Expanding the therapeutic role of highly purified cannabidiol in monogenic epilepsies: A multicenter real‐world study
Abstract
Objective:
This real‐world, retrospective, multicenter study aims to investigate the effectiveness of highly purified cannabidiol (CBD) in a large cohort of patients with epilepsy of genetic etiology due to an identified monogenic cause. Additionally, we examine the potential relationship between specific genetic subgroups and treatment response.
Methods:
This study was conducted across 27 epilepsy centers and included patients with monogenic epileptic disorders (pathogenic or likely pathogenic variants) who were treated with highly purified CBD for at least 3 months.
Results:
A total of 266 patients (135 females, 50.8%) with monogenic epilepsies were included with a median age at CBD initiation of 12 years (interquartile range [IQR] = 7–19) and a median follow‐up duration of 17 months (IQR = 12–24). Overall, 77 different monogenic epilepsies have been included, with the most common genes being SCN1A (32.3%), TSC2 (13.5%), CDKL5, and MECP2 (4.5% each). The mean seizure reduction at the last follow‐up was 38.6%, with 47.5% of patients achieving ≥50% seizure reduction and 7.4% achieving seizure freedom. The Clinical Global Impression scale indicated improvement in 65.8% of patients. The general linear mixed model revealed that a shorter maximum duration of seizure freedom before CBD initiation and a higher degree of intellectual disability were independently associated with lower CBD effectiveness. Conversely, no significant differences in seizure outcome were observed across different epilepsy syndromes (Lennox–Gastaut syndrome, Dravet syndrome, tuberous sclerosis complex epilepsy, and other developmental and epileptic encephalopathy), between approved indications and off‐label use, or between concomitant clobazam use or not.
Significance:
This study supports CBD as a potential treatment for monogenic epilepsies beyond its licensed indications, demonstrating comparable effectiveness between approved and off‐label use and suggesting genetic subgroups with promising treatment responses.
Article type: Research Article
Keywords: CBD, developmental and epileptic encephalopathy, effectiveness, epilepsy, intellectual disability, Lennox–Gastaut syndrome
Affiliations: Department of Human Neurosciences Sapienza University Rome Italy; Department of Neurology Hospital de Pediatría “Prof. Dr. Juan P. Garrahan” Buenos Aires Argentina; Pediatric Neurology and Psychiatric Unit Fondazione Policlinico Universitario Agostino Gemelli IRCCS Rome Italy; Department of Neurology Mater Misericordiae University Hospital Dublin Ireland; Department of Neurology Beaumont Hospital Dublin Ireland; Department of Neuroscience, Reproductive Sciences, and Odontostomatology Federico II University of Naples Naples Italy; Danish Epilepsy Center Dianalund Denmark; Department of Clinical and Experimental Medicine University of Pisa Pisa Italy; Istituto di Ricovero e Cura a Carattere Scientifico (IRCCS), Istituto Delle Scienze Neurologiche di Bologna Bologna Italy; Brain and Behavioral Sciences Department University of Pavia Pavia Italy; Department of Child Neurology and Psychiatry, Childhood and Adolescence Epilepsy Center Istituto di Ricovero e Cura a Carattere Scientifico (IRCCS), Mondino Foundation Pavia Italy; Child Neuropsychiatry Unit, Department of Woman’s and Child’s Health, Center of Pediatric Epilepsies, Azienda Ospedaliera Universitaria, Sassari University of Sassari Sassari Italy; Child Neurology and Psychiatric Unit, Pediatric Hospital G. Salesi Azienda Ospedaliero‐Universitaria Delle Marche Ancona Italy; Department of Science of Health, School of Medicine University of Catanzaro Catanzaro Italy; Epilepsy Unit, Department of Child Neurology Institut de Recerca Sant Joan de Déu Barcelona Spain; Department of Neuroscience, Mental Health, and Sense Organs, Faculty of Medicine and Psychology Sant’Andrea Hospital Rome Italy; Child Neuropsychiatry Department Itituto Mediterraneo di Eccellenza Pediatrica‐Azienda di Rilievo Nazionale ad Alta Sspecializzazione, Civico Palermo Italy; Epilepsy and Neurogenetics Unit, Vithas La Milagrosa University Hospital Vithas Hospital Group Madrid Spain; Department of Neuropediatrics University Children’s Hospital Zurich Switzerland; Child Neuropsychiatry Unit, member of the European Reference Network for Rare and Complex Epilepsies IRCCS Istituto Giannina Gaslini Genoa Italy; Department of Neurosciences, Rehabilitation, Ophthalmology, Genetics, Maternal and Child Health University of Genoa Genoa Italy; Epilepsy and Clinical Neurophysiology Unit Scientific Institute for Research, Hospitalization and Healthcare, E. Medea Conegliano Italy; Department of Biomedical and Neuromotor Sciences University of Bologna Bologna Italy; Istituto di Ricovero e Cura a Carattere Scientifico “Neuromed” Pozzilli Italy; Department of Pediatrics University of Chieti‐Pescara Chieti Italy; School of Pharmacy and Biomolecular Sciences Royal College of Surgeons in Ireland Dublin Ireland; Research Ireland FutureNeuro Centre Dublin Ireland; University of Southern Denmark Odense Denmark
License: © 2025 The Author(s). Epilepsia published by Wiley Periodicals LLC on behalf of International League Against Epilepsy. CC BY 4.0 This is an open access article under the terms of the http://creativecommons.org/licenses/by/4.0/ License, which permits use, distribution and reproduction in any medium, provided the original work is properly cited.
