The prognostic value and immunological role of CD44 in pan-cancer study
Abstract
To investigate the correlation between cluster of differentiation-44 (CD44) expression and immunotherapy response and identify its possible predictive value in pan-cancer. Datasets of 33 cancer types from The Cancer Genome Atlas (TCGA) database were applied to investigate the relationship of CD44 expression with prognosis, tumor mutational burden (TMB), and microsatellite instability (MSI), and determine its potential prognostic value in pan-cancer. Patients were split into high-risk and low-risk cancer groups based on the survival outcomes of various cancer types. Additionally, the underlying mechanisms of CD44 in the tumor microenvironment (TME) were analyzed using ESTIMATE and CIBERSORT algorithms and Gene Set Enrichment Analysis (GSEA). Subsequently, the biological role of CD44 at single-cell level was investigated using CancerSEA database. Variable expression levels of CD44 between tumor and adjacent normal tissues were identified in pan-cancer datasets, further survival analysis revealed that CD44 expression was associated with multiple clinical annotations and survival indicators. Besides, the expression of CD44 was significantly associated with TMB and MSI in 10 types and 6 types of cancer, respectively, indicating it could be exploited as a potential biomarker predicting immunotherapy outcomes. Meanwhile, CD44 could influence several crucial immune cell-related pathways. and the results revealed by CancerSEA database denoted the correlation of CD44 with malignant phenotype and functional states, further indicating it can serve as a potential therapeutic target in cancer management. Our study demonstrated that CD44 shows great promise as a prognostic biomarker in numerous cancers, which will assist in developing new strategies in cancer management.
Article type: Research Article
Keywords: Cancer genetics, Cancer microenvironment
Affiliations: grid.256607.00000 0004 1798 2653College of Stomatology, Guangxi Medical University, Nanning, Guangxi China; grid.256607.00000 0004 1798 2653Guangxi Medical University, Nanning, Guangxi China
License: © The Author(s) 2023 CC BY 4.0 Open Access This article is licensed under a Creative Commons Attribution 4.0 International License, which permits use, sharing, adaptation, distribution and reproduction in any medium or format, as long as you give appropriate credit to the original author(s) and the source, provide a link to the Creative Commons licence, and indicate if changes were made. The images or other third party material in this article are included in the article’s Creative Commons licence, unless indicated otherwise in a credit line to the material. If material is not included in the article’s Creative Commons licence and your intended use is not permitted by statutory regulation or exceeds the permitted use, you will need to obtain permission directly from the copyright holder. To view a copy of this licence, visit http://creativecommons.org/licenses/by/4.0/.
Article links: DOI: 10.1038/s41598-023-34154-3 | PubMed: 37117249 | PMC: PMC10147611
Relevance: Moderate: mentioned 3+ times in text
Full text: PDF (8.4 MB)
Introduction
Cancer morbidity and mortality are rapidly escalating, especially in developed countries1. According to a systematic analysis of 29 cancer types in 195 countries, about 9.6 million individuals died from cancer-related deaths in 20172. Currently, cancer therapies include surgery, chemotherapy, targeted therapy, and radiotherapy. Despite the clinical success of these treatments, the prognosis and tolerability of cancer patients remain unsatisfactory owing to the limited efficacy and side effects of anti-cancer agents3. Fortunately, multi-omics has facilitated the molecular characterization of myriads of human diseases4, and cancer immunotherapy has revolutionized cancer management following advancements in immunotherapy, presenting encouraging results in clinical trials5. However, non-responsiveness to immunotherapy was also observed in specific cancer types and patients, indicating the presence of intrinsic resistance or naturally acquired resistance6. Hence, it is of tremendous significance to ascertain novel biomarkers for cancer diagnosis and, most importantly, predict the efficacy of immunotherapy7,8.
Cluster of differentiation-44 (CD44) is a member of the non-kinase, single-span transmembrane glycoproteins family, which can contribute to cancer stem cells (CSCs) function and is generally recognized as a molecular marker for CSCs9. It has been well documented that CD44 expression in CSCs is associated with metastasis and capacity resisting to apoptosis of cancer cells10. Similarly, Zhang et al.11 reported that CD44 was related to cellular states and phenotypes of tumor cells in breast cancer, while Gomez et al.12 noted that CD44 expression influenced cancer cell plasticity through tumor-associated macrophages (TAM), inferring that CD44 is a surface marker defining Head and neck squamous cell carcinoma (HNSC). The association of CD44 expression with other cancers, including prostate cancer13, colon cancer14, bladder cancer15, and gastric cancer16, was also reported, with evidence manifesting that CD44 could promote tumorigenes is and has the potential to be a molecular target in cancer therapy17. Notwithstanding, most studies on CD44 were restricted to specific cancer types, obscuring its exact role in tumorigenesis. Thus, it is imperative to deeply explore the role of CD44 using pan-cancer analysis, thereby providing a novel avenue for developing novel treatments and individualized therapies.
The present study systematically assessed the predictive significance of CD44 expression in 33 cancer types using The Cancer Genome Atlas (TCGA) database. Then, the potential correlation of CD44 with tumor mutational burden (TMB) and microsatellite instability (MSI) was evaluated. Moreover, the underlying mechanisms of CD44 were also examined using the ESTIMATE and CIBERSORT algorithms and Gene Set Enrichment Analysis (GSEA). Our pan-cancer investigation aimed to illustrate the association of CD44 with immunotherapy response in oncogenesis among varying cancer types and its potential for predicting prognosis in pan-cancer patients.
Materials and methods
CD44 expression analysis in pan-cancer
CD44 expression information, including RNA sequences, somatic mutations, and related clinical annotations for 33 cancers (Table 1), were downloaded from the University of California Santa Cruz (UCSC) Xena database.
