The Plant of Many Scents: Unraveling the Odorant Composition of Selected CBD Hemp Cultivars
Abstract
This study presents the first comprehensive sensory-guided investigation into the odor-active compounds of dried hemp (Cannabis sativa L.) flowers. Using gas chromatography-olfactometry (GC-O) in combination with aroma extract dilution analysis (AEDA), 52 odor-active compounds were identified across six cannabidiol-rich cultivars. Among them, 38 odorants were reported for the first time in dried hemp flowers, whereas six compounds have not been identified in any hemp material before. Terpenes and terpenoids such as α-pinene, myrcene, and linalool exhibited consistently high flavor dilution (FD) factors of 256–1024 across all cultivars, suggesting their role as important contributors to hemp aroma beyond their known abundance. In addition, potent sulfur-containing compounds, including 3-methylbut-2-ene-1-thiol, 4-methyl-4-sulfanylpentan-2-one, 3-sulfanylhexan-1-ol, and 3-sulfanylhexyl acetate, were detected at high FD factors (FD 256–1024) in dried hemp flowers for the first time, confirming their sensory relevance. Other key compounds such as p-cresol (FD 256–1024), eugenol (FD 1024), 2-methoxy-4-vinylphenol (FD 256), methyl anthranilate (FD 256), Furaneol (FD 128), and sotolon (FD 512) were detected with high FD factors in specific cultivars, highlighting their distinct aroma characteristics. This research lays the first groundwork for understanding the odorant composition of dried hemp flowers, providing a basis for future validation through quantitation and aroma reconstitution studies.
Article type: Research Article
Keywords: dried hemp flowers, odor-active compounds, gas chromatography-olfactometry (GC-O), aroma extract dilution
analysis (AEDA), flavor dilution factor (FD factor)
Affiliations: Life Sciences and Facility Management, 111833Zurich University of Applied Sciences (ZHAW), Wädenswil 8820, Switzerland; Leibniz Institute for Food Systems Biology at the Technical University of Munich (Leibniz-LSB@TUM), Freising 85354, Germany; Puregene AG, Zeiningen 4314, Switzerland
License: © 2025 The Authors. Published by American Chemical Society CC BY 4.0 This article is licensed under CC-BY 4.0
Article links: DOI: 10.1021/acs.jafc.5c07208 | PubMed: 40929713 | PMC: PMC12464981
Relevance: Core topic: mentioned in title and keywords
Full text: PDF (2.8 MB)
Introduction
Hemp (Cannabis sativa L.) belongs to the Cannabaceae family, which includes other aromatic plants such as hops (Humulus lupulus L.).ref. ref1 Hemp is rich in phytochemicals, including phytocannabinoids such as tetrahydrocannabinol (THC) and cannabidiol (CBD), as well as terpenoids, flavonoids, and sterols, all of which contribute to its biological activity and sensory properties.ref. ref2 Traditionally, hemp was cultivated primarily for textiles and food sources due to the rich fiber content of its stems and the high oil content in its seeds.ref3,ref4 The inflorescence of hemp gained attention as a source of the nonpsychoactive CBD only in recent decades. The legal definition of hemp varies by country and is rooted in the context of historical prohibition. For instance, in the United States, hemp is legally defined as Cannabis sativa containing less than 0.3% THC by weight,ref. ref5 whereas in Switzerland, hemp is classified with a maximum allowable THC content of 1% by weight.ref. ref6 Due to global prohibition and regulatory restrictions throughout the 20th century,ref. ref7 scientific exploration of hemp has been limited. In recent years, however, the expanding legalization of medicinal and recreational cannabis has renewed interest in hemp – particularly in its characteristic aroma – and has prompted more detailed studies into the volatile compounds that shape its sensory characteristics.
Aroma, rather than cannabinoids such as CBD or THC, has been shown to be the strongest predictor of consumer appeal in cannabis, highlighting its importance in perceived product quality.ref. ref8 Consequently, aroma is increasingly prioritized as a key selection trait by breeders of both high-THC and CBD-dominant hemp cultivars. Terpenes have long been associated with the aroma of hemp, exhibiting similar volatile profiles to hops.ref. ref4 However, recent researchref9−ref10ref11 suggests that compounds from other substance classes such as sulfur-containing compounds – as well as lipid degradation products, methoxypyrazines and esters also play a crucial role in shaping the aroma of cannabis. A gas chromatography-olfactometry (GC-O) analysis on different cultivars of fresh fiber-type hemp flowers revealed 33 odor-active compounds, which includes not only terpenes but also other substance classes: lipid degradation products, methoxypyrazines, esters and sulfur-containing compounds such as 3-methylbut-2-ene-1-thiol and 4-methyl-4-sulfanylpentan-2-one.ref. ref12 The presence of two latter compounds was subsequently confirmed in cannabis rosin extractsref. ref9 using comprehensive two-dimensional gas chromatography (GC × GC) analysis. This study further suggested the existence of additional prenylated volatile sulfur compounds, which were assumed as important for the characteristic sulfurous odor of cannabis rosin extract obtained from mechanically separated trichomes. In a follow-up investigation, the same group reported various esters, anthranilates, indoles, and thiols, further emphasizing the complexity of cannabis volatile fraction.ref9,ref10 However, the true impact of these detected volatiles on the overall cannabis aroma has not yet been investigated.
Due to the fact that only a small fraction of volatiles contribute to a product’s overall aroma, sensory-guided methods such as GC-O combined with aroma extract dilution analysis (AEDA)ref13,ref14 is essential in determining the relevance of volatile compounds in hemp. This approach integrates analytical techniques with human odor perception and has been extensively applied to identify key aroma compounds in various food raw materials and spices.ref15−ref16ref17 AEDA analysis is performed by stepwise dilution of the volatile fraction and evaluating each dilution by GC-O, until no odorant is perceivable at the sniffing port. The flavor dilution (FD) factor refers to the highest dilution at which the compound can be smelled, revealing the first insight into the contribution of the odorant to the overall aroma impression. By means of this methodology, it was proven that only a small fraction of the volatiles contributes to the overall aroma perception of foods and food raw materials.ref. ref18 For example for hops, the GC-O AEDA revealed that only 23 volatile compounds are odor-active in the FD factor range of 16–1024.ref. ref19
However, application of GC-O in combination with AEDA has not been applied to dried hemp flowers and products thereof. To date, only odor-active compounds in fresh hemp flowerref. ref12 and high-THC cannabis flowersref. ref20 were assessed by GC-O, leaving the odor-active constituents of dried flowers largely unexplored. In addition, mostly THC-containing materials such as rosin extracts and flowers have been previously analyzed, leaving hemp underexplored in terms of their volatile composition and the characterization of the most important contributors to the overall scent of dried cannabis flowers.
To address the aforementioned gaps, this study aimed to investigate the key odorant composition of dried hemp flowers – selectively bred for enriched CBD content and appealing aroma – using gas chromatography-olfactometry (GC-O) combined with aroma extract dilution analysis (AEDA). Terpene quantitation was additionally performed to provide a preliminary comparison with AEDA results. This represents the first application of AEDA to cannabis, which sought to identify the important molecular drivers, beyond terpenes and terpenoids, underlying the distinct aroma characteristics of different dried hemp cultivars and to gain the first insights into their contribution to the overall odor perception.
Materials and Methods
Hemp Samples
Freeze-dried hemp flowers of six cultivars, namely: PG071, PG072, PG073, PG074, PG075.1, and PG076 were provided by Puregene AG (Zeiningen, Switzerland). Growth conditions were standard to produce commercial hemp flower. The hemp flowers samples were harvested at optimal maturity, freeze-dried under the same condition and preserved at – 18 °C in sealed mylar bags (3.5 mil PET/aluminum laminate) prior to analyzing. Other details are provided in the Supporting Information (Table S1).
Based on qualitative sensory observations provided by professional cannabis breeder, hemp cultivars were selected for analysis based on their distinct odor profiles. PG071 presented a fruity and creamy aroma, while PG072 featured a turpentine-like odor and spicy undertones. PG073 was described as intense in earthy and herbal notes. The PG074 and PG075.1 cultivars were fruity and strawberry-like, with tropical undertones. PG076 had a citrus and turpentine-like scent.