Article links: DOI: 10.1111/epi.18378 | PubMed: 40126049 | PMC: PMC12291005
Relevance: Relevant: mentioned in keywords or abstract
Full text: PDF (2.5 MB)
Key points
- In a cohort of difficult‐to‐treat monogenic epilepsies, CBD reduced seizures by 38.6%, with 47.5% of patients achieving ≥50% reduction.
- Effectiveness was comparable between approved and off‐label CBD use.
- No differences in seizure outcome were observed across different syndromes, including LGS, TSC‐epilepsy, DS, and other DEEs.
- Shorter prior seizure freedom duration and greater intellectual disability predicted lower CBD response.
- This study’s findings support CBD as a treatment option for diverse monogenic epilepsies beyond previously approved indications.
INTRODUCTION
The management of epilepsy has evolved significantly over the past few decades, with a growing emphasis on personalized epilepsy management tailored to individual patient profiles.ref. epi18378-bib-0001, ref. epi18378-bib-0002 Cannabidiol (CBD), a nonpsychoactive cannabinoid derived from the Cannabis sativa plant, has gained attention in recent years for its potential therapeutic effects in the context of drug‐resistant epilepsy.ref. epi18378-bib-0003 Based on the results of different randomized controlled trials (RCTs), the US Food and Drug Administration and the European Medicine Agency approved highly purified CBD for the treatment of drug‐resistant seizures in two distinct developmental and epileptic encephalopathies (DEEs), namely, Dravet syndrome (DS) and Lennox–Gastaut syndrome (LGS).ref. epi18378-bib-0004, ref. epi18378-bib-0005 Additionally, highly purified CBD has been approved for the treatment of tuberous sclerosis complex (TSC)‐related epilepsy, including the full spectrum of TSC‐associated refractory epilepsy, from DEEs to focal epilepsy.ref. epi18378-bib-0006
Despite the well‐documented efficacy reported in these syndromes, the use of CBD as a treatment for a broader range of monogenic epilepsies remains an area of active investigation. To date, few studies, particularly small case series, have explored the effectiveness of highly purified CBD in monogenic epilepsies other than TSC and DS caused by SCN1A pathogenic variants. These include epilepsies caused by pathogenic variants of CDKL5, SYNGAP1, MECP2, and KCNT1.ref. epi18378-bib-0007, ref. epi18378-bib-0008, ref. epi18378-bib-0009, ref. epi18378-bib-0010, ref. epi18378-bib-0011 Monogenic epilepsies, caused by single‐gene pathogenic variants, are distinct from other epilepsy etiologies due to specific molecular mechanisms that can promote epileptogenesis, including effects on cell migration, neuronal excitability, and synaptic function.ref. epi18378-bib-0012 Detailed information regarding the effectiveness of CBD within this etiological group and according to particular genetic variants can guide personalized treatment strategies and improve patient outcomes. A recent study by Nissenkorn and colleagues investigated the differential effectiveness of perampanel across various monogenic epilepsies. This study reported a high effectiveness of this antiseizure medication (ASM) in patients with monogenic epilepsies, particularly in certain single‐gene etiologies, underscoring the importance of tailoring treatments to specific epilepsy etiologies.ref. epi18378-bib-0013
This real‐world retrospective multicenter study aims to evaluate the effectiveness and safety of highly purified CBD in a large cohort of patients with epilepsy of genetic etiology due to an identified monogenic cause. Additionally, we aim to investigate the potential relationship between specific genetic variants and CBD response.
MATERIALS AND METHODS
Study participants and clinical data collection
This was a multicenter retrospective study conducted across 27 international specialized epilepsy centers for both adults and children, most of which are members of the European Reference Network for Rare and Complex Epilepsies (EpiCARE). The study was approved by the institutional/regional ethical committee (approval number 7671, 0534/2024), and informed consent was obtained from all participants. The study was conducted according to the STROBE (Strengthening the Reporting of Observational Studies in Epidemiology) guidelines.
Patients attending participating centers who were prescribed >99% highly purified CBD (Epidiolex, Jazz Pharmaceuticals, for patients treated in European countries; Convupidiol, Alef Pharma, for patients treated in Argentina) from May 2019 to March 2024 were identified. Inclusion criteria were (1) epilepsy due to a monogenic cause (pathogenic or likely pathogenic variant, classified according to American College of Medical Genetics and Genomics criteria)ref. epi18378-bib-0014 and (2) a minimum follow‐up period of 3 months after initiating CBD.
Data collected included demographics, genetic variants, clinical history, intellectual disability (ID) and its severity according to the treating clinician and/or standardized assessments, seizure and epilepsy types, electroencephalographic (EEG) findings, previous/concomitant ASMs, and baseline seizure frequency (monthly seizure frequency during the 3 months prior to starting CBD). Patients were categorized into specific epilepsy syndromes by their treating epileptologist, with those not diagnosed as LGS, DS, or TSC‐epilepsy classified as “other DEE.”