Table 1: The abbreviation of 33 cancer types from TCGA database.
| Cancer types | Abbreviation |
|---|---|
| Adrenocortical carcinoma | ACC |
| Bladder urothelial carcinoma | BLCA |
| Breast invasive carcinoma | BRCA |
| Cervical squamous cell carcinoma and endocervical adenocarcinoma | CESC |
| Cholangiocarcinoma | CHOL |
| Colon adenocarcinoma | COAD |
| Lymphoid neoplasm diffuse large B-cell lymphoma | DLBC |
| Esophageal carcinoma | ESCA |
| Glioblastoma multiforme | GBM |
| Head and neck squamous cell carcinoma | HNSC |
| Kidney chromophobe | KICH |
| Kidney renal clear cell carcinoma | KIRC |
| Kidney renal papillary cell carcinoma | KIRP |
| Acute myeloid leukemia | LAML |
| Brain lower grade glioma | LGG |
| Liver hepatocellular carcinoma | LIHC |
| Lung adenocarcinoma | LUAD |
| Lung squamous cell carcinoma | LUSC |
| Mesothelioma | MESO |
| Ovarian serous cystadenocarcinoma | OV |
| Pancreatic adenocarcinoma | PAAD |
| Pheochromocytoma and paraganglioma | PCPG |
| Prostate adenocarcinoma | PRAD |
| Rectum adenocarcinoma | READ |
| Sarcoma | SARC |
| Skin cutaneous melanoma | SKCM |
| Stomach adenocarcinoma | STAD |
| Testicular germ cell tumors | TGCT |
| Thyroid carcinoma | THCA |
| Thymoma | THYM |
| Uterine corpus endometrial carcinoma | UCEC |
| Uterine carcinosarcoma | UCS |
| Uveal melanoma | UVM |
Afterward, CD44 expression was analyzed through the Tumor IMmune Estimation Resource (TIMER) database. The gene expression levels were normalized using log2 conversion. Meanwhile, R-package “ggpubr” was employed to visualize the results obtained from the TCGA database.
Association analyses between CD44 and survival data
Survival information for each sample was retrieved from the TCGA database, and the correlation of CD44 expression with survival indicators, including overall survival (OS), progression-free interval (PFI), disease-free interval (DFI), and disease-specific survival (DSS), were examined by the Kaplan–Meier method. Patients of varying cancer types were divided into two groups (high-risk and low-risk groups) using the median CD44 expression level as the cut-off value. The above analyses were performed using the R packages “survminer” and “survival”. In addition, univariate Cox analysis was used to score the correlation between CD44 expression and the survival indicators using the R package “survival”, and visualized by the R package “forestplot”.
Biomarker analysis of CD44 as an indicator of response to targeted therapy
The receiver operating characteristic (ROC) plotter database18,19 was used to assess the feasibility of CD44 in targeted therapy responses to various cancer cohorts such as breast carcinoma (BRCA) treated with anti-HER2 antibody, colorectal carcinoma treated with bevacizumab, and ovarian cancer cohorts treated with targeted therapy. The ROC curves were used to present predictive ability of CD44 in predicting the efficacy of various antitumor agents in the above analysis.
Association between the expression of CD44 and clinical annotations, TMB and MSI
Clinical annotations (age, gender, and tumor stage) of pan-cancer patients were downloaded from the TCGA database, and Spearman correlation analysis between CD44 expression and clinical annotations was performed by the R packages “limma” and “ggpubr”. The correlation of CD44 expression with MSI or TMB was analyzed using Spearman analysis and visualized by radar plots through the R package “fmsb”. Next, Tumor Immune Dysfunction and Exclusion (TIDE) database was used to assess the potential of CD44 as a responsive biomarker for the cancer cohorts treated with immunotherapy (http://tide.dfci.harvard.edu/), which is a web application integrating the expression profiles of T cell dysfunction and exclusion, thereby modeling immune evasion of tumor cells, and has the potential to predict the response of immune checkpoint blockade (ICB)20.
Relationship between CD44 expression, immune components, and tumor-infiltrating immune cell profiles
To determine the proportion of immune and stromal components in the tumor microenvironment (TME), the ESTIMATE algorithm was applied to evaluate the associations between the immune and stromal scores with CD44 expression levels through R packages “estimate” and “limma”. Next, relative tumor-infiltrating immune cells (TICs) levels were calculated using the CIBERSORT algorithm, and samples of the tumor with P < 0.001 were retained for subsequent evaluations. Correlation analysis between CD44 expression and relative TICs levels was conducted using the R packages “ggplot2”, “ggpubr”, and “ggExtra”.
Single-cell analysis for CD44
Cancer single-cell state atlas (CancerSEA) (http://biocc.hrbmu.edu.cn/CancerSEA/) is the dedicated database to explore the distinct functional states of different cancer cells at single-cell resolutions21. We used the CancerSEA database to evaluate the functional role of CD44.
Immune-related genes and enrichment analysis in various cancer types
The R package “limma” was employed to perform co-expression analysis between CD44 and immune-related genes, and the results were visualized by “reshape2” and “RColorBrewer” R packages. Then, GSEA analysis, including Gene Ontology (GO) and Kyoto Encyclopedia of Genes and Genomes (KEGG) analyses (www.kegg.jp/kegg/kegg1.html)22, was carried out to explore the role of CD44 in pan-cancers, and the top five enrichment terms of each tumor type were illustrated using the R package “ClusterProfiler”.
Statistical analysis
Alterations of CD44 expression in tumor tissues and normal tissues were estimated using the Wilcoxon test. In survival analysis, the relationship between CD44 expression and survival information in pan-cancer patients was determined using Kaplan–Meier and univariate Cox regression analyses. The evaluation of these data was conducted through R software (Version 4.0.3) and Strawberry Perl (Version 5.30.0.1). P < 0.005 was considered statistically significant23.
Ethical approval and consent to participate
Our study did not require ethical board approval because it did not contain human or animal trials.
Results
Pan-cancer expression profiles of CD44
To analyze the expression profiles of CD44 in the pan-cancer dataset, a comparative analysis of CD44 expression was performed between cancer and control samples using the TCGA database, the CD44 levels were significantly up-regulated in CHOL, COAD, ESCA, GBM, HNSC, KIRC, KIRP, READ, and THCA, whereas it was downregulated in LUAD, PRAD, and UCEC (Fig. 1). Collectively, these results revealed the difference in CD44 expression patterns between cancer and normal samples in the pan-cancer datasets.