Reference Odorants
The reference odorants ethyl propanoate, α-pinene, methyl 3-methylbutanoate, ethyl 2-methylbutanoate, ethyl 3-methylbutanoate, 3-methyl-2-but-1-enethiol, β-pinene, myrcene, limonene, 1,8-cineole, β-phellandrene, 3-methylbutyl 2-methylbutanoate, octanal, 4-methyl-4-sulfanylpentan-2-one, 3-sulfanylhexyl acetate, 3-sulfanylhexan-1-ol, 3-methoxy-2,5-dimethylpyrazine, acetic acid, 3-(methylsulfanyl)propanal, 3-isobutyl-2-methoxypyrazine, linalool, octan-1-ol, β-caryophyllene, 2-acetylpyrazine, butanoic acid, α-humulene, 2-methylbutanoic acid, 3-methylbutanoic acid, isoborneol, α-terpineol, (2E)-undec-2-enal, β-citronellol, nerol, hexanoic acid, 2-methoxyphenol, (2E,4E,6Z)-nona-2,4,6-trienal, (E)-β-ionone, 4-hydroxy-2,5-dimethylfuran-3(2H)-one, 4-methylphenol, 4-allyl-2-methoxyphenol, 2-methoxy-4-vinylphenol, 3-hydroxy-4,5-dimethylfuran-2(5H)-one, methyl anthranilate, indole, 3-methyl-1H-indole, and phenylacetic acid were purchased from Sigma-Aldrich (Buchs, Switzerland); trans-4,5-epoxy-(2E)-dec-2-enal and 2-acetyl-1-pyrroline were purchased from AromaLAB (Planegg, Germany).
Other Chemicals and Materials
Diethyl ether (Merck KGaA) was freshly distilled before use. Anhydrous sodium sulfate was purchased from Carl Roth (Roth AG, Arlesheim, Switzerland). Methyl nonanoate was purchased from Sigma-Aldrich (Buchs, Switzerland).
Gas Chromatography-Olfactometry (GC-O) and Aroma Extraction Dilution Analysis (AEDA)
To screen for key odorants, 10 g of dried hemp flowers were frozen with liquid nitrogen and ground finely prior to being weighed into 250 mL Erlenmeyer flasks. All ground hemp flowers were extracted with 150 mL diethyl ether by vigorous stirring with a magnetic stirrer (IKA-Werke GmbH & Co. KG, Staufen, Germany) at room temperature (20 ± 2 °C) for 3 h. During extraction, the flasks were sealed with stoppers and covered with aluminum foil. After extraction, the diethyl ether phase was filtered through filter paper (185 mm, Whatman, Germany), then directly subjected to solvent-assisted flavor evaporation (SAFE) with instrumental settings as previously described.ref. ref15 The thawed distillates were dehydrated using anhydrous sodium sulfate, concentrated on a Vigreux column to 5 mL, and then reduced to a final volume of 300 μL under a gentle stream of nitrogen.
The GC-O system was described in a previous study.ref. ref15 The AEDA was performed in the same manner and using the same parameters as described previously.ref. ref15 Sample distillates were diluted stepwise in diethyl ether from 1:2 up to 1:1024, then subjected to GC-O for evaluation. The original extract was evaluated by three trained panelists, and one trained panelist subsequently carried out the AEDA dilutions.
Compound Identification by Heart-Cut Two-Dimensional Gas Chromatography with High-Resolution Mass Spectrometry (GC-GC-HRMS)
The identification of 3-methylbut-2-ene-1-thiol (3MBT), 4-methyl-4-sulfanylpentan-2-one (4MSP), 3-sulfanylhexyl acetate (3SHA), 3-sulfanylhexan-1-ol (3SH) and isoborneol was performed by heart-cut two-dimensional gas chromatography with high-resolution mass spectrometry (GC-GC-HRMS). The system consisted of a Trace 1310 gas chromatograph (Thermo Fisher Scientific) equipped with a TriPlus RSH autosampler, a programmed temperature vaporizing (PTV) injector, an FID (250 °C base temperature), and a custom-made sniffing port with a base temperature of 230 °C.ref. ref21 The separation was achieved using a DB-FFAP capillary column (30 m × 0.25 mm i.d., 0.25 μm film thickness; Agilent) with helium as the carrier gas at a constant flow rate of 1.0 mL/min. The injection volume was 1 μL. The initial oven temperature was set at 40 °C and hold for 2 min, followed by a temperature ramp of 6 °C/min to 230 °C, which was held for 5 min. The end of the column was connected to a Deans switch (Trajan; Ringwood, Australia) used for heartcutting. Depending on the programmed timing, analytes were directed via deactivated fused silica capillaries (0.1 mm i.d.) either simultaneously to the FID and the sniffing port or to a second GC column (DB-1701 column, 30 m × 0.25 mm i.d., 0.25 μm film thickness; Agilent) in a second Trace 1310 GC system. Transfer to the secondary system occurred through a heated hose (250 °C) and a liquid nitrogen-cooled trap for analyte reconcentration. The second GC oven operated under the same initial conditions (40 °C, 2 min hold), followed by a temperature ramp of 6 °C/min to 240 °C, with a final hold of 5 min. The outlet of the second column was interfaced with a Q Exactive GC orbitrap mass spectrometer (Thermo Fisher Scientific), operated in the high-resolution EI mode over a scan range of m/z 35–250. Data acquisition and analysis were performed using Xcalibur software (Thermo Fisher Scientific). Detailed information on the identified compounds can be found in the Supporting Information (Table S3).
Compound Identification by Gas Chromatography with Mass Spectrometry (GC-MS) and Two-Dimensional Gas Chromatography with Mass Spectrometry (GC-GC-MS)
The identification of Furaneol was done with two-dimensional gas chromatography with mass spectrometry (GC-GC-MS), and that of other compounds was done with a gas chromatograph with mass spectrometry (GC-MS). The instrumental setting for both were described in a previous study,ref. ref15 except for the mass spectrometer of GC-MS was operated with a scan range of m/z 35–250, while GC-GC-MS was operated in selected ion monitoring mode with individual quantifier ions of each target compound.