Outcome measures
Data on seizure frequency, adverse events, and drug discontinuation were obtained from patient seizure diaries and clinical records. CBD effectiveness and safety were assessed at 3, 6, 12, and 24 months after CBD initiation, with follow‐up truncated at 24 months.
Effectiveness outcomes included mean seizure reduction, ≥50% seizure reduction, and seizure freedom at the last follow‐up visit relative to the baseline observation period. Mean seizure reduction at 12 and 24 months (for patients with available follow‐up) relative to the baseline observation period was also considered. Additionally, the occurrence of >25% increase in monthly seizure frequency (seizure worsening) during follow‐up compared with the baseline observation period was evaluated. Safety and tolerability outcomes included CBD retention and the incidence of side effects attributed to CBD by participating physicians.
The Clinical Global Impression (CGI) scale was used retrospectively from patient records and clinical evaluations to assess overall efficacy and tolerability, specifically, the CGI Improvement (CGI‐I) subitem.ref. epi18378-bib-0015 The CGI‐I asks clinicians to evaluate the degree of improvement or worsening at the end of treatment, compared with baseline, using a 7‐point Likert scale ranging from 1 (very much improved) to 7 (very much worsened). In cases with limited information, clinicians were instructed not to assign a CGI score.
Statistical analysis
Descriptive statistical methods and data visualization were used to assess data distribution. All statistical analyses were performed using complete case analysis, and the rate of missing data for each variable is shown in Figure S1 in Appendix S1. Comparisons among categorical variables were performed using the chi‐squared test, whereas comparisons between continuous variables were conducted with either the t‐test or the Mann–Whitney U‐test, depending on whether the distribution was normal or nonnormal, respectively.
To assess the predictors of CBD effectiveness, a general linear mixed model was utilized, incorporating follow‐up as a function of center as a random effect to account for potential heterogeneity between sites. The model included as prespecified fixed effects variables the age at seizure onset and CBD initiation, indication type (approved vs. off‐label), severity of ID, family history of epilepsy, duration of seizure freedom prior to CBD initiation, number of ASMs tried before CBD, clobazam (CLB) use, initial CBD dose, history of generalized paroxysmal fast activities on EEG, and history of tonic seizures.ref. epi18378-bib-0007, ref. epi18378-bib-0016, ref. epi18378-bib-0017, ref. epi18378-bib-0018, ref. epi18378-bib-0019
Additionally, to evaluate the differential effectiveness of CBD across different epilepsy syndromes (TSC‐epilepsy vs. DS vs. LGS vs. other DEE), the same model was employed, incorporating as fixed effects epilepsy syndromes and the variables identified as independently associated with treatment response in the previous model.
Statistical analyses were conducted using R Studio version 4.2.3. Test results with p < .05 were considered statistically significant.
RESULTS
Clinical and genetic features of study population
A total of 266 patients (135 females, 50.8%) with monogenic epilepsies receiving highly purified CBD (228 Epidiolex and 38 Convupidiol) for the treatment of drug‐resistant seizures were included based on the study criteria. The most common causative genes were SCN1A, found in 86 patients (32.3%), TSC2 in 36 patients (13.5%), CDKL5 and MECP2, each found in 12 patients (4.5%), PAFAH1B1 in six patients (2.2%), and STXBP1, PCDH19, and TSC1, each in five patients (1.9%). Overall, 77 different monogenic epilepsies have been included; a detailed list is shown in Figure 1.

The median age at epilepsy onset was 5 months (interquartile range [IQR] = 3–14.5, range = 0–264). Patients were diagnosed by the treating clinicians with DS (86 [32.3%] patients), TSC‐epilepsy (41 [15.4%] patients), LGS (34 [12.8%] patients), progressive myoclonic epilepsy (PME; four [1.5%] patients), and other DEEs (101 [38%] patients). In the “other DEE” group, seven patients were diagnosed with Rett syndrome, four with infantile epileptic spasm syndrome (IESS), three with epilepsy of infancy with migrating focal seizures (EIMFS), and three with DEE with spike–wave activation in sleep (DEE‐SWAS).ref. epi18378-bib-0020, ref. epi18378-bib-0021 Baseline characteristics of the study cohort are fully summarized in Table 1.
TABLE 1: Demographic and clinical characteristics.