Correlation analysis between CD44 expression and survival
Then, a correlation analysis of CD44 and the prognosis of pan-cancer patients were conducted. Survival indicators included OS, PFI, DFI, and DSS. In the OS analysis, the Kaplan–Meier survival curves indicated that the high expression of CD44 was remarkably associated with poor OS in LGG (P = 0.001), MESO (P = 0.002) (Fig. 2A). In the PFI analysis, Kaplan–Meier analysis showed that patients with higher CD44 expression had a shorter PFI in LGG (P < 0.001) (Fig. 2B). Likewise, results of Kaplan–Meier analysis indicated that patients with higher CD44 expression had a poorer DFI in PAAD (P = 0.004) (Fig. 2C). Besides, Kaplan–Meier analysis indicated that the increased CD44 expression correlated with poorer DSS in patients with LGG (P < 0.001) (Fig. 2D).

Cox regression of OS identified that CD44 expression was a risk factor for KIRC (P < 0.001), LGG (P < 0.001), PAAD (P < 0.001), however, it appeared to be a protective factor in UVM (P = 0.002) (see Supplementary Figure S1A online). Cox regression analysis of DSS demonstrated that CD44 expression as a risk factor in KIRC (P < 0.001), LGG (P < 0.001), PAAD (P = 0.004), while it was a protective factor in BRCA (P < 0.001), UVM (P = 0.002) (see Supplementary Fig. S1B online). Cox regression analysis of DFI noted that CD44 expression was a risk factor in PAAD (P = 0.001) (see Supplementary Fig. S1C online). Cox regression analysis of PFI identified that CD44 acted as a detrimental prognostic factor in KIRC (P < 0.001), LGG (P < 0.001), PAAD (P < 0.001) (see Supplementary Fig. S1D online) (Table 2). Altogether, these results signal that CD44 may serve as a prognostic biomarker and potential therapeutic target.
Table 2: Univariate Cox regression analysis of the associations of CD44 expression with patient survival.
| Cancer | OS | PFI | DFI | DSS | ||||||||
|---|---|---|---|---|---|---|---|---|---|---|---|---|
| HR | HR (95%CI) | P-value | HR | HR (95%CI) | P-value | HR | HR (95%CI) | P-value | HR | HR (95%CI) | P-value | |
| ACC | 0.964 | (0.705–1.320) | 0.821 | 0.874 | (0.675–1.130) | 0.303 | 0.977 | (0.605–1.579) | 0.925 | 0.889 | (0.635–1.244) | 0.492 |
| BLCA | 1.065 | (0.966–1.173) | 0.205 | 1.044 | (0.945–1.153) | 0.401 | 0.955 | (0.756–1.206) | 0.697 | 1.134 | (1.004–1.281) | 0.043 |
| BRCA | 0.924 | (0.788–1.082) | 0.324 | 0.817 | (0.697–0.959) | 0.013 | 0.798 | (0.645–0.988) | 0.038 | 0.700 | (0.568–0.864) | < 0.001 |
| CESC | 1.069 | (0.857–1.333) | 0.555 | 1.005 | (0.807–1.251) | 0.965 | 0.782 | (0.547–1.118) | 0.177 | 1.012 | (0.788–1.300) | 0.924 |
| CHOL | 0.907 | (0.668–1.232) | 0.532 | 0.794 | (0.598–1.055) | 0.112 | 1.060 | (0.731–1.538) | 0.759 | 0.903 | (0.652–1.249) | 0.537 |
| COAD | 0.993 | (0.736–1.339) | 0.961 | 0.929 | (0.701–1.232) | 0.610 | 0.859 | (0.467–1.577) | 0.623 | 0.984 | (0.673–1.439) | 0.934 |
| DLBC | 0.800 | (0.359–1.779) | 0.584 | 0.795 | (0.396–1.596) | 0.519 | 0.950 | (0.174–5.200) | 0.953 | 1.068 | (0.357–3.200) | 0.906 |
| ESCA | 0.969 | (0.765–1.226) | 0.791 | 1.080 | (0.876–1.331) | 0.470 | 1.363 | (0.912–2.039) | 0.131 | 1.019 | (0.772–1.344) | 0.895 |
| GBM | 1.169 | (0.990–1.380) | 0.065 | 1.253 | (1.054–1.489) | 0.010 | / | / | / | 1.157 | (0.965–1.386) | 0.114 |
| HNSC | 1.176 | (0.977–1.415) | 0.086 | 1.236 | (1.014–1.508) | 0.036 | 1.191 | (0.681–2.083) | 0.539 | 1.321 | (1.023–1.707) | 0.033 |
| KICH | 1.051 | (0.638–1.732) | 0.844 | 1.050 | (0.668–1.652) | 0.831 | 0.772 | (0.340–1.751) | 0.535 | 1.136 | (0.640–2.019) | 0.663 |
| KIRC | 1.476 | (1.269–1.718) | < 0.001 | 1.384 | (1.182–1.620) | < 0.001 | 0.827 | (0.485–1.411) | 0.486 | 1.690 | (1.408–2.030) | < 0.001 |