Quantitation of Terpenes and Terpenoids in Dried Hemp Flowers by Gas Chromatography with Flame Ionization Detection (GC-FID)
Given the expected abundance of terpenes and terpenoids in the hemp samples based on AEDA results (Table ), the quantity of major terpenes and terpenoids was analyzed by a Gas Chromatography (GC) system (Thermo Trace GC Ultra, Brechbühler, Schlieren, Switzerland) with Flame Ionization Detection (FID). Ground dried hemp flower (1 g) was weighed into a plastic centrifuge tube (15 mL), followed by an addition of 6 mL diethyl ether, and 3 mL ultrapure water. Methyl nonanoate (1202 μg) was added as an internal standard corresponding to the expected terpene content. Extraction was performed for 2 h using an overhead shaker, followed by centrifugation at 4000 rpm (3220 g) for 15 min (Eppendorf, Hamburg, Germany). The resulting supernatant was utilized for subsequent quantitation with the GC-FID system, comprising a GC Trace Ultra (Thermo Fisher Scientific, Brechbühler, Schlieren, Switzerland) and a DB-FFAP capillary column (length 30 m, diameter 0.32 mm, film 1 μm) (Agilent Technologies Inc., Basel, Switzerland). The injection volume was 1 μL with a split flow at 50 mL/min and a split ratio of 1:18. The temperature program started at 40 °C and the temperature was held for 3 min, then increased by 8 °C/min to 240 °C and finally held constant for 10 min. Helium was used as carrier gas at a constant flow of 2.8 mL/min. For calibration, three different concentrations of target terpenes and terpenoids were each prepared in diethyl ether and added with the same amount of methyl nonanoate (1202 μg) as in the samples. All calibration solutions were then subjected to GC-FID analysis as mentioned in the instrumental setting. The Supporting Information provides details on the linear regressions used for quantitation. (Table S2)
1: Odor-Active Compounds Identified in Aroma Distillates Isolated from Different Hemp Cultivars during AEDA
| retention index on | FD factort1fn4 | ||||||||||
|---|---|---|---|---|---|---|---|---|---|---|---|
| no.t1fn1 | odorantt1fn2 | odor qualityt1fn3 | FFAP | DB-5 | PG071 | PG072 | PG073 | PG074 | PG075.1 | PG076 | ref. |
| 1 | ethyl propanoatet1fn5 | fruity, flue-like | 943 | 712 | 64 | 16 | 64 | 32 | 128 | 32 | ref. ref23 |
| 2 | α-pinene | pine-like | 1003 | 930 | 1024 | 1024 | 1024 | 1024 | 1024 | 1024 | ref. ref12 |
| 3 | methyl 3-methylbutanoatet1fn5 | fruity | 1012 | 764 | 128 | 256 | 1024 | ref. ref23 | |||
| 4 | ethyl 2-methylbutanoate | fruity | 1023 | 847 | 1024 | 256 | 64 | 128 | 1024 | 1024 | ref. ref23 |
| 5 | ethyl 3-methylbutanoate | fruity | 1053 | 851 | 1024 | 1024 | 1024 | 1024 | 1024 | ref. ref23 | |
| 6 | 3-methylbut-2-ene-1-thiol | hemp, beer | 1085 | 816 | 64 | 32 | 16 | 256 | 256 | 1024 | ref. ref9 |
| 7 | β-pinene | terpene-like | 1092 | 978 | 64 | 32 | 64 | 8 | 256 | 1024 | ref. ref12 |
| 8 | myrcene | hop-like | 1151 | 991 | 1024 | 1024 | 1024 | 512 | 1024 | 256 | ref. ref11 |
| 9 | 1,8-cineole (eucalyptol) | eucalyptus-like | 1165 | 1038 | 64 | 256 | 16 | 4 | 16 | 512 | ref. ref12 |
| 10 | limonene | citrus-like | 1190 | 1033 | 256 | 1024 | 16 | 128 | 16 | 512 | ref. ref61 |
| 11 | β-phellandrene | terpene-like | 1234 | 1035 | 16 | 4 | ref. ref12 | ||||
| 12 | unknown | mushroom | 1241 | 1063 | 32 | 4 | |||||
| 13 | 3-methylbutyl 2-methylbutanoatet1fn5 | fruity | 1267 | 1100 | 16 | ref. ref22 | |||||
| 14 | octanal | fruity, citrus-like | 1281 | 941 | 32 | ref. ref20 | |||||
| 15 | 2-acetyl-1-pyrrolinet1fn5 | popcorn-like, | 1322 | 920 | 64 | 32 | 64 | 32 | ref. ref12 | ||
| roasty | |||||||||||
| 16 | 4-methyl-4-sulfanylpentan-2-one | sulfury, exotic | 1370 | 934 | 16 | 1024 | 256 | 64 | 256 | 32 | ref. ref12 |
| 17 | 3-methoxy-2,5-dimethylpyrazinet1fn5 | earthy | 1414 | 1054 | 512 | 256 | 16 | 128 | ref. ref12 | ||
| 18 | acetic acidt1fn5 | vinegar-like | 1442 | 625 | 64 | 32 | 16 | 128 | 8 | 4 | ref. ref20 |
| 19 | 3-(methylsulfanyl)propanal (methional) | cooked potato | 1453 | 899 | 64 | 256 | 16 | 16 | 64 | 64 | ref. ref12 |
| 20 | 3-isobutyl-2-methoxypyrazine | earthy, bell | 1511 | 1179 | 32 | 16 | 128 | ref. ref12 | |||
| pepper-like | |||||||||||
| 21 | linalool | citrus-like, floral | 1539 | 1103 | 256 | 256 | 1024 | 1024 | 256 | 256 | ref. ref12 |
| 22 | octan-1-olt1fn5 | citrus-like, green | 1553 | 1167 | 256 | 64 | 128 | 32 | 32 | ref. ref23 | |
| 23 | β-caryophyllene | moldy | 1578 | 1421 | 256 | 16 | 16 | 128 | 4 | 4 | ref. ref61 |
| 24 | 2-acetylpyrazinet1fn6 | popcorn | 1618 | 1020 | 16 | 128 | ref. ref23 | ||||
| 25 | butanoic acid | sweaty | 1620 | 816 | 256 | 128 | 16 | ref. ref12 | |||
| 26 | α-humulene | hop-like | 1623 | 1457 | 64 | 16 | 16 | 128 | 128 | 1024 | ref. ref61 |
| 27 | 3-methylbutanoic acid | sweaty | 1662 | 857 | 16 | 16 | 64 | 256 | 512 | 64 | ref. ref23 |
| 28 | 2-methylbutanoic acid | sweaty | 1662 | 857 | 16 | 16 | 64 | 256 | 512 | 64 | ref. ref23 |
| 29 | isoborneol | moldy | 1674 | 1167 | 64 | 64 | ref. ref22 | ||||
| 30 | α-terpineol | floral, citrus-like | 1686 | 1194 | 64 | 256 | 256 | 128 | 128 | ref. ref61 | |
| 31 | 3-sulfanylhexyl acetate | passion fruit | 1713 | 1249 | 256 | 32 | 1024 | 1024 | 512 | ref. ref10 | |
| 32 | (2E)-undec-2-enalt1fn5,t1fn7 | soapy, metallic | 1746 | 1384 | 16 | 8 | 16 | 16 | 128 | ||
| 33 | β-citronellol | perfume, rose-like | 1762 | 1233 | 32 | 32 | 4 | 4 | ref. ref62 | ||
| 34 | nerol | rose-like, flowery | 1785 | 1230 | 128 | ref. ref63 | |||||
| 35 | unknown | passion fruit | 1814 | 1056 | 16 | ||||||
| 36 | 3-sulfanylhexan-1-ol | tropical fruit, | 1829 | 1125 | 64 | 16 | 16 | 1024 | 1024 | 64 | ref. ref10 |
| exotic | |||||||||||
| 37 | hexanoic acid | sweaty | 1839 | 1012 | 16 | ref. ref20 | |||||
| 38 | 2-methoxyphenolt1fn7 | smoky | 1854 | 1095 | 32 | ||||||
| 39 | (2E,4E,6Z)-nona-2,4,6-trienalt1fn6 | oatmeal-like, sweet | 1863 | 1277 | 64 | 256 | 32 | ref. ref12 | |||
| 40 | (E)-β-ionone | floral, violet-like | 1931 | 1495 | 32 | 32 | 8 | ref. ref41 | |||
| 41 | trans-4,5-epoxy-(2E)-dec-2-enalt1fn5 | metallic | 2000 | 1378 | 64 | 32 | 16 | 8 | ref. ref12 | ||
| 42 | 4-hydroxy-2,5-dimethylfuran-3(2H)-one (furaneol)t1fn7 | caramel-like | 2031 | 1067 | 2 | 128 | 1024 | 128 | |||
| 43 | 4-methylphenol (p-cresol) | phenolic, smoky | 2080 | 1080 | 256 | 1024 | 32 | 64 | ref. ref23 | ||
| 44 | eugenol (4-allyl-2-methoxyphenol) | clove-like, sweet | 2162 | 1358 | 256 | 32 | 32 | 1024 | 64 | 64 | ref11,ref39 |
| 45 | 3-hydroxy-4,5-dimethylfuran-2(5H)-one (sotolon)t1fn7 | fenugreek-like, | 2179 | 1108 | 2 | 16 | 16 | 512 | 64 | 16 | |
| lovage-like | |||||||||||
| 46 | 2-methoxy-4-vinylphenolt1fn7 | smoky, clove-like | 2194 | 1316 | 256 | 256 | 256 | 32 | 512 | ||
| 47 | methyl anthranilate | sweet | 2237 | 1344 | 64 | 64 | 8 | 256 | 256 | 512 | ref. ref10 |
| 48 | unknown | pepper-like, musty | 2256 | 1720 | 16 | 256 | 128 | ||||
| 49 | unknown | peach-like | 2398 | 1653 | 16 | ||||||
| 50 | indole | mothball-like | 2442 | 1296 | 64 | 64 | 64 | 64 | ref. ref10 | ||
| 51 | 3-methyl-1H-indole (skatole) | mothball-like | 2497 | 1390 | 64 | 64 | 32 | ref. ref10 | |||
| 52 | phenylacetic acidt1fn7 | honey-like, | 2571 | 1266 | 16 | 8 | 128 | 8 | 16 | ||
| beeswax-like | |||||||||||
a Odorants were numbered according to their retention indices on capillary column FFAP.
b Odorant identified by comparison of its odor quality and intensity at the sniffing port and retention indices on capillaries DB-FFAP, DB-5 as well as mass spectra with data of reference compounds.
c Odor quality perceived at the sniffing port.
d Flavor dilution factor determined by AEDA on capillary FFAP.
e No unequivocal mass spectrum was obtained. Identification is based on the remaining criteria in footnote b.
f Compounds were tentatively identified based on comparison with literature data (odor and retention indices).
g Compounds were reported for the first time in Cannabis flowers.