| Characteristic | Value |
|---|---|
| Age at epilepsy onset, months, median (IQR) | 5 (3–14.5) |
| Sex, female, n (%) | 135 (50.8) |
| Family history of epilepsy in 1st or 2nd degree relatives, n (%) | 54 (21.5) |
| Intellectual disability, n (%) | |
| No | 8 (3.1) |
| Mild | 19 (7.4) |
| Moderate | 70 (27.1) |
| Severe/profound | 161 (62.4) |
| History of febrile seizures, n (%) | 75 (29.9) |
| History of photosensitivity, n (%) | 24 (9.8) |
| History of spike–slow wave discharges, n (%) | 138 (56.6) |
| History of generalized paroxysmal fast activity, n (%) | 53 (22) |
| Age at CBD prescription, years, median (IQR) | 12 (7–19) |
| Previous history of epilepsy surgery, n (%) | 10 (4.1) |
| History of vagus nerve stimulation, n (%) | |
| No | 201 (82.4) |
| Yes but not active at CBD prescription | 13 (5.3) |
| Yes and active at CBD prescription | 30 (12.3) |
| ASMs tried prior to CBD prescription, n, median (IQR) | 7 (4–9) |
| Seizure types experienced at CBD prescription, n (%) | |
| Tonic seizures | 118 (44.5) |
| Atonic seizures | 32 (12.1) |
| Focal seizures | 102 (38.5) |
| Absence seizures | 66 (24.9) |
| Generalized tonic–clonic seizures | 153 (57.7) |
| Myoclonic seizures | 86 (32.5) |
| Epileptic spasms | 49 (18.5) |
Abbreviations: CBD, cannabidiol; IQR, interquartile range.
ASM data and response to treatment
The median age at the time of CBD initiation was 12 years (IQR = 7–19), with a mean (SD) initial target daily dose of 8.5 mg/kg/day (±4.6) and a median follow‐up duration of 17 months (IQR = 12–24) after CBD initiation.
At the time of CBD initiation, patients were taking a median of 3 ASMs (IQR = 2–4), and 11 were on a ketogenic diet (Figure 2). The median longest period of remission prior to CBD initiation was 7 days (IQR = 0–25), with 57.1% of patients having never experienced >7 days of remission during their epilepsy history. Regarding seizure frequency, 153 (59.8%) patients experienced daily seizures, 58 (22.7%) weekly seizures, 41 (15.4%) monthly seizures, and four (1.5%) less frequent seizures. Among seizure types reported at the time of CBD initiation, the most common was generalized tonic–clonic seizures in 157 (57.7%) patients, followed by tonic seizures in 118 (44.5%; Table 1).

The mean seizure reduction across the study population at the last follow‐up visit was 38.6% (95% confidence interval [CI] = 34.5–42.7). For patients with available 12‐month (174 patients) and 24‐month (80 patients) follow‐up data, the mean seizure reduction was 40.5% (95% CI = 35.6–45.3) and 39.7% (95% CI = 32.7–46.7), respectively. A total of 123 (47.5%) patients achieved ≥50% seizure reduction at the last visit, whereas 56 (21.6%) patients achieved ≥75% reduction, and 19 (7.4%) patients achieved seizure freedom. Conversely, seizure worsening was observed in 15 patients (5.6%) without a clear association with specific genetic etiologies or distinctive demographic, clinical, or treatment characteristics. In particular, no significant differences were found regarding sex, epilepsy syndrome, median duration of seizure remission, age and frequency of seizures at CBD initiation, daily target dose of CBD, or the number of prior ASMs used. Regarding ID severity, it is worth mentioning that 15 of 15 patients experiencing seizure worsening had severe ID, albeit this difference did not reach any statistical significance. See Supplementary Results in Appendix S1 for a detailed list of variants harbored by these patients along with their clinical characteristics.
Regarding the CGI‐I scale, improvement was observed in 150 patients (65.8%), with 21 of these (14%) reported as very much improved, 61 (40.7%) as much improved, and 68 (45.3%) as slightly improved. In contrast, 19 patients (8.3%) were reported to have worsened with CBD treatment, and 59 patients (22.2%) experienced no change in their overall condition (see Supplementary Results in Appendix S1 for a detailed list of variants of patients experiencing worsening based on CGI‐I). Finally, ASM retention at the last follow‐up was seen in 221 (84.4%) patients.
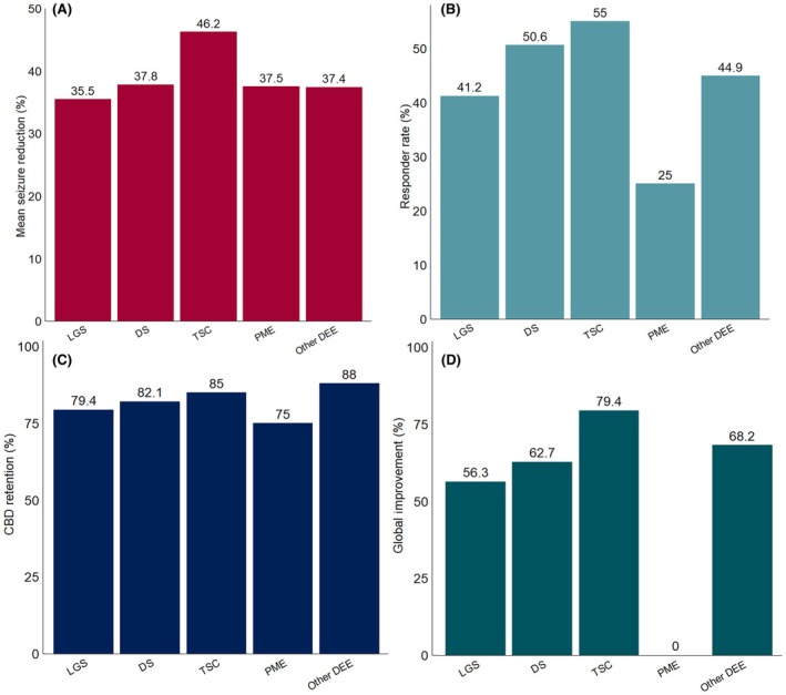
When examining epilepsy syndromes for which CBD was prescribed by the treating physician—specifically LGS, DS, TSC‐epilepsy, and other DEE—no significant differences among groups were observed across mean seizure reduction, ≥50% responder rates, CGI improvement, and CBD retention rate at the last follow‐up (p > .4 for all comparisons). Conversely, CGI‐I improvement was significantly lower in patients with PME compared with other epilepsy syndromes (0% vs. 66.4%, p = .049). Detailed results for each outcome measure stratified by epilepsy syndrome are outlined in Figure 3. Within the “other DEE” group, the mean (SD) seizure reduction and the proportion of patients achieving ≥50% seizure reduction were 37.5% (±32.3) and 50% for IESS, 36.7% (±32.1) and 66.7% for EIMFS, and 53.3% (±5.8) and 100% for DEE‐SWAS, respectively.