| KIRP | 1.289 | (1.029–1.615) | 0.027 | 1.112 | (0.905–1.367) | 0.312 | 1.073 | (0.785–1.467) | 0.657 | 1.363 | (1.044–1.779) | 0.023 |
| LAML | 0.779 | (0.595–1.019) | 0.068 | / | / | / | / | / | / | / | / | / |
| LGG | 1.416 | (1.232–1.627) | < 0.001 | 1.318 | (1.178–1.473) | < 0.001 | 1.223 | (0.881–1.697) | 0.229 | 1.481 | (1.273–1.723) | < 0.001 |
| LIHC | 1.131 | (0.984–1.300) | 0.083 | 1.006 | (0.891–1.136) | 0.924 | 0.960 | (0.834–1.105) | 0.572 | 1.094 | (0.908–1.319) | 0.345 |
| LUAD | 1.021 | (0.881–1.183) | 0.782 | 1.004 | (0.872–1.157) | 0.952 | 1.011 | (0.817–1.250) | 0.923 | 1.006 | (0.830–1.219) | 0.953 |
| LUSC | 0.928 | (0.796–1.083) | 0.345 | 0.938 | (0.778–1.133) | 0.508 | 0.947 | (0.706–1.269) | 0.714 | 0.822 | (0.653–1.034) | 0.094 |
| MESO | 1.305 | (1.033–1.649) | 0.025 | 1.094 | (0.863–1.386) | 0.457 | 1.286 | (0.700–2.361) | 0.417 | 1.227 | (0.919–1.639) | 0.166 |
| OV | 0.895 | (0.777–1.031) | 0.125 | 0.882 | (0.776–1.002) | 0.054 | 0.817 | (0.675–0.989) | 0.038 | 0.869 | (0.745–1.013) | 0.073 |
| PAAD | 1.650 | (1.245–2.188) | < 0.001 | 1.665 | (1.257–2.206) | < 0.001 | 2.882 | (1.508–5.505) | 0.001 | 1.574 | (1.154–2.147) | 0.004 |
| PCPG | 0.780 | (0.495–1.227) | 0.282 | 0.723 | (0.546–0.958) | 0.024 | 0.716 | (0.365–1.404) | 0.331 | 0.742 | (0.449–1.227) | 0.245 |
| PRAD | 0.890 | (0.504–1.572) | 0.688 | 0.805 | (0.655–0.991) | 0.041 | 0.837 | (0.575–1.218) | 0.353 | 0.592 | (0.272–1.285) | 0.185 |
| READ | 0.628 | (0.334–1.179) | 0.147 | 0.843 | (0.477–1.492) | 0.559 | 0.682 | (0.107–4.347) | 0.685 | 1.047 | (0.387–2.832) | 0.928 |
| SARC | 0.828 | (0.707–0.970) | 0.019 | 0.943 | (0.823–1.080) | 0.394 | 0.961 | (0.784–1.178) | 0.702 | 0.801 | (0.674–0.952) | 0.012 |
| SKCM | 0.936 | (0.827–1.059) | 0.295 | 0.939 | (0.844–1.045) | 0.252 | / | / | / | 0.938 | (0.820–1.073) | 0.353 |
| STAD | 1.129 | (0.978–1.304) | 0.097 | 1.157 | (0.992–1.348) | 0.063 | 1.109 | (0.836–1.472) | 0.474 | 1.181 | (0.986–1.413) | 0.070 |
| TGCT | 2.256 | (0.922–5.523) | 0.075 | 0.926 | (0.679–1.262) | 0.626 | 0.871 | (0.605–1.253) | 0.457 | 2.226 | (0.901–5.501) | 0.083 |
| THCA | 0.724 | (0.386–1.358) | 0.314 | 1.122 | (0.767–1.641) | 0.552 | 1.343 | (0.785–2.295) | 0.282 | 0.492 | (0.217–1.114) | 0.089 |
| THYM | 1.674 | (0.814–3.441) | 0.161 | 1.697 | (1.033–2.788) | 0.037 | / | / | / | 1.157 | (0.381–3.519) | 0.797 |
| UCEC | 0.887 | (0.740–1.062) | 0.193 | 0.831 | (0.711–0.972) | 0.020 | 0.830 | (0.662–1.042) | 0.108 | 0.785 | (0.628–0.981) | 0.033 |
| UCS | 0.903 | (0.646–1.262) | 0.55 | 0.950 | (0.701–1.289) | 0.742 | 0.923 | (0.500–1.705) | 0.798 | 0.834 | (0.578–1.203) | 0.331 |
| UVM | 0.305 | (0.143–0.650) | 0.002 | 0.392 | (0.194–0.794) | 0.009 | / | / | / | 0.294 | (0.136–0.637) | 0.002 |
OS overall survival, PFI progression-free interval, DFI disease-free interval, DSS disease-specific survival.
Correlation analysis between CD44 expression and pan-cancer clinicopathologic characteristics
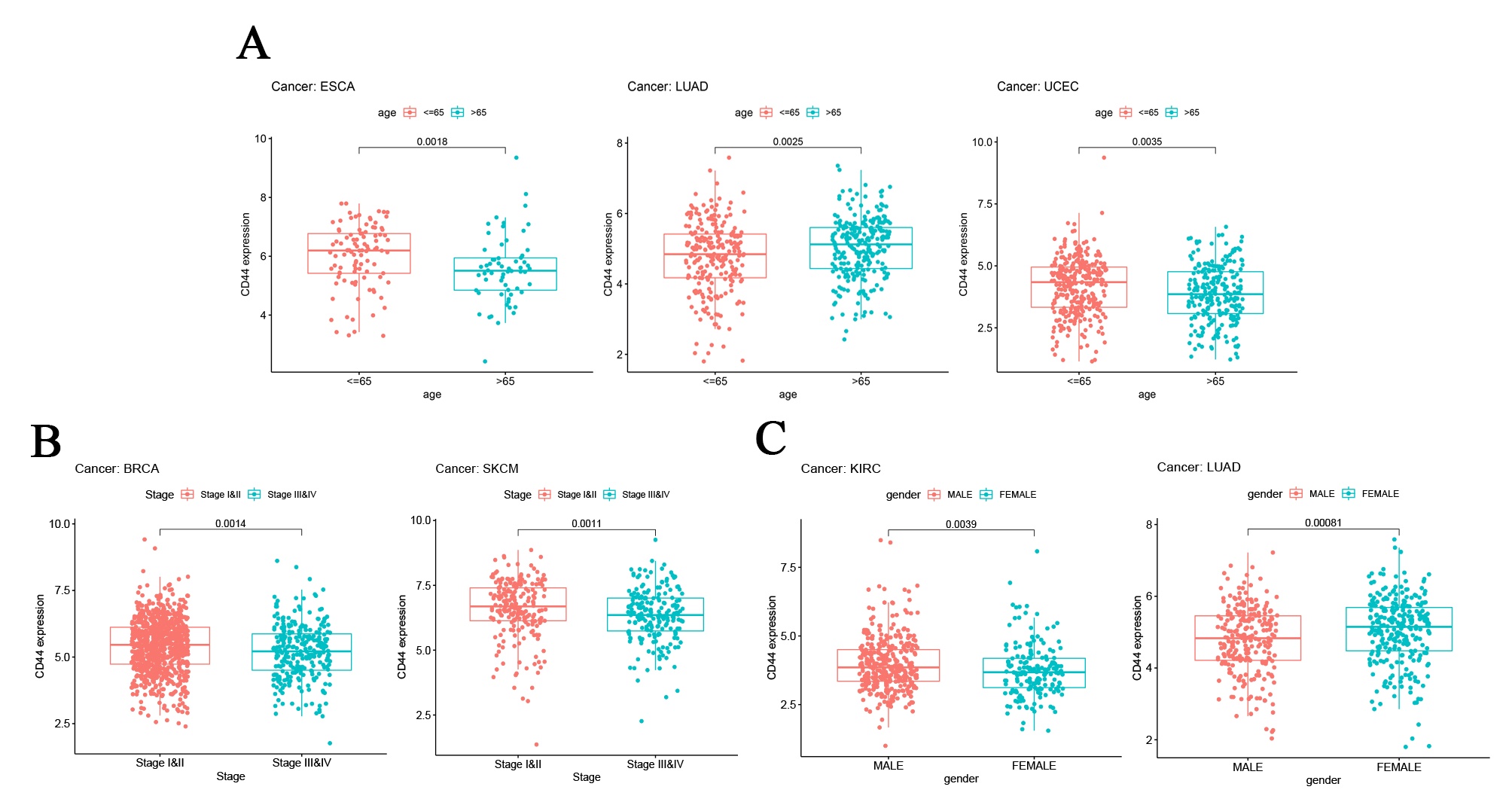
Thereafter, the association between CD44 expression and clinicopathologic characteristics was investigated in pan-cancer datasets. In patients less than (or equal to) 65 years, a higher CD44 expression level was noted in ESCA, and UCEC. In contrast, CD44 was higher expressed in patients over 65 years old in LUAD (see Supplementary Figure S2A online). Moreover, CD44 was down-regulated during the advanced cancer clinical stage in BRCA, and SKCM (see Supplementary Fig. S2B online). Interestingly, CD44 expression also presented sex dimorphism in KIRC, and LUAD (see Supplementary Fig. S2C online), implying that CD44 may reflect clinical progression for those tumors.