Statistical Analysis
The F-test for differences between cultivars based on terpene quantitation data was carried out at a significance level of α = 0.05. Statistical analysis and data visualization were done with RStudio (version 4.3.3, Posit PBC).
Results and Discussion
This study represents the first application of GC-O in combination with AEDA on dried hemp flowers from different cultivars. The result revealed a total of 52 odor-active compounds (Table ) from various chemical classes as presented in Figure . Although many of the compounds identified in this study have been reported before in other hemp and nonhemp materials,ref9,ref12,ref22,ref23 their occurrence as odor-active constituents in dried hemp flowers was reported here for the first time. The distribution of FD factors of each compound across the different samples is visualized in Principal Component Analysis (Figure ). Beyond terpenes, terpenoids and thiols, compounds such as 2- and 3-methylbutanoic acid, methyl anthranilate, eugenol and 3-hydroxy-4,5-dimethylfuran-2(5H)-one (sotolon) were detected in all cultivars, albeit with varying FD factors. Their occurrence suggests their integral role to the overall odorant profiles of hemp flowers.



Sulfur-Containing Compounds in Dried Hemp Flowers
Sulfur-containing compounds including 3-methylbut-2-ene-1-thiol (3MBT), 4-methyl-4-sulfanylpentan-2-one (4MSP), 3-sulfanylhexyl acetate (3SHA), 3-sulfanylhexan-1-ol (3SH) and 3-(methylsulfanyl)propanal (methional) were detected in all hemp cultivars at different FD factors. Importantly, the presence of 4MSP as odor-active compounds was unequivocally confirmed for the first time by mass spectral data with GC-GC-HRMS in the present study (Table S3). Methional, known with cooked-potato aroma and to be formed by Strecker degradation from the amino acid methionine,ref. ref24 was detected the most in PG072 (FD 256), while other cultivars displayed only moderate intensities (FD 16–64). Its presence was first reported in fresh hemp flowers.ref. ref12
Regarding the other sulfur-containing compounds, 3MBT showed high FD factors of 256 and 1024 in the PG074, PG075.1 and PG076 cultivars. Meanwhile, 4MSP, 3SHA, and 3SH were detected with high FD factors of 256 to 1024 in the PG074, PG075.1 and PG071 cultivars. These sulfur-containing compounds are known for their strong sensory impact on various plant matrices due to their low odor threshold values.ref. ref25 The compound 3MBT is widely recognized for its contribution to the characteristic “lightstruck” off-flavor in beer,ref. ref26 and “skunky” aroma in durian.ref. ref27 Meanwhile, 4MSP, 3SH, and 3SHA are well-known for their significant roles in tropical fruit aromas such as passion fruit (Passiflora edulis f. flavicarpa),ref. ref28 guava (Psidium guajava L.),ref. ref29 and mango (Mangifera indica L.).ref. ref30 These sulfur-containing compounds were also found as odor-active in hops with varied intensities in different cultivars.ref16,ref31 In Sauvignon Blanc wine, these odorants were known to contribute to the distinct tropical fruit nuances,ref. ref32 therefore they could play a similar role in hemp cultivars that exhibit fruity sensory profiles based on the high FD factors. The presence of 4MSP, 3SH and 3SHA in dried hemp flowers may be linked to precursor pathways involving cysteine and glutathione conjugates, a mechanism that has been well-documented in Sauvignon Blanc wine.ref. ref33 This was also confirmed with hops, where the first identification of 4MSP, 3SH and 3SHA has been linked to nonvolatile cysteine and glutathione-bound precursors.ref. ref34 The detection of thiols in dried hemp aligns with previous findings in cannabis rosin extracts,ref9,ref10 in which at least their qualitative presence in cannabis has been confirmed. However, their odor activity and relevance to the overall hemp odor had not been analyzed so far. While their exact biosynthetic origin in hemp remains to be elucidated, the consistent detection of 4MSP, 3SH, 3SHA, and 3MBT with high FD factors (256–1024) across multiple cultivars strongly supports their potential role as contributors to the overall aroma profile of dried hemp flowers.
Esters in Dried Hemp Flowers
The esters identified in dried hemp flowers play a crucial role in shaping the fruity odor sensation, aligning with their well-documented importance in fruits,ref. ref35 hops,ref. ref36 and cannabis.ref. ref10 In this study, AEDAs revealed six odor-active esters, each exhibiting varying FD factors. Among these, ethyl 2-methylbutanoate, ethyl 3-methylbutanoate, and methyl 3-methylbutanoate were found at high FD factors (256–1024), particularly in PG074, PG075.1, PG076, and PG071 cultivars. This aligns with the fruity and citrus descriptors of these cultivars, implying the role of these esters in defining the characteristic fruity notes of hemp materials.ref. ref10
Ethyl propanoate was detected across all cultivars with FD factors ranging from 16 to 256, suggesting its variable but notable contribution. In contrast, 3-methylbutyl 2-methylbutanoate was only present in the PG071 cultivar at an FD factor of 16, indicating a potentially lower olfactory impact compared to other esters. On the other hand, a broader spectrum of esters, including ethyl hexanoate and propyl hexanoate, were detected as abundant volatiles in THC-rich cannabis extractsref. ref10 from cultivars with exotic odor qualities. However, the impact of these esters on the overall odorant profile was not investigated in the before mentioned study.
Methyl Anthranilate
Methyl anthranilate, a nitrogen-containing ester known for its grape-like and floral aroma, was detected at high FD factors (256–512) in PG074 and PG076 cultivars, while its presence in other cultivars was significantly lower (FD factor 8–64). These findings suggest that the contribution of this odor-active constituent to the overall odor perception is cultivar-dependent. This compound has previously been quantitated in THC-rich cannabis extracts,ref. ref10 but its impact in dried hemp flowers remains primarily supported by sensory-guided AEDA analysis rather than absolute quantitation. Originally reported in orange flowers, tuberose, and bergamot leaves,ref. ref37 methyl anthranilate has been identified as a key contributor to fruity and floral notes in jasmine tea aroma,ref. ref38 and strawberries.ref. ref39 In jasmine tea it was reported with an odor activity value (OAV) exceeding 1000, highlighting its strong sensory impact. Its relevance in grapes and grape-derived beverages was also documented over a century ago, and it could be demonstrated that the presence of this compound in grapes is highly cultivar-dependent.ref. ref32 This fact mirrors its cultivar-dependent presence in hemp, further reinforcing the role of genetic variation in its formation and expression. Furthermore, due to its low odor threshold (3 μg/kg in water),ref. ref40 methyl anthranilate can significantly contribute to aroma perception even at moderate concentrations. These findings emphasize the need for sensory-guided approaches in hemp aroma research, as nonterpenoid compounds like methyl anthranilate likely play a more substantial role in defining the olfactory character of specific hemp varieties. Moreover, while other anthranilate derivatives have been reported in rosin extracts,ref. ref10 they were not detected in this study and are also uncommon in other plant- and fruit-derived matrices.ref. ref25
Phenolic Compounds
In this study, 4-methylphenol (p-cresol), eugenol, 2-methoxy-4-vinylphenol (4-vinylguaicol), and 2-methoxyphenol were identified with varying FD factors, suggesting a cultivar-dependent influence on hemp aroma. The detection of eugenol and 4-vinylguaiacol at high FD factors (128–1024) across all cultivars highlights their role in defining the sensory perception of dried hemp flowers. Eugenol, which is widely known for its smoky and clove-like aroma, has been detected in Japanese hemp plant,ref. ref45 and cannabis oil,ref41,ref42 and is part of the aromatic profile of fresh nonhemp cannabis.ref. ref20 As eugenol was not detected in fresh hemp flowers,ref. ref12 its presence in dried samples indicates that postharvest transformations, such as oxidation or enzymatic activity, may enhance its formation. On the other hand, while 4-vinylguaiacol has been previously reported in hops via AEDA,ref. ref43 it has not been detected in hemp materials. This compound is widely recognized in various food matrices, such as beer, for imparting spicy phenolic odor qualities,ref. ref44 and in red wine (Vitis vinifera L. ‘Aragonez’) with spicy attributes.ref. ref45 The detection of 4-vinylguaiacol in this study provides the first evidence of its sensory relevance in hemp matrix, suggesting that drying or curing processes may play a role in its generation.
