh, Th17, Tregs, exhausted T), B cells, TAMs, monocytes, macrophages (M1 and M2), neutrophils, NK cells, and DCs.ref. mco253-bib-0036, ref. mco253-bib-0037 This correlation module could generate an expression scatter plot between a pair of user‐defined genes in a specific cancer type, as well as Spearman’s correlation and statistical significance. This expression level of the genes was exhibited with log2 RSEM.
Gene correlation analysis
In the next step, we further confirmed the significantly correlated genes via GEPIA2 database, which is a comprehensive resource for gene expression analysis based on nearly 10 000 paired tumor and normal samples from the TCGA and the GTEx databases, to generate overall survival curves and disease‐free survival (DFS) based on the genes expression and the Mantel‐Cox test in various types of cancer. GEPIA2 is an interactive web server featuring 84 cancer subtypes and supports analysis of a specific cancer subtype and comparison between/among subtypes.ref. mco253-bib-0033 Gene expression correlation assessment was implemented for given sets of TCGA expression data.
Statistical analysis
The statistical analysis was as per our previous work. The results produced via Oncomine are exhibited with P‐values, fold changes, and ranks. The consequence of Kaplan‐Meier plots, PrognoScan, and GEPIA are exhibited with HR and P or Cox P‐values from a log‐rank test. The correlation coefficient of gene expression was evaluated by Spearman’s correlation and P‐values < .05 were considered statistically significant.
CONFLICT OF INTEREST
The authors declare that there is no conflict of interest.
ETHICS STATEMENT
This project was permitted by the Independent Ethics Committee of Shanghai Jiao Tong University. This research conforms to all the laws and ethical guidelines that apply in the country.
AUTHOR CONTRIBUTIONS
Jian He carried out the literature review, analyzed the datasets, and wrote the manuscript. Hui Wang and Xufang Yang reviewed and proof read the article.
Supplementary Materials
References
- Early transmission dynamics in Wuhan, China, of novel coronavirus‐infected pneumonia.. N Engl J Med., 2020. [PubMed]
- Specific ACE2 expression in cholangiocytes may cause liver damage after 2019‐nCoV infection.. bioRxiv., 2020. [DOI]
- The single cell RNA seq data analysis on the receptor ACE2 expression reveals the potential risk of different human organs vulnerable to Wuhan 2019 nCoV infection.. Front Med., 2020. [PubMed]
- The digestive system is a potential route of 2019‐nCov infection: a bioinformatics analysis based on single‐cell transcriptomes.. bioRxiv., 2020. [DOI]
- Return of the coronavirus: 2019‐nCoV.. Viruses., 2020
- Structure of SARS coronavirus spike receptor‐binding domain complexed with receptor.. Science., 2005. [PubMed]
- The novel coronavirus 2019 (2019‐nCoV) uses the SARS‐coronavirus receptor ACE2 and the cellular protease TMPRSS2 for entry into target cells.. bioRxiv., 2020. [DOI]
- A pneumonia outbreak associated with a new coronavirus of probable bat origin.. Nature., 2020. [PubMed]
- ACE2 expression in kidney and testis may cause kidney and testis damage after 2019‐nCoV infection.. medRxiv., 2020. [DOI]
- scRNA‐seq profiling of human testes reveals the presence of ACE2 receptor, a target for SARS‐CoV‐2 infection, in spermatogonia, leydig and sertoli cells.. Cells., 2020
- Effect of SARS‐CoV‐2 infection upon male gonadal function: a single center‐based study.. medRxiv., 2020. [DOI]
- Counterregulatory actions of angiotensin‐(1‐7).. Hypertension., 1997. [PubMed]
- Hydrolysis of biological peptides by human angiotensin‐converting enzyme‐related carboxypeptidase.. J Biol Chem., 2020
- Tumor‐infiltrating lymphocytes and breast cancer: beyond the prognostic and predictive utility.. Tumour Biol., 2017. [PubMed]
- Clinical significance of tumor‐infiltrating lymphocytes in breast cancer.. J Immunother Cancer., 2016. [PubMed]
- HspA1B is a prognostic biomarker and correlated with immune infiltrates in different subtypes of breast cancers.. bioRxiv.. [DOI]
- Macrophage polarization: anti‐cancer strategies to target tumor‐associated macrophage in breast cancer.. J Cell Biochem., 2017. [PubMed]
- Triple negative breast cancer: key role of tumor‐associated macrophages in regulating the activity of anti‐PD‐1/PD‐L1 agents.. Biochim Biophys Acta Rev Cancer., 2018. [PubMed]
- IL17 promotes mammary tumor progression by changing the behavior of tumor cells and eliciting tumorigenic neutrophils recruitment.. Cancer Res., 2015. [PubMed]
- Myeloid cells in circulation and tumor microenvironment of breast cancer patients.. Cancer Immunol Immunother., 2017. [PubMed]
- Targeting autocrine CCL5‐CCR5 axis reprograms immunosuppressive myeloid cells and reinvigorates antitumor immunity.. Cancer Res., 2017. [PubMed]
- Tumor associated macrophages and regulatory T cells infiltration and the clinical outcome in colorectal cancer.. Arch Immunol Ther Exp (Warsz)., 2017. [PubMed]
- Comprehensive analyses of tumor immunity: implications for cancer immunotherapy.. Genome Biol., 2016. [PubMed]
- Systematic pan‐cancer analysis of tumour purity.. Nat Commun., 2015. [PubMed]
- The role of tumour‐associated macrophages in bone metastasis.. J Bone Oncol., 2016. [PubMed]
- ACE2 expression in pancreas may cause pancreatic damage after SARS‐CoV‐2 infection.. Clin Gastroenterol Hepatol., 2020. [PubMed]
- Smoking‐mediated upregulation of the androgen pathway leads to increased SARS‐CoV‐2 susceptibility.. Int J Mol Sci., 2020
- Genetic alteration, RNA expression, and DNA methylation profiling of coronavirus disease 2019 (COVID‐19) receptor ACE2 in malignancies: a pan‐cancer analysis.. J Hematol Oncol., 2020. [PubMed]
- Analysis of the susceptibility of lung cancer patients to SARS‐CoV‐2 infection.. Mol Cancer., 2020. [PubMed]
- A profiling analysis on the receptor ACE2 expression reveals the potential risk of different type of cancers vulnerable to SARS‐CoV‐2 infection.. Ann Transl Med., 2020. [PubMed]
- Oncomine 3.0: genes, pathways, and networks in a collection of 18,000 cancer gene expression profiles.. Neoplasia., 2007. [PubMed]
- TIMER: a web server for comprehensive analysis of tumor‐infiltrating immune cells.. Cancer Res., 2017. [PubMed]
- GEPIA2: an enhanced web server for large‐scale expression profiling and interactive analysis.. Nucleic Acids Res., 2019. [PubMed]
- PrognoScan: a new database for meta‐analysis of the prognostic value of genes.. BMC Med Genomics., 2009. [PubMed]
- miRpower: a web‐tool to validate survival‐associated miRNAs utilizing expression data from 2178 breast cancer patients.. Breast Cancer Res Treat., 2016. [PubMed]
- Gene expression markers of tumor infiltrating leukocytes.. J Immunother Cancer., 2017. [PubMed]
- Genome‐wide association analysis identifies genetic correlates of immune infiltrates in solid tumors.. PLoS One., 2017. [PubMed]