Correlation analysis of CD44 expression with TMB and MSI
TMB, MSI have been proposed to correlate with response to immunitherapy24, and we intend to evaluate the TMB and MSI status in CD44 expression to determine the potential of CD44 in reflecting the efficacy of immunotherapy to give suggestions on medication for cancer patients. High TMB was reported as a critical driver of cancer progression25. Our results determined a positive correlation between CD44 expression and TMB in COAD, LGG, and UCEC. In contrast, CD44 expression was negatively linked with TMB in BLCA, BRCA, ESCA, LUAD, LUSC, PRAD, and TGCT (see Supplementary Figure S3A online).
Meanwhile, MSI also acted as a predictive biomarker, enabling more precise guidance of immunotherapy26. Hence, the relationship of CD44 expression with MSI was analyzed. Our findings revealed a positive correlation between CD44 and MSI in COAD and UCEC. On the other hand, a negative correlation was discovered between CD44 and MSI in ESCA, HNSC, KIRC, and PRAD (see Supplementary Fig. S3B online). Next, we compared CD44’s predictive ability for immunotherapy efficacy to other canonical biomarker signatures in the TIDE database, using treatment responses from various cancer cohorts treated with ICB. The results confirmed that CD44 had a medium predictive performance, with 10 of the 25 ICB-treated cohorts presenting an area under curve (AUC) greater than 0.5 (see Supplementary Figure S4 online).
To sum up, these observations indicated that TMB and MSI were correlated in multiple cancer types, and the results provided by the TIDE database persuasively confirm its robustness in efficacy predictions, undoubtfully manifesting that it could be used as a reliable biomarker for predicting responses to immunotherapy.
Associations between CD44 expression and therapeutic response of targeted therapy in various cancer
Targeted therapy and immunotherapy have become mainstream in cancer treatment. However, only some subsets of patients benefit from these therapies and more biomarkers needed to be explored. We investigated the utility of CD44 in evaluating therapeutic responses of targeted therapy to various cancer (see Supplementary Figure S5 online). In BRCA treated with anti-HER2 therapy, CD44 expression level was higher in non-responders, and with an AUC of 0.588. Likewise, CD44 expression was higher in non-responders in colorectal carcinoma treated with bevacizumab, with an AUC of 0.64. Furthermore, CD44 was associated with benefits of targeted therapeutic relapse-free survival (RFS) at 12 months in ovarian cancer, with an AUC of 0.733. Taken together, above results elucidated that CD44 could act as a therapeutic response biomarker in various cancer.
Correlation between CD44 expression and various components in the TME of pan-cancer
Components of the TME include tumor cells, stromal cells, and immune cells27, which can influence tumor formation, maintenance, and multidrug resistance, whereas non-malignant cells promote tumorigenesis in all stages of cancer28. Subsequently, the pan-cancer types were divided into high-risk cancer groups (BLCA, KIRC, KIRP, and LGG) (Fig. 3A) and low-risk cancer groups (OV, PRAD, SARC, and UCEC) (Fig. 3B) according to the survival outcome of the pan-cancer patients obtained from Kaplan–Meier curve and univariate Cox analysis. Unexpectedly, the immune score and stromal score were positively correlated with CD44 expression in every cancer type in both groups. Therefore, we hypothesized that CD44 could affect the immune and stromal components of TME.

To further explore the association of CD44 expression and TIC subtypes, the CIBERSORT algorithm was utilized to calculate the relative levels of TIC subtypes in patients from both groups, with P < 0.001 as the cut-off value. It was observed that CD44 expression levels were positively linked with neutrophils in BLCA and negatively linked with naive B cells, plasma cells, and regulatory T cells (Tregs) (Fig. 4A–D). Moreover, CD44 expression was positively correlated with macrophages M0, activated memory CD4 T cells, and Tregs in KIRC, and negatively correlated with resting mast cells, monocytes, resting NK cells, and resting memory CD4 T cells (Fig. 4E–K). In addition, CD44 expression levels were significantly positively correlated with naive B cells, neutrophils, and activated memory CD4 T cells in KIRP but negatively correlated with memory B cells and macrophages M2 (Fig. 4L–P). Besides, a positive correlation between CD44 expression and resting memory CD4 T cells was noted in LGG (Fig. 4Q). In OV, CD44 expression levels were positively correlated with resting dendritic cells, neutrophils, and plasma cells and negatively correlated with activated dendritic cells (Fig. 4R–U). In UCEC, CD44 expression levels were positively correlated with neutrophils and activated memory CD4 T cells and negatively correlated with activated NK cells and memory B cells (Fig. 4V–Y). Collectively, these results infer that CD44 may mediate the immune response in these cancer types. Thereupon, correlation analysis was performed between CD44 and various immune-related genes (Fig. 5A), and immune checkpoint genes (Fig. 5B). Finally, the results suggested that CD44 may interfere with the TME by influencing the expression of immune-related genes and immune checkpoint genes, which mediates tumor progression and metastasis.