The detection of 4-methylphenol and 2-methoxyphenol further adds complexity to the odor of dried hemp flowers. Both are recognized for their smoky and phenolic aroma and are widely found in smoked foodsref. ref46 and fermented beverages.ref. ref47 While 4-methylphenol was detected in cannabis smoke before,ref. ref20 2-methoxyphenol was reported for the first time in hemp flowers. Its exclusive presence in PG072 with an FD factor of 32, alongside 4-methylphenol at high intensity based on its high FD factor of 1024, suggests the cultivar-specific aroma contribution of these phenols in hemp.
Indole and Skatole
Indole and skatole (3-methyl-1H-indole) are known for their animalic, and mothball-like odors.ref. ref25 However, they are also used widely in perfumery as flavor enhancers and are abundant in some flowers such as jasmine and orange blossoms.ref. ref48 Indole has been reported as a product of tryptophan degradation during drying and microbial transformation processes.ref. ref49 The detection of indole in this study reinforces the idea that certain postharvest processes, including drying and enzymatic conversions, may enhance its formation in hemp. The study of ice rosin extract suggested that while indole is more common across hemp cultivars, skatole contributes to hemp cultivars with characteristically strong savory descriptions and is typically found in cultivars with intense earthy or musky odor qualities.ref. ref10 However, in contrast to this assumption, skatole was detected in PG071 and PG074 cultivars with FD factors of 32 and 64. These samples were primarily described as fruity, based on their higher FD factors in fruity esters. The co-occurrence of skatole with ethyl 2-methylbutanoate, methyl 3-methylbutanoate, and ethyl propanoate in these cultivars suggests an interplay between fruity and animalic odorants, rather than a direct dominance of skatole over the overall profile. Similarly, indole was detected at FD factors of 32–128, with the highest intensities in PG073 and PG074, suggesting its role in adding floral depth to these cultivars rather than enhancing the fecal and animalic notes. Therefore, their actual impact on the overall hemp odor profiles needs to be further assessed by recombination studies to determine their precise sensory contribution.
Methoxypyrazines
The presence of methoxypyrazines in dried hemp flowers showed a clear cultivar-dependent occurrence. The compound 3-methoxy-2,5-dimethylpyrazine, known for its earthy aroma,ref. ref25 was found across multiple cultivars, namely PG071 (FD 512), PG072 (FD 256), PG074 (FD 128) and PG073 (FD 16), indicating its broad presence in hemp but at varying intensities. This aligns with the study of fresh hemp flowers, in which 3-methoxy-2,5-dimethylpyrazine was first identified.ref. ref12 Meanwhile, 2-isobutyl-3-methoxypyrazine (earthy, bell-pepper like) was previously detected in only one fresh hemp cultivarref. ref12 and is now solely identified in PG074 and PG076 cultivars at moderate FD factors (32–128). Interestingly, methoxypyrazines were not detected in rosin extracts,ref. ref10 which most likely can be linked to the low levels of these compounds in different plant matrices and the analytical approach for its detection. This finding reinforces the cultivar-dependent occurrence of this compound in hemp, which will need further investigation by quantitation and aroma reconstitution experiments. In addition, methoxypyrazines are well-documented for their low odor thresholds, making them potent contributors to aroma perception even at trace levels.ref. ref40 The identification of methoxypyrazines in dried hemp flowers underscores the need for the use of sensory-guided techniques, such as the GC-O, to understand their odor profiles on a molecular level. Moreover, the impact of the methoxypyrazines on the odor properties of the selected hemp cultivars require consolidation with reconstitution experiments based on quantitative results.
Discovery of Odor-Active Furanones in Hemp
The identification of furaneol (4-hydroxy-2,5-dimethylfuran-3(2H)-one) and sotolon (3-hydroxy-4,5-dimethylfuran-2(5H)-one) in dried hemp flowers significantly broadens the known hemp odorant profile, introducing caramel-like and seasoning nuances that have been only partially reported in fresh hempref. ref12 or rosin extracts.ref. ref10 This study provides the first confirmation of Furaneol and sotolon as odor-active compounds in dried hemp flowers, indicating a relatively high impact on the overall odor properties of these compounds in some cultivars based on their FD factors. Furaneol was detected exclusively in PG074, PG075.1 (Figure ) and PG076 cultivars, with FD factors ranging from 128 to 1024, demonstrating a cultivar-dependent expression. The highest FD factor was observed in indoor-cultivated PG075.1 (FD 1024), followed by outdoor-cultivated PG074 (FD 128) and PG076 (FD 128). Furaneol is widely recognized as a key aroma compound in fruits such as strawberriesref50,ref51 and mangoes,ref. ref30 contributing to ripe, cooked fruit, and caramel-like nuances. The formation of Furaneol occurs via both enzymatic and nonenzymatic pathways, primarily through sugar degradation via Maillard reactions and quinone oxidoreductase (FaQR)-mediated enzymatic conversion as in strawberries.ref. ref52 Hence, its exclusive presence in PG074 and PG075.1 and PG076 hemp cultivars further supports the hypothesis that a similar enzymatic mechanism may be active in certain hemp cultivars, subsequently enhancing the fruity-like odor impression of these cultivars. Furaneol was previously identified in hopsref. ref31 with caramel-like aroma characteristics. While both hops and hemp belong to the Cannabaceae family, their furaneol content may differ based on genetic and environmental factors, with drying and enzymatic activity likely contributing to its higher odor impact in selected hemp cultivars. Furthermore, the absence of furaneol in fresh hemp and its presence in dried flowers supports the assumption that drying may enhance its formation.

Similarly, sotolon, which was first detected in fresh hemp flowers,ref. ref12 has now been confirmed in dried hemp samples. Sotolon was found in all dried cannabis cultivars, exhibiting the highest FD factor (FD 512) in PG074. The presence of sotolon in dried hemp might also be linked to its formation via the Maillard reaction. Its previous identification in hopsref. ref31 supports its broader relevance in plant-derived aromatic matrices.
Terpenes and Terpenoid Analysis of Dried Hemp Flowers
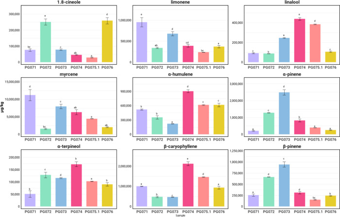
In addition to the previously mentioned odorant classes, terpenes and terpenoidscompounds historically emphasized in cannabis and hemp researchwere also evaluated in this study. All terpenes and terpenoids detected in the present study were identified in other hemp materials,ref12,ref22,ref23 as well as hops.ref. ref43 According to AEDA results, important odor-active terpenes and terpenoids detected with high FD factors across all cultivars included monoterpenes α-pinene (FD 1024), and myrcene (FD 256–1024), as well as the monoterpenoid linalool (FD 256–1024). These compounds had also been reported in prior studiesref41,ref53 as major terpenes in hemp, primarily based on their high concentrations. Our quantitation results (Figure ) confirmed their abundance, with myrcene exceeding 10,000,000 μg/kg, particularly in PG071, PG073, and PG074. Similarly, α-pinene was another dominant terpene across all samples, particularly abundant in PG073 and PG072 cultivars with FD factors of 1024. This finding shows a parallel to hemp seed oils, in which α-pinene was detected as key odor-active terpene.ref. ref54 Regarding linalool, though present in lower concentrations compared to myrcene and α-pinene, it exhibited high FD factors (256–1024) across different cultivars. Such a result highlights a strong odor impact due to the compound’s low odor threshold (3.4 μg/kg in oilref. ref36 and 0.087–2.7 μg/kg in waterref. ref25) an observation consistent with findings in hops, where linalool was shown to have higher odor activity values despite lower concentrations.ref. ref36 These results confirm that the previously reported abundance of these terpenoidsref41,ref53 indeed correlates with their sensory relevance, now supported by high FD factors.