When assessing the concordance between ≥50% seizure reduction and CGI‐I improvement from baseline, a moderate agreement was found. Specifically, 96 of 107 (89.7%) patients classified as responders also showed CGI‐I improvement, although CGI‐I improvement was also observed in 51 of 115 (44.3%) patients not considered responders (kappa = .44, p < .001).
Response to treatment according to specific genes
When considering genes with at least five patients treated with CBD, TSC2 and PAFAH1B1 had the highest 50% seizure reduction rates, whereas the highest rate of CGI‐I improvement from baseline was reported in TSC2 and MECP2. A detailed representation of different outcome measures across all genes with at least two patients treated with CBD is presented in Table 2, whereas response to treatment in the entire population according to gene etiology is further detailed in Table S1 in Appendix S1.
TABLE 2: Response to treatment according to gene etiology (including genes with ≥2 pts treated with CBD).
| Gene | Mean seizure reduction, % (SD) | 50% responder rate | CGI improvement |
|---|---|---|---|
| SCN1A (86 pts) | 37.6 (33) | 50.6% | 63.9% |
| TSC2 (36 pts) | 48.4 (38.1) | 55.9% | 83.3% |
| MECP2 (12 pts) | 30.9 (32.1) | 33.3% | 77.8% |
| CDKL5 (12 pts) | 27.1 (33.3) | 33.3% | 63.6% |
| PAFAH1B1 (6 pts) | 45.8 (40.5) | 60% | 60% |
| TSC1 (5 pts) | 21.4 (29.5) | 2/5 | 2/4 |
| STXBP1 (5 pts) | 31 (32.5) | 2/5 | 1/3 |
| PCDH19 (5 pts) | 36.6 (41.6) | 2/5 | 4/5 |
| SCN8A (4 pts) | 20 (40) | 1/4 | 2/4 |
| WWOX (3 pts) | 41.7 (38.2) | 2/3 | 2/3 |
| UGDH (3 pts) | 30 (26.4) | 1/3 | 1/3 |
| SYNGAP1 (3 pts) | 54 (5.6) | 3/3 | 2/3 |
| SCN2A (3 pts) | 36.7 (32.1) | 2/3 | 2/3 |
| NEXMIF (3 pts) | 45.6 (45.1) | 2/3 | 3/3 |
| KCNT1 (3 pts) | 23.3 (20.8) | 0 | 2/3 |
| DEPDC5 (3 pts) | 51.7 (45.4) | 1/3 | 1/3 |
| PURA (2 pts) | 45 (21) | 1/2 | 1/2 |
| PIGA (2 pts) | 64.3 (50.5) | 1/2 | 2/2 |
| PGAP2 (2 pts) | 40 (28.2) | 1/2 | 2/2 |
| NHLRC1 (2 pts) | 25 (7.1) | 0 | 0 |
| MEF2C (2 pts) | 21.5 (30.4) | 0 | 0 |
| KCNQ2 (2 pts) | 37.5 (53) | 1/2 | 1/2 |
| FOXG1 (2 pts) | 89.5 (7.8) | 2/2 | 2/2 |
| DYNC1H1 (2 pts) | 45 (21.2) | 1/2 | 2/2 |
| DNM1 (2 pts) | 0 (0) | 0 | 0 |
| CHD2 (2 pts) | 92.5 (10.6) | 2/2 | 2/2 |
| CACNA1A (2 pts) | 50 (0) | 2/2 | 1/2 |
| ATP1A3 (2 pts) | 10 (14.1) | 0 | 1/2 |
| ACTL6B (2 pts) | 0 (0) | 0 | 0 |
Note: Percentages have been reported only for groups with more than five patients.
Abbreviation: CGI, Clinical Global Impression; pts, patients.