Functional states of CD44
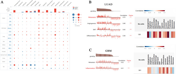
Next, we explored the functional role of CD44 in TME of various cancer types using CancerSEA database, which shows the correlation of CD44 with malignant phenotype and functional states at single-cell resolutions. The results showed that CD44 expression had a positive correlation with the angiogenesis, differentiation, EMT, inflammation and metastasis (Fig. 6A). Then, we evaluated the correlation with CD44 and the functional status in specific cancers. The results elucidated that CD44 positively correlated with metastasis, angiogenesis, EMT, and differentiation in LUAD (Fig. 6B); with metastasis and inflammation in GBM (Fig. 6C). Therefore, we tentatively proposed that CD44 may promote malignant phenotypes of cancer cells, which could thus be used as a potential therapeutic target for some specific cancer types.

Cancers enrichment analysis
To elucidate the underlying molecular mechanism of CD44 in tumorigenesis, GSEA was performed to assess the biological significance of CD44 expression in eight pan-cancer types (Fig. 7). In GO functional annotation, CD44 was significantly correlated with several immune-related functions in KIRC, KIRP, and UCEC, such as leukocyte migration and detection of chemical stimulus (Fig. 7A). Furthermore, KEGG analyses demonstrated that CD44 could positively influence several crucial immune cell-related pathways in KIRP and LGG, such as the toll-like receptor signaling pathway and Leishmania infection (Fig. 7B). Overall, these results confirmed that CD44 is instrumental in TME remodeling for various cancers.

Discussion
The pan-cancer analysis can disclose the heterogeneities of tumors, providing insights into cancer treatment29. Numerous pan-cancer studies have focused on gene mutations and cancer development, which are helpful in the progression of sustainable, meaningful clinical treatments and the development of biomarkers30. As previously reported, CD44 is overexpressed in CSCs and plays a vital role in cancer progression, metastasis, and drug resistance31. It may also serve as a therapeutic target, given that it modulates multiple survival signaling pathways10,32. It has been previously reported that CD44 can promote CSC traits of metastatic breast cancers by activating the PDGFRβ/Stat3 signaling pathway11. Accumulating evidence revealed that CD44 might present as a therapeutic biomarker in various tumor types12,33. Although CD44 has been extensively studied in certain types of cancer, its role remains elusive in multiple cancers. In this research, we described the functional significance of CD44 and identified the differential expression of CD44 within cancers and normal tissues in 12 cancer types from the pan-cancer datasets. Moreover, we also confirmed that CD44 expression was relevant to the levels of immune cell infiltration in various types of cancer with ESTIMATE and CIBERSORT. Lastly, GSEA analysis exposed that CD44 was significantly correlated with several signaling pathways.
CSCs are hypothesized to possess the ability of self-renewal, tumor initiation and metastasis. Prior research reported that the overexpression of CD44 in cancer cells is widely accepted as a marker of higher tumor-initiating potential and invasiveness of cancer cells34,35. CD44 is recognized as the CSC surface marker for sorting cancer types such as breast cancer9, prostate cancer36, and gastric cancers16. Previous studies revealed that CD44 might be unnaturally expressed in several cancer types and play an essential role in cancer progression. Herein, significant upregulation of CD44 expression levels was observed in cancer tissues compared to normal tissues in CHOL, COAD, ESCA, GBM, HNSC, KIRC, KIRP, READ, and THCA, while down-regulated in LUAD, PRAD, and UCEC. Interestingly, some studies reported contrasting outcomes. For instance, a study reported that CD44 was up-regulated in LUAD, showed significantly higher capacities of tumorigenic colonies37, and was related to worse OS38. Notably, the functional role of CD44 on cancer development and progression has become a research hotspot and will assist in understanding its potential role as a prognostic biomarker for cancers.
Furthermore, our results established that a higher CD44 expression level was related to unfavorable survival outcomes in LGG, MESO, and PAAD. Similar outcomes were also observed in glioma patients39. Compelling evidence obtained from 42 studies outlined that gastric cancer patients with CD44 overexpression had a lower 5-year OS rate40. Some studies also reported similar results in colorectal cancer41,42. Moreover, overexpression of CD44 predicted a poor prognosis in patients with hepatocellular carcinoma43 and pancreatic carcinoma44. Besides, another study revealed that expression of CD44 varied significantly by age and gender in oral cancer45, which is consistent with the outcomes of this study, where CD44 was up-regulated in older patients with LUAD and downregulated in older patients affected by ESCA, and UCEC. Moreover, some studies revealed a novel potential therapeutic target that survival outcomes are also affected by stem cells, which can be regulated by stemness-related genes46,47. In short, these outcomes strongly indicate that CD44 might be a useful biomarker for most cancer types.
Gene mutation is postulated to be the primary cause of cancer48, and specific gene mutations have distinct impacts on the prognosis and risk stratification of various cancer types49. TMB is defined as the number of somatic mutations per megabase of the interrogated genomic sequence, while MSI is defined as the collection of microsatellite mutations; both are widely used as predictive biomarkers of response to immunotherapy50,51. Additionally, recent studies have demonstrated that MSI and TMB contribute significantly to the therapeutic response to immune checkpoint inhibitors (ICIs)52. The MSI-low phenotype was found as a worse prognostic biomarker in colorectal cancers53. However, MSI has limitations, such as immune checkpoint blockade failing to elicit a response in colorectal cancer cases54. This research established a relationship between CD44 and TMB and MSI, implying that CD44 may provide a more comprehensive perspective of immunotherapy in these cancer types.