Regarding sesquiterpenes, β-caryophyllene and α-humulene were quantitated at notably lower concentrations in dried flowers than in rosin extracts.ref. ref10 However, they still exhibited high FD factors in specific cultivarsnamely PG071 (FD 256) and PG074 (FD 128) for β-caryophyllene; and PG076 (FD 1024) for α-humulene. This finding demonstrates its cultivar-specific characteristic as well as its strong odor contribution despite lower abundance. The difference of terpene content between materials also suggests how different processing techniques could influence the concentration of odor-active terpenes. This was observed in dried hemp leaves, which showed decreased β-caryophyllene content with increased drying temperature.ref. ref55
Other terpenoids such as limonene and 1,8-cineole, which were typically associated with citrusy and eucalyptus leaf-like odor qualities, varied significantly between cultivars. Limonene was found in higher amounts in PG071, PG072, and PG076 cultivars (FD 256–1024), whereas in the other cultivars, it had FD factors as low as 4–32. Meanwhile, 1,8-cineole was found in PG072, PG075.1, and PG076 cultivars with high FD factors (FD 256–1024), a finding that contrasts with previous assumptions that it degrades significantly during drying.ref. ref55
Interestingly, some terpenes previously highlighted as abundant in hempsuch as terpinolene and ocimeneref. ref56were not detected as odor-active in this AEDA analysis. While they may still be present in the matrix, their absence from the sensory-relevant profile underscores the limitations of relying solely on quantitative data. Although quantitation confirmed the high abundance of several terpenes, the FD factor distribution demonstrated that their sensory impact varied widely between cultivars. This highlights that terpene concentration alone cannot fully explain cultivar aroma. These findings reinforce the importance of applying sensory-guided techniques like GC-O and AEDA, alongside quantitative analysis to better understand the contribution of individual compounds to the overall aroma.
Other Compounds
The current findings also expand the known aroma complexity of dried hemp beyond the previously studied terpenoids and sulfur compounds, confirming the presence of additional odorants that enrich the odor complexity of hemp.
The role of volatile acids in hemp aroma warrants attention. While previous studies linked octanoic and decanoic acids in rosin extracts to cheesy and astringent attributes,ref. ref11 this study identified 2-methylbutanoic acid, 3-methylbutanoic acid, butanoic acid, and acetic acid with consistently high FD factors (FD 128–512) in PG074, PG075.1 and PG076 cultivars. These volatile acids can be found in fruits such as apricots,ref. ref57 strawberries,ref. ref50 and wine,ref. ref33 where they act as important aroma contributors. In wine, they are known to interact with esters and other volatiles to intensify fruity notes.ref. ref58 Therefore, the presence of volatile acids at higher FD factors in hemp cultivars with fruity sensory attributes suggests that these acids may also enhance the fruity perception of these cultivars. Notably, acetic acid was previously identified only in cannabis smokeref. ref20 and was detected in dried hemp flowers for the first time. The absence of acetic acid in fresh flowersref. ref12 and rosin extractsref. ref10 indicates its possible formation via postharvest oxidation or microbial activity.
Finally, the cultivar-dependent occurrence of additional compounds such as (E)-β-ionone, (2E)-undec-2-enal and phenylacetic acid (PAA) further highlights the diversity of the composition of hemp aroma. The two latter compounds were detected for the first time in hemp flowers. (2E)-Undec-2-enal exhibited the highest intensity in the PG076 cultivar (FD 128), whereas its presence in other cultivars was limited to much lower FD factors (FD 8–16). The (2E)-undec-2-enal formation pathway could be linked to lipid oxidation, as previously shown in olive oil.ref. ref59 On the other hand, phenylacetic acid was observed at an FD factor of 128 only in PG074, while other cultivars were observed with lower intensity (FD 8–32). In plants, phenylacetic acid is primarily synthesized from the amino acid phenylalanine.ref. ref60 The detection of phenylacetic acid in dried hemp flowers could derive from a similar mechanism with the oxidation of phenylacetaldehyde that was already present in fresh cannabis.ref. ref12 Lastly, (E)-β-ionone appeared to be more cultivar-dependent than the other two odorants, when it was only found in PG072 and two PG074 and PG075.1 cultivars with modest FD factors of 8 and 32. A similar finding was also observed in hop,ref. ref16 in which (E)-β-ionone was perceived at FD factors of 8 and 16. The occurrence of these additional odorants further differentiates the sensory profiles of specific cultivars from other hemp varieties, highlighting the complexity of hemp’s aroma compounds.
Molecular Composition of the Scent of the Analyzed Hemp Flowers
As a complementary visualization of odor-active compounds distribution across cultivars, Principal Component Analysis (Figure ) was performed based on FD factors obtained through AEDA, highlighting differences in sensory profiles and the molecular compositions between cultivars. The first two principal components (PC1 and PC2) explained 29.4% and 22.9% of the total variance, respectively. PG074 and PG075.1 are grouped together in the lower right quadrant, being associated with fruity and tropical-smelling odorants such as esters, acids, Furaneol, and thiols, reflecting their strawberry-like aroma. PG071 and PG073 were also nearby fruity esters, but PG071 associated more closely with other sweaty-smelling odorants like 3-methylbutanoic acid and butanoic acid. Meanwhile, PG073 aligns more with β-caryophyllene, skatole, and linalool, reflecting earthy, herbal, and slightly sweet characteristics. PG076 clustered separately, driven by citrusy and terpene-like compounds such as β-pinene and α-humulene. PG072 was positioned in the upper left region and associated with compounds like p-cresol, and 2-methoxyphenol, suggesting its turpentine-like and spicy description.
In summary, the present study provides the first comprehensive sensory-guided investigation into the composition of the odor-active compounds of dried hemp flowers, revealing the intricate interplay between terpenes, esters, sulfur compounds, and previously underexplored odorants such as phenolic compounds, volatile acids, and furanones. Through AEDA analysis, 52 odor-active compounds have been identified. There are 38 odorants that had not been reported in dried hemp flowers before and six that were identified in hemp material for the first time. The presence of these new odor-active components further supports the idea that certain odorants may be formed or released during drying and curing. Future research is needed to explore how enzymatic or oxidative pathways contribute to these transformations. The findings of the study underline the importance of the use of sensory-guided techniques such as the GC-O in combination with AEDA as an unequivocal step to understanding odor impressions on a molecular level. To fully understand the contribution of these odor-active odorants, future studies need to be performed with the aim to quantitate these key odorants by stable isotope dilution assays (SIDA) to accurately determine their dose-over-threshold (DoT) values. Furthermore, reconstitution and omission studies will be necessary to assess the precise impact of individual compounds and their synergies in the hemp aroma space. Ultimately, these insights lay the groundwork for breeding strategies aimed at enhancing specific aroma attributes in hemp cultivars. By deepening the knowledge of cannabis secondary metabolism, targeted breeding efforts could optimize the production of desirable odorant compounds, catering to distinct market preferences in food, fragrance, and cannabis-based consumer products.
Supplementary Materials
References
- J. M. McPartland. Cannabis Systematics at the Levels of Family, Genus, and Species. Cannabis Cannabinoid Res., 2018. [DOI | PubMed]
- C. M. Andre, J.-F. Hausman, G. Guerriero. Cannabis Sativa: The Plant of the Thousand and One Molecules. Front. Plant Sci., 2016. [DOI | PubMed]
- A. T. M. F. Ahmed, M. Z. Islam, M. S. Mahmud, M. E. Sarker, M. R. Islam. Hemp as a Potential Raw Material toward a Sustainable World: A Review. Heliyon, 2022. [DOI | PubMed]
- F. Pellati, V. Brighenti, J. Sperlea, L. Marchetti, D. Bertelli, S. Benvenuti. New Methods for the Comprehensive Analysis of Bioactive Compounds in Cannabis Sativa L. (Hemp). Molecules, 2018. [DOI | PubMed]
- U.S. Government Publishing Office Agricultural Improvement Act of 2018; Public Law 115–334; Washington, DC, 2018; pp 435–651. https://faolex.fao.org/docs/pdf/us210397.pdf (accessed 2025–09–04).