When grouping genes into well‐defined functional categories, a ≥50% seizure reduction was achieved in nine of 18 (50%) non‐SCN1A channelopathies. Specifically, mean seizure reduction (SD) and ≥50% seizure reduction were 50% (±0) and 100% for calcium channel genes (n = 3), 32.5% (±29.3) and 33.3% for potassium channel genes (n = 6), and 33.3% (±35) and 44.4% for non‐SCN1A sodium channel genes (n = 9), respectively. Regarding genes involved in γ‐aminobutyric acid (GABA; n = 3; SLC6A1, GABRA3, GABRG3) and glutamatergic transmission (n = 5; SYNGAP, GRIN1, GRIN2B), mean seizure reduction and ≥50% seizure reduction were 8.3% (±14.4) and 0% for GABA‐related genes (n = 3), and 29.5% (±28.8) and 50% for glutamate receptor genes. Considering non‐TSC genes pertaining to the mTOR pathway (i.e., DEPDC5, NPRL3, SZT2; n = 5), the mean seizure reduction was 45% (±37.7), with ≥50% seizure reduction occurring in 40% of patients. Finally, for genes associated with Rett and Rett‐like syndromes (namely, MECP2, CDKL5, FOXG1, MEF2C; n = 28 patients), the mean seizure reduction was 32.8% (±34.2), and ≥50% seizure reduction was observed in 35.7% of patients.
Predictors of treatment response
When comparing approved and off‐label prescriptions (i.e., LGS, DS, and TSC‐epilepsy vs. others), no significant differences emerged in terms of seizure reduction (label 39.1%, 95% CI = 33.6–44.5 vs. off‐label 37.4%, 95% CI = 31.1–43.6; p = .69), ≥50% responder rate (49.4%, 95% CI = 41.4%–57.3% vs. 44.1%, 95% CI = 34.3–53.9; p = .41), and CGI‐I improvement (65.2%, 95% CI = 57.3–73.2 vs. 66.7%, 95% CI = 56.6–76.8; p = .83).
In the general linear mixed model of seizure reduction using recruiting center as random effect, the only variables independently associated with reduced CBD effectiveness were a shorter maximum duration of seizure freedom in days before CBD initiation (p = .029) and a higher severity of ID compared to normal/borderline intellectual functioning (mild ID, p = .04, moderate/severe ID p = .026). No significant differences were found based on the concomitant prescription of CLB (p = .9), nor based on approved or off‐label prescription (p = .25; see Table S2 in Appendix S1 for full model results).
When specifically examining the effect of epilepsy diagnosis on CBD response after adjusting for ID severity and maximum duration of seizure freedom, no significant differences emerged among the main diagnostic groups (LGS vs. DS vs. TSC vs. other DEE; p = .83), with estimated marginal means remaining similar across groups (Figure S2 in Appendix S1).
Side effects
After the prescription of CBD, side effects during follow‐up were reported in 101 patients (38.5%). Notably, these side effects were transitory in approximately half of the patients. At the last visit, side effects were reported in 58 patients (21.8%), with drowsiness being the most common, observed in 34 patients (12.9%), followed by gastrointestinal side effects in 14 patients (5.3%). For a detailed representation of side effects during follow‐up and at the last visit, please see Figure 4.

DISCUSSION
Whereas previous RCTs have underscored the efficacy of CBD in specific DEEs and monogenic epilepsies, this study systematically evaluates its potential across a broad range of rare monogenic epilepsies. The results of this multicenter, real‐world study indicate that CBD can lead to clinically meaningful seizure reductions in a variety of monogenic epilepsies, including those beyond currently approved indications, with no significant differences observed between approved and off‐label uses.
The mean seizure reduction at the last visit was 38.6%, with responder rates of 47.5%, consistent with previous RCTs in LGS and DS but slightly slower than those reported with TSC.ref. epi18378-bib-0004, ref. epi18378-bib-0005, ref. epi18378-bib-0006 The responder rates observed in the present study should be interpreted in the context of the substantial seizure burden in our cohort. Notably, more than half of the patients had never experienced more than a week of remission before initiating CBD, and daily or multiple daily seizures were common in most cases. This pronounced epilepsy severity was somewhat expected, especially in the “other DEE” group, where off‐label CBD prescriptions were likely used in more refractory cases following repeated failure of approved treatment strategies. Accordingly, when reviewing possible predictors of CBD response, we identified shorter maximum seizure‐free duration before CBD initiation and higher ID levels—both proxies for underlying epilepsy severity—as the primary factors associated with less favorable outcomes.ref. epi18378-bib-0019 Notably, TSC patients exhibited high seizure reduction and overall improvement on the CGI‐I scale, confirming the notable effectiveness of CBD in this group.ref. epi18378-bib-0006, ref. epi18378-bib-0022 However, it is worth noting that TSC cases might include both DEEs and focal epilepsies, with the latter potentially explaining the higher response rate due to lower epilepsy severity. When accounting for this confounding factor, the estimated mean seizure reduction was comparable across TSC and other diagnostic groups, including patients with other DEEs. Additionally, the general linear mixed model did not identify approved versus off‐label indications as significant predictors of seizure reduction, supporting the potential for expanding CBD indications beyond currently approved conditions, aligning with recent evidence from a real‐world study in patients with diverse epilepsy etiologies.ref. epi18378-bib-0023 Similarly, the multivariable analysis failed to identify a differential effectiveness of CBD based on concomitant CLB use, consistent with the same real‐world study by Kühne and colleagues.ref. epi18378-bib-0023