The MSI status may alter the TME of cancer patients, thereby affecting the efficacy of ICIs55, while TME plays a crucial role in tumorigenesis and cancer progression56,57. Increasing evidence indicated that the immune escape of cancer cells is correlated with various components of the TME and ultimately contributes to tumor proliferation, metastasis, and recurrence. And the effect of risk scores on the TME may have essential roles in cancer development58. Albeit immunotherapy has made considerable advances in cancer treatment, it still faces numerous challenges in its successful application59,60. Indeed, to further improve the efficacy of immunotherapy, the identification of novel biomarkers is vital. Gomez et al. reported that CD44 expression was regulated by TAM, which directly influences CD44 signaling via ligand binding in HNSC12. Nonetheless, little is known about the role of CD44 in the immune microenvironment. The results from this study indicated that CD44 level was significantly correlated with T cells, B cells, NK cells, macrophages, and other immune infiltrating cells in BLCA, KIRC, KIRP, LGG, OV, and UCEC. Taken together, it is reasonable to speculate that CD44 may play an essential role in cancer immunity and ultimately influence prognosis. This study still has some limitations, biological validation and large sample cancer cohort validation should be performed to better illustrate the role of CD44 in the pan-cancer study.
Conclusions
In summary, our results indicated that CD44 was associated with disease prognosis and immune infiltration in pan-cancers. Moreover, CD44 expression was also linked with TMB, MSI, and various components of the TME. These findings add to the understanding of tumor mechanisms and contribute to improving the efficacy of immunotherapy.
Supplementary Materials
References
- H Sung. Global cancer statistics 2020: GLOBOCAN estimates of incidence and mortality worldwide for 36 cancers in 185 countries. CA Cancer J. Clin., 2021. [DOI | PubMed]
- C Fitzmaurice. Global, regional, and national cancer incidence, mortality, years of life lost, years lived with disability, and disability-adjusted life-years for 29 cancer groups, 1990 to 2017: A systematic analysis for the global burden of disease study. JAMA Oncol., 2019. [DOI | PubMed]
- RL Siegel, KD Miller, A Jemal. Cancer statistics, 2019. CA Cancer J. Clin., 2019. [DOI | PubMed]
- L Yu. Multi-omics analysis reveals the interaction between the complement system and the coagulation cascade in the development of endometriosis. Sci. Rep., 2021. [DOI | PubMed]
- B Li. Comprehensive analyses of tumor immunity: Implications for cancer immunotherapy. Genome Biol., 2016. [DOI | PubMed]
- S Kelderman, TN Schumacher, JB Haanen. Acquired and intrinsic resistance in cancer immunotherapy. Mol. Oncol., 2014. [DOI | PubMed]
- B Liu. Identification of DRP1 as a prognostic factor correlated with immune infiltration in breast cancer. Int. Immunopharmacol., 2020. [DOI | PubMed]
- HG Russnes, PE Lønning, AL Børresen-Dale, OC Lingjærde. The multitude of molecular analyses in cancer: The opening of Pandora’s box. Genome Biol., 2014. [DOI | PubMed]
- M Al-Hajj, MS Wicha, A Benito-Hernandez, SJ Morrison, MF Clarke. Prospective identification of tumorigenic breast cancer cells. Proc. Natl. Acad. Sci. USA, 2003. [DOI | PubMed]
- G Mattheolabakis, L Milane, A Singh, MM Amiji. Hyaluronic acid targeting of CD44 for cancer therapy: From receptor biology to nanomedicine. J. Drug Target., 2015. [DOI | PubMed]
- H Zhang. CD44 splice isoform switching determines breast cancer stem cell state. Genes Dev., 2019. [DOI | PubMed]
- KE Gomez. Cancer cell CD44 mediates macrophage/monocyte-driven regulation of head and neck cancer stem cells. Cancer Res., 2020. [DOI | PubMed]
- E Kalantari. Co-expression of putative cancer stem cell markers CD44 and CD133 in prostate carcinomas. Pathol. Oncol. Res. POR, 2017. [DOI | PubMed]
- M Todaro. CD44v6 is a marker of constitutive and reprogrammed cancer stem cells driving colon cancer metastasis. Cell Stem Cell, 2014. [DOI | PubMed]
- K Kobayashi. Clinical significance of CD44 variant 9 expression as a prognostic indicator in bladder cancer. Oncol. Rep., 2016. [DOI | PubMed]
- WM Lau. CD44v8-10 is a cancer-specific marker for gastric cancer stem cells. Cancer Res., 2014. [DOI | PubMed]
- L Li. Antibody against CD44s inhibits pancreatic tumor initiation and postradiation recurrence in mice. Gastroenterology, 2014. [DOI | PubMed]
- JT Fekete, B Győrffy. ROCplot.org: Validating predictive biomarkers of chemotherapy/hormonal therapy/anti-HER2 therapy using transcriptomic data of 3,104 breast cancer patients. Int. J. Cancer, 2019. [DOI | PubMed]
- JT Fekete. Predictive biomarkers of platinum and taxane resistance using the transcriptomic data of 1816 ovarian cancer patients. Gynecol. Oncol., 2020. [DOI | PubMed]
- P Jiang. Signatures of T cell dysfunction and exclusion predict cancer immunotherapy response. Nat. Med., 2018. [DOI | PubMed]
- H Yuan. CancerSEA: A cancer single-cell state atlas. Nucleic Acids Res., 2019. [DOI | PubMed]
- M Kanehisa, M Furumichi, Y Sato, M Kawashima, M Ishiguro-Watanabe. KEGG for taxonomy-based analysis of pathways and genomes. Nucleic Acids Res., 2023. [DOI | PubMed]
- JPA Ioannidis. Publishing research with P-values: Prescribe more stringent statistical significance or proscribe statistical significance?. Eur. Heart J., 2019. [DOI | PubMed]
- AM Leader. Single-cell analysis of human non-small cell lung cancer lesions refines tumor classification and patient stratification. Cancer Cell, 2021. [DOI | PubMed]
- ZR Chalmers. Analysis of 100,000 human cancer genomes reveals the landscape of tumor mutational burden. Genome Med., 2017. [DOI | PubMed]
- JC Dudley, MT Lin, DT Le, JR Eshleman. Microsatellite Instability as a Biomarker for PD-1 Blockade. Clin. Cancer Res., 2016. [DOI | PubMed]
- R Jahanban-Esfahlan, K Seidi, N Zarghami. Tumor vascular infarction: Prospects and challenges. Int. J. Hematol., 2017. [DOI | PubMed]
- J Frisch, A Angenendt, M Hoth, L PratesRoma, A Lis. STIM-Orai channels and reactive oxygen species in the tumor microenvironment. Cancers, 2019. [DOI | PubMed]
- FX Schaub. Pan-cancer alterations of the MYC oncogene and its proximal network across the cancer genome atlas. Cell Syst., 2018. [DOI | PubMed]
- 30.Consortium, I. T. P.-C. A. o. W. G. Pan-cancer analysis of whole genomes. Nature578, 82–93. 10.1038/s41586-020-1969-6 (2020).