- FOPH Products Containing Cannabidiol (CBD) and Other Cannabinoids That Are Not Subject to Narcotics Legislation. Federal Office of Public Health (FOPH): 2024.
- Seddon, T. ; Floodgate, W. Regulating Cannabis, A Global Review and Future Directions; Springer International Publishing: 2020. 10.1007/978-3-030-52927-7.
- J. Plumb, S. Demirel, J. L. Sackett, E. B. Russo, A. R. Wilson-Poe. The Nose Knows: Aroma, but Not THC Mediates the Subjective Effects of Smoked and Vaporized Cannabis Flower. Psychoactives, 2022. [DOI]
- I. W. H. Oswald, M. A. Ojeda, R. J. Pobanz, K. A. Koby, A. J. Buchanan, J. Del Rosso, M. A. Guzman, T. J. Martin. Identification of a New Family of Prenylated Volatile Sulfur Compounds in Cannabis Revealed by Comprehensive Two-Dimensional Gas Chromatography. ACS Omega, 2021. [DOI | PubMed]
- I. W. H. Oswald, T. R. Paryani, M. E. Sosa, M. A. Ojeda, M. R. Altenbernd, J. J. Grandy, N. S. Shafer, K. Ngo, J. R. Peat, B. G. Melshenker, I. Skelly, K. A. Koby, M. F. Z. Page, T. J. Martin. Minor, Nonterpenoid Volatile Compounds Drive the Aroma Differences of Exotic Cannabis. ACS Omega, 2023. [DOI | PubMed]
- T. R. Paryani, M. E. Sosa, M. F. Z. Page, T. J. Martin, M. V. Hearvy, M. A. Ojeda, K. A. Koby, J. J. Grandy, B. G. Melshenker, I. Skelly, I. W. H. Oswald. Nonterpenoid Chemical Diversity of Cannabis Phenotypes Predicts Differentiated Aroma Characteristics. ACS Omega, 2024. [DOI | PubMed]
- Characterisation of the Key-Aroma Compounds among the Volatile Constituents in Different Hemp Strains (Cannabis Sativa L.). In. 16th Weurman Flavour Research Symposium;, 2021
- Mapping the Combinatorial Code of Food Flavors by Means of Molecular Sensory Science Approach. In. Food Flavors: Chemical, Sensory and Technological Properties;, 2011. [DOI]
- The Sensomics Approach: A Useful Tool to Unravel the Genuine Aroma Blueprint of Foods and Aroma Changes during Food Processing. In. Comprehensive Analytical Chemistry;, 2022. [DOI]
- T. K. L. Tran, I. Salvatore, J. Geller, E. Theodoracakis, L. Ullrich, I. Chetschik. Molecular Aroma Composition of Vanilla Beans from Different Origins. J. Agric. Food Chem., 2024. [DOI | PubMed]
- Odor-Active Compounds in German Flavor Hop Varieties. Doctoral dissertation,. 2019
- N. Chiang, M. Dein, T. H. Nguyen, D. M. Trudelle, C.-T. Ho, J. P. Munafo. Characterization of Odorants in a Commercial Culinary Sage (Salvia Officinalis L.) and Several Cultivars. J. Agric. Food Chem., 2024. [DOI | PubMed]
- A. Dunkel, M. Steinhaus, M. Kotthoff, B. Nowak, D. Krautwurst, P. Schieberle, T. Hofmann. Nature’s Chemical Signatures in Human Olfaction: A Foodborne Perspective for Future Biotechnology. Angew. Chem., Int. Ed., 2014. [DOI]
- M. Steinhaus, P. Schieberle. Comparison of the Most Odor-Active Compounds in Fresh and Dried Hop Cones (Humulus Lupulus L. Variety Spalter Select) Based on GC–Olfactometry and Odor Dilution Techniques. J. Agric. Food Chem., 2000. [DOI | PubMed]
- S. Rice, J. A. Koziel. Characterizing the Smell of Marijuana by Odor Impact of Volatile Compounds: An Application of Simultaneous Chemical and Sensory Analysis. PLoS One, 2015. [DOI | PubMed]
- M. Steinhaus, D. Sinuco, J. Polster, C. Osorio, P. Schieberle. Characterization of the Aroma-Active Compounds in Pink Guava (Psidium Guajava, L.) by Application of the Aroma Extract Dilution Analysis. J. Agric. Food Chem., 2008. [DOI | PubMed]
- E. Ovidi, V. Laghezza Masci, A. R. Taddei, J. Torresi, W. Tomassi, M. Iannone, A. Tiezzi, F. Maggi, S. Garzoli. Hemp (Cannabis Sativa L., Kompolti Cv.) and Hop (Humulus Lupulus L., Chinook Cv.) Essential Oil and Hydrolate: HS-GC-MS Chemical Investigation and Apoptotic Activity Evaluation. Pharmaceuticals, 2022. [DOI | PubMed]
- H. Jeong, S. Yoon, S. Min Jo, S. Jun Hong, Y. Ban, H. Park, M. Yeon Youn, E.-C. Shin. Chemosensory of Hemp Seed Oil Extracted with Hemp Seed (Cannabis Sativa L.) Roasted under Various Conditions Using Electronic Sensors and GC–MS/Olfactometry. Food Chem. X, 2024. [DOI | PubMed]
- A. Schonberg, R. Moubacher. The Strecker Degradation of α-Amino Acids. Chem. Rev., 1952. [DOI]
- Kreissl, J. ; Mall, V. ; Steinhaus, P. ; Steinhaus, M. Leibniz-LSB@TUM Odorant Database, Version 1.2; Leibniz Institute for Food Systems Biology at the Technical University of Munich: Freising, Germany, 2022. https://www.leibniz-lsb.de/en/databases/leibniz-lsbtum-odorant-database (accessed 2025–04–20).