An additional insight from this study derived from the assessment of CBD effectiveness across specific monogenic epilepsies and gene functional groups. Beyond TSC2 and SCN1A patients, who, as expected, demonstrated high seizure reduction rates, other monogenic epilepsies also showed favorable responses. Although based on a small sample of six patients, the favorable effectiveness profile of CBD in individuals with PAFAH1B1 pathogenic variants, typically associated with malformations of cortical development, suggests a potential role for CBD in epilepsies with combined structural and genetic etiologies, similar to its observed effects in TSC. Prior evidence has highlighted the role of neuroinflammation in treatment‐refractory seizures linked to structural lesions, particularly in cortical tubers and focal cortical dysplasia.ref. epi18378-bib-0024, ref. epi18378-bib-0025 Considering the possible impact of CBD on neuroinflammation,ref. epi18378-bib-0026, ref. epi18378-bib-0027 we cannot exclude that this mechanism may partially contribute to its positive therapeutic effects in these epilepsies. Similarly, the anti‐inflammatory properties of CBD may help explain the excellent response observed in patients with DEE‐SWAS, where neuroinflammation has been repeatedly proposed as a contributing factor.ref. epi18378-bib-0028 Although our findings are limited to only three patients, they align with a recent case report by Ferrera et al. and may encourage future studies specifically investigating the potential effectiveness of CBD in this rare DEE.ref. epi18378-bib-0029
The hypothesized antiseizure effects of CBD have been primarily linked to desensitization of TRPV (transient receptor potential vanilloid) and functional antagonism of GPR55 (G protein‐coupled receptor‐55), ultimately stabilizing intracellular Ca2+ levels and modulating neuronal excitability.ref. epi18378-bib-0030, ref. epi18378-bib-0031 Similarly, previous research indicates that CBD may influence calcium currents through interactions with T‐type Ca2+ channels.ref. epi18378-bib-0031 Although this study included only three patients with pathogenic calcium channel variants, all responded to CBD. Although this finding is limited by the small sample size, it may warrant further investigation into potential calcium‐related mechanisms underlying the efficacy of CBD in epilepsy.
Another interesting finding was the varying effectiveness of CBD among patients with gene mutations affecting GABAergic and glutamatergic transmission. Among patients with pathogenic variants in genes related to glutamate signaling, all three cases with SYNGAP1 variants exhibited an optimal seizure response, aligning with recent findings by Kuchenbuch and colleagues and supporting the potential role of CBD in the treatment of this specific DEE.ref. epi18378-bib-0008 Conversely, none of the patients with mutations directly linked to GABAergic transmission (e.g., SLC6A1, GABRA3, GABRG3) responded to CBD, suggesting that genetic disruptions in GABAergic signaling might negatively impact CBD effectiveness.
Importantly, although CBD treatment led to meaningful seizure reduction, the moderate concordance between seizure reduction and CGI‐I scores suggests that CBD may have effects beyond seizure control. Although nearly all patients who responded to CBD were reported to have a global improvement, approximately half of those who did not respond to CBD in terms of seizure control still reported improvement in global clinical status. This may align with recent literature indicating a positive effect of CBD on various nonseizure outcome measures, including cognitive abilities, quality of life, sleep, motor function, and mood.ref. epi18378-bib-0032, ref. epi18378-bib-0033, ref. epi18378-bib-0034 The low concordance between seizure reduction and CGI‐I improvement was particularly evident in patients with MECP2 and CDKL5 disorders, where relatively modest seizure reduction was coupled with high rates of CGI‐I improvement, in line with recent findings highlighting the positive effects of CBD on psychiatric and motor symptoms in patients with Rett syndrome.ref. epi18378-bib-0009 However, given the potential limitations of CGI‐I as a subjective assessment tool, future studies should incorporate additional validated instruments—such as quality‐of‐life scales, neurodevelopmental assessments, and caregiver‐reported outcomes—to comprehensively evaluate the potential impact of CBD beyond seizure frequency.
This study also found that CBD was generally well tolerated, with high retention rates at the last visit. Although side effects were reported in approximately 40% of patients, these were transient in about half of the cases, with drowsiness/sedation and gastrointestinal side effects being the most frequently observed, confirming previous findings.ref. epi18378-bib-0035 Additionally, only a minority of patients (5.6%) experienced seizure worsening, with proportions similar to those highlighted in previous RCTs, supporting the safety of CBD across a broad group of patients with rare genetic epilepsies.
Finally, although this study predominantly included patients with DEEs, it also incorporated four patients with PME attributed to distinct genetic variants. Within this small subgroup, the response to CBD was modest; only one patient achieved a 50% reduction in seizures, and none demonstrated improvements on the CGI‐I scale. These findings suggest that the off‐label application of CBD in this particular patient population may have limited therapeutic value.