- Y Wei. Identification of MX2 as a novel prognostic biomarker for sunitinib resistance in clear cell renal cell carcinoma. Front. Genet., 2021. [DOI | PubMed]
- C Chen, S Zhao, A Karnad, JW Freeman. The biology and role of CD44 in cancer progression: Therapeutic implications. J. Hematol. Oncol., 2018. [DOI | PubMed]
- P Heldin, C Kolliopoulos, CY Lin, CH Heldin. Involvement of hyaluronan and CD44 in cancer and viral infections. Cell. Signal., 2020. [DOI | PubMed]
- CL Chaffer. Normal and neoplastic nonstem cells can spontaneously convert to a stem-like state. Proc. Natl. Acad. Sci. USA, 2011. [DOI | PubMed]
- L La Fleur, AC Johansson, K Roberg. A CD44high/EGFRlow subpopulation within head and neck cancer cell lines shows an epithelial-mesenchymal transition phenotype and resistance to treatment. PLoS ONE, 2012. [DOI | PubMed]
- AT Collins, PA Berry, C Hyde, MJ Stower, NJ Maitland. Prospective identification of tumorigenic prostate cancer stem cells. Cancer Res., 2005. [DOI | PubMed]
- CY Wang. The subpopulation of CD44-positive cells promoted tumorigenicity and metastatic ability in lung adenocarcinoma. J. Chin. Med. Assoc., 2019. [DOI | PubMed]
- C Zhang, H Wang, X Wang, C Zhao, H Wang. CD44, a marker of cancer stem cells, is positively correlated with PD-L1 expression and immune cells infiltration in lung adenocarcinoma. Cancer Cell Int., 2020. [DOI | PubMed]
- G Wu. Biosci. Rep., 2020. [DOI]
- M Fang. CD44 and CD44v6 are correlated with gastric cancer progression and poor patient prognosis: Evidence from 42 studies. Cell. Physiol. Biochem. Int. J. Exp. Cell. Physiol. Biochem. Pharmacol., 2016. [DOI]
- JL Wang. CD44v6 overexpression related to metastasis and poor prognosis of colorectal cancer: A meta-analysis. Oncotarget, 2017. [DOI | PubMed]
- L Ma, L Dong, P Chang. CD44v6 engages in colorectal cancer progression. Cell Death Dis., 2019. [DOI | PubMed]
- Y Fu. CD44v6 expression is associated with a poor prognosis in Chinese hepatocellular carcinoma patients: A meta-analysis. Clin. Res. Hepatol. Gastroenterol., 2015. [DOI | PubMed]
- K Chen. Co-expression of CD133, CD44v6 and human tissue factor is associated with metastasis and poor prognosis in pancreatic carcinoma. Oncol. Rep., 2014. [DOI | PubMed]
- LH Pereira. Risk stratification system for oral cancer screening. Cancer Prev. Res., 2016. [DOI]
- X Li. Sinomenine hydrochloride suppresses the stemness of breast cancer stem cells by inhibiting Wnt signaling pathway through down-regulation of WNT10B. Pharmacol. Res., 2022. [DOI | PubMed]
- Y Liu. AC010973.2 promotes cell proliferation and is one of six stemness-related genes that predict overall survival of renal clear cell carcinoma. Sci. Rep., 2022. [DOI | PubMed]
- E Sanz-Garcia, G Argiles, E Elez, J Tabernero. BRAF mutant colorectal cancer: Prognosis, treatment, and new perspectives. Ann. Oncol., 2017. [DOI | PubMed]
- HX Wu. Tumor mutational and indel burden: A systematic pan-cancer evaluation as prognostic biomarkers. Ann. Transl. Med., 2019. [DOI | PubMed]
- M Yarchoan, A Hopkins, EM Jaffee. Tumor mutational burden and response rate to PD-1 inhibition. N. Engl. J. Med., 2017. [DOI | PubMed]
- DM Merino. Establishing guidelines to harmonize tumor mutational burden (TMB): In silico assessment of variation in TMB quantification across diagnostic platforms: Phase I of the Friends of Cancer Research TMB Harmonization Project. J. Immunother. Cancer, 2020. [DOI | PubMed]
- Y Eso, T Shimizu, H Takeda, A Takai, H Marusawa. Microsatellite instability and immune checkpoint inhibitors: Toward precision medicine against gastrointestinal and hepatobiliary cancers. J. Gastroenterol., 2020. [DOI | PubMed]
- A TorshiziEsfahani, SY Seyedna, E NazemalhosseiniMojarad, A Majd, H AsadzadehAghdaei. MSI-L/EMAST is a predictive biomarker for metastasis in colorectal cancer patients. J. Cell. Physiol., 2019. [DOI | PubMed]
- E Picard, CP Verschoor, GW Ma, G Pawelec. Relationships between immune landscapes, genetic subtypes and responses to immunotherapy in colorectal cancer. Front. Immunol., 2020. [DOI | PubMed]
- A Lin, J Zhang, P Luo. Crosstalk between the MSI status and tumor microenvironment in colorectal cancer. Front. Immunol., 2020. [DOI | PubMed]
- JT Neal. Organoid modeling of the tumor immune microenvironment. Cell, 2018. [DOI | PubMed]
- S Chen. KCNN4 is a potential prognostic marker and critical factor affecting the immune status of the tumor microenvironment in kidney renal clear cell carcinoma. Transl. Androl. Urol., 2021. [DOI | PubMed]
- D Wu. Identification of novel autophagy-related lncRNAs associated with a poor prognosis of colon adenocarcinoma through bioinformatics analysis. Sci. Rep., 2021. [DOI | PubMed]
- YR Murciano-Goroff, AB Warner, JD Wolchok. The future of cancer immunotherapy: Microenvironment-targeting combinations. Cell Res., 2020. [DOI | PubMed]
- S Chen, Y Sun, X Zhu, Z Mo. Prediction of survival outcome in lower-grade glioma using a prognostic signature with 33 immune-related gene pairs. Int. J. Gener. Med., 2021. [DOI]