- D. De Keukeleire, A. Heyerick, K. Huvaere, L. H. Skibsted, M. L. Andersen. Beer Lightstruck Flavor: The Full Story. Cerevisia, 2008
- J.-X. Li, P. Schieberle, M. Steinhaus. Characterization of the Major Odor-Active Compounds in Thai Durian (Durio Zibethinus L. ‘Monthong’) by Aroma Extract Dilution Analysis and Headspace Gas Chromatography-Olfactometry. J. Agric. Food Chem., 2012. [DOI | PubMed]
- K. H. Engel, R. Tressl. Identification of New Sulfur-Containing Volatiles in Yellow Passionfruit (Passiflora Edulis f. Flavicarpa). J. Agric. Food Chem., 1991. [DOI]
- M. Steinhaus, D. Sinuco, J. Polster, C. Osorio, P. Schieberle. Characterization of the Key Aroma Compounds in Pink Guava (Psidium Guajava L.) by Means of Aroma Re-Engineering Experiments and Omission Tests. J. Agric. Food Chem., 2009. [DOI | PubMed]
- J. P. Munafo, J. Didzbalis, R. J. Schnell, P. Schieberle, M. Steinhaus. Characterization of the Major Aroma-Active Compounds in Mango (Mangifera Indica L.) Cultivars Haden, White Alfonso, Praya Sowoy, Royal Special, and Malindi by Application of a Comparative Aroma Extract Dilution Analysis. J. Agric. Food Chem., 2014. [DOI | PubMed]
- S. D. Neiens, M. Steinhaus. Investigations on the Impact of the Special Flavor Hop Variety Huell Melon on the Odor-Active Compounds in Late Hopped and Dry Hopped Beers. J. Agric. Food Chem., 2019. [DOI | PubMed]
- P. Darriet, T. Tominaga, V. Lavigne, J. Boidron, D. Dubourdieu. Identification of a Powerful Aromatic Component of (Vitis Vinifera) L. Var. Sauvignon Wines: 4-mercapto-4-methylpentan-2-one. Flavour Fragr. J., 1995. [DOI]
- T. Tominaga, C. Peyrot Des Gachons, D. Dubourdieu. A New Type of Flavor Precursors in Vitis v Inifera L. Cv. Sauvignon Blanc: S -Cysteine Conjugates. J. Agric. Food Chem., 1998. [DOI]
- A. Roland, C. Viel, F. Reillon, S. Delpech, P. Boivin, R. Schneider, L. Dagan. First Identification and Quantification of Glutathionylated and Cysteinylated Precursors of 3-mercaptohexan-1-ol and 4-methyl-4-mercaptopentan-2-one in Hops (Humulus Lupulus). Flavour Fragr. J., 2016. [DOI]
- M. A. El Hadi, F.-J. Zhang, F.-F. Wu, C.-H. Zhou, J. Tao. Advances in Fruit Aroma Volatile Research. Molecules, 2013. [DOI | PubMed]
- S. Brendel, T. Hofmann, M. Granvogl. Characterization of Key Aroma Compounds in Pellets of Different Hop Varieties (Humulus Lupulus L.) by Means of the Sensomics Approach. J. Agric. Food Chem., 2019. [DOI | PubMed]
- F. B. Power. THE DETECTION OF METHYL ANTHRANILATE IN FRUIT JUICES.1. J. Am. Chem. Soc., 1921. [DOI]
- C. Zhang, C. Zhou, C. Tian, K. Xu, Z. Lai, Y. Lin, Y. Guo. Volatilomics Analysis of Jasmine Tea during Multiple Rounds of Scenting Processes. Foods, 2023. [DOI | PubMed]
- J. Pillet, A. H. Chambers, C. Barbey, Z. Bao, A. Plotto, J. Bai, M. Schwieterman, T. Johnson, B. Harrison, V. M. Whitaker, T. A. Colquhoun, K. M. Folta. Identification of a Methyltransferase Catalyzing the Final Step of Methyl Anthranilate Synthesis in Cultivated Strawberry. BMC Plant Biol., 2017. [DOI | PubMed]
- Van Gemert, L. J. Oliemans Punter & Partners (Utrecht). Odour Thresholds: Compilations of Odour Threshold Values in Air, Water and Other Media, (2nd enl. and rev. ed.).; Oliemans Punter & Partners: Utrecht, 2011.
- M. M. Radwan, S. Chandra, S. Gul, M. A. ElSohly. Cannabinoids, Phenolics, Terpenes and Alkaloids of Cannabis. Molecules, 2021. [DOI | PubMed]
- Y. Obata, Y. Ishikawa. Studies on the Constituents of Hemp Plant (Cannabis Sativa L.): Part I. Volatile Phenol Fraction. Bull. Agric. Chem. Soc. Jpn., 1960. [DOI]
- S. D. Neiens, M. Steinhaus. Odor-Active Compounds in the Special Flavor Hops Huell Melon and Polaris. J. Agric. Food Chem., 2018. [DOI | PubMed]
- M. Lentz. The Impact of Simple Phenolic Compounds on Beer Aroma and Flavor. Fermentation, 2018. [DOI]
- Q. Sun, M. J. Gates, E. H. Lavin, T. E. Acree, G. L. Sacks. Comparison of Odor-Active Compounds in Grapes and Wines from Vitis Vinifera and Non-Foxy American Grape Species. J. Agric. Food Chem., 2011. [DOI | PubMed]
- V. Varlet, C. Knockaert, C. Prost, T. Serot. Comparison of Odor-Active Volatile Compounds of Fresh and Smoked Salmon. J. Agric. Food Chem., 2006. [DOI | PubMed]
- L. Franitza, M. Granvogl, P. Schieberle. Influence of the Production Process on the Key Aroma Compounds of Rum: From Molasses to the Spirit. J. Agric. Food Chem., 2016. [DOI | PubMed]
- E. Zgarbová, R. Vrzal. Skatole: A Thin Red Line between Its Benefits and Toxicity. Biochimie, 2023. [DOI | PubMed]
- T. Zheng, Q. Zhang, P. Li, X. Wu, Y. Liu, Z. Yang, D. Li, J. Zhang, G. Du. Analysis of Microbial Community, Volatile Flavor Compounds, and Flavor of Cigar Tobacco Leaves From Different Regions. Front. Microbiol., 2022. [DOI | PubMed]
- P. Schieberle, T. Hofmann. Evaluation of the Character Impact Odorants in Fresh Strawberry Juice by Quantitative Measurements and Sensory Studies on Model Mixtures. J. Agric. Food Chem., 1997. [DOI]
- A Search for the Ideal Flavor of Strawberry – Comparison of Consumer Acceptance and Metabolite Patterns in Fragaria × Ananassa Duch.. J. Appl. Bot. Food Qual., 2016. [DOI]
- W. Schwab. Natural 4-Hydroxy-2,5-Dimethyl-3(2H)-Furanone (Furaneol®). Molecules, 2013. [DOI | PubMed]
- J. K. Booth, J. Bohlmann. Terpenes in Cannabis Sativa – From Plant Genome to Humans. Plant Sci., 2019. [DOI | PubMed]
- Y. Bai, N. You, H. Tian, X. Zhao. Characterization of Key Odorants in Hemp Seed Oil Extracted from the Hemp Seeds Roasted Under Various Conditions. Processes, 2025. [DOI]
- A. Kwaśnica, N. Pachura, Á. A. Carbonell-Barrachina, H. Issa-Issa, D. Szumny, A. Figiel, K. Masztalerz, M. Klemens, A. Szumny. Effect of Drying Methods on Chemical and Sensory Properties of Cannabis Sativa Leaves. Molecules, 2023. [DOI | PubMed]
- R. Iseppi, V. Brighenti, M. Licata, A. Lambertini, C. Sabia, P. Messi, F. Pellati, S. Benvenuti. Chemical Characterization and Evaluation of the Antibacterial Activity of Essential Oils from Fibre-Type Cannabis Sativa L. (Hemp). Molecules, 2019. [DOI | PubMed]
- V. Greger, P. Schieberle. Characterization of the Key Aroma Compounds in Apricots (Prunus Armeniaca) by Application of the Molecular Sensory Science Concept. J. Agric. Food Chem., 2007. [DOI | PubMed]
- F. San-Juan, V. Ferreira, J. Cacho, A. Escudero. Quality and Aromatic Sensory Descriptors (Mainly Fresh and Dry Fruit Character) of Spanish Red Wines Can Be Predicted from Their Aroma-Active Chemical Composition. J. Agric. Food Chem., 2011. [DOI | PubMed]
- A. Neugebauer, M. Granvogl, P. Schieberle. Characterization of the Key Odorants in High-Quality Extra Virgin Olive Oils and Certified Off-Flavor Oils to Elucidate Aroma Compounds Causing a Rancid Off-Flavor. J. Agric. Food Chem., 2020. [DOI | PubMed]
- P. Hladík, F. Brunoni, A. Žukauskaitė, M. Zatloukal, J. Bělíček, D. Kopečný, P. Briozzo, N. Ferchaud, O. Novák, A. Pěnčík. Phenylacetic Acid Metabolism in Land Plants: Novel Pathways and Metabolites. J. Exp. Bot., 2024. [DOI]
- A. Kwaśnica, N. Pachura, K. Masztalerz, A. Figiel, A. Zimmer, R. Kupczyński, K. Wujcikowska, A. A. Carbonell-Barrachina, A. Szumny, H. Różański. Volatile Composition and Sensory Properties as Quality Attributes of Fresh and Dried Hemp Flowers (Cannabis Sativa L.). Foods, 2020. [DOI | PubMed]
- L. Milay, P. Berman, A. Shapira, O. Guberman, D. Meiri. Metabolic Profiling of Cannabis Secondary Metabolites for Evaluation of Optimal Postharvest Storage Conditions. Front. Plant Sci., 2020. [DOI | PubMed]
- Hollis, J. S. ; Harper, T. ; Macherone, A. Terpenes Analysis in Cannabis Products by Liquid Injection Using the Agilent Intuvo 9000/5977B GC/MS System. 2020.