Despite the strengths of this study, including a large multicenter cohort with a genetic etiology and the inclusion of patients carrying confirmed pathogenic or likely pathogenic variants, some limitations must be acknowledged. First, its retrospective design inherently introduces potential recall bias and heterogeneity in data collection across multiple centers. Future prospective studies with standardized protocols, including seizure diaries and structured cognitive and behavioral assessments, will be crucial in validating our findings. Additionally, the absence of standardized questionnaires for assessing side effects at different timepoints during treatment duration may have led to their underestimation compared to previous findings from RCTs. Lastly, the small number of patients with individual genetic etiologies limited the ability to evaluate the effectiveness of CBD across specific monogenic epilepsies. In particular, in smaller subgroups with only two or three patients, the observed response rates may be influenced by chance or individual patient characteristics rather than the underlying genetic cause. Given the rarity of many monogenic epilepsies, large‐scale collaborations across international epilepsy centers and multi‐institutional registries with dedicated genetic subgroups are needed to further investigate differential responses to CBD across diverse genetic etiologies.
In conclusion, this study’s findings highlight the potential role of CBD as an effective treatment option for patients with monogenic epilepsies, extending beyond previously approved conditions. Notably, we observed no significant differences in effectiveness between approved and off‐label uses, with promising results in monogenic DEEs beyond LGS, TSC, and DS. The real‐world effectiveness and safety observed in this study provide valuable insight for clinicians treating patients with rare genetic epilepsies, who frequently face limited treatment options and may often need to rely on off‐label therapies. Lastly, preliminary findings from small patient subgroups suggest that certain monogenic epilepsies may respond particularly well to CBD, emphasizing the need for large registries and prospective studies to confirm these results and potentially expand their therapeutic indications.
AUTHOR CONTRIBUTIONS
ECI contributed to drafting a significant portion of the manuscript and figures. ECI, AO, AC, contributed to the concept and design of the study. ECI, AM, RHC, MP, PBM, JPC, MR, KMM, AS, LL, VDG, GRV, SC, EC, FFO, JDC, ARC, AF, GS, AAS, ARu, MMM, GP, ARi, LB, DMC, PB, FB, GDG, SM, PS, ND, CM, DB, CDB, GR, EG, AO, AC significantly contributed to the acquisition and analysis of the data and critically revised the manuscript for intellectual content. GENE‐CBD study group: Significant contribution to data acquisition.
CONFLICT OF INTEREST STATEMENT
E.C.I. reports speaking honoraria from Lusofarmaco, outside the submitted work. P.B.M. has served on an advisory board for Angelini Pharma and has received travel expenses from UCB Pharma, outside the submitted work. J.P.‐C. has served as a speaker and has received travel expenses from Angelini Pharma and LivaNova, outside the submitted work. V.D.G. has served on scientific advisory boards for Longboard Pharmaceuticals, has received research grants from Jazz Pharmaceuticals, and has received speaker and consultancy fees from Jazz Pharmaceuticals, Novartis, Nutricia, Vitaflo, and Dr. Schar Kanso, outside the submitted work. J.D.‐C. has received speaker honoraria from Jazz Pharmaceuticals, outside the submitted work. F.B. has served on scientific advisory boards for Angelini Pharma, UCB, Jazz Pharmaceuticals, Ethypharm, and Eisai and has received speaker honoraria from Angelini Pharma and UCB, outside the submitted work. Her research receives support from the Multidisciplinary Transition Model for Patients With Complex Epilepsy (Trans‐Epic) project, supported by Ricerca Corrente. S.M. has served on scientific advisory boards for Zogenix, UCB, and Ethypharm and has received speaker honoraria for Biocodex, Jazz Pharmaceuticals, Eisai, and UCB, outside the submitted work. N.D. has served as a paid advisor and/or speaker for Actiobio Sciences, Angelini Pharma, Bial, Eisai, Jazz Pharmaceuticals, LivaNova, and UNEEG Medical, outside the submitted work. C.D.B. reports personal fees from UCB Pharma, Eisai, Jazz Pharmaceuticals, Angelini Pharma, Lusofarmaco, and Ecupharma, outside the submitted work. G.R. has served on advisory boards or received speaker honoraria paid to her department from Angelini, Bial, Jazz Pharmaceuticals, Neuraxpharm, Neurocrine, and Takeda, outside the submitted work. Her research receives support from the Swiss National Science (SNSF: 208184) and Anna Mueller Grocholski Foundations. The other authors report no disclosures relevant to this article. We confirm that we have read the Journal’s position on issues involved in ethical publication and affirm that this report is consistent with those guidelines.
Supplementary Materials
References
- New era of personalised epilepsy management.. BMJ., 2020. [DOI | PubMed]
- Monogenic epilepsies: disease mechanisms, clinical phenotypes, and targeted therapies.. Neurology., 2021. [DOI | PubMed]
- Cannabinoids in the treatment of epilepsy: current status and future prospects.. Neuropsychiatr Dis Treat., 2020. [DOI | PubMed]
- Trial of cannabidiol for drug‐resistant seizures in the Dravet syndrome.. N Engl J Med., 2017. [DOI | PubMed]
- Cannabidiol in patients with seizures associated with Lennox‐Gastaut syndrome (GWPCARE4): a randomised, double‐blind, placebo‐controlled phase 3 trial.. Lancet., 2018. [DOI | PubMed]
- Add‐on cannabidiol treatment for drug‐resistant seizures in tuberous sclerosis complex: a placebo‐controlled randomized clinical trial.. JAMA Neurol., 2021. [DOI | PubMed]
- Open‐label use of highly purified CBD (Epidiolex®) in patients with CDKL5 deficiency disorder and Aicardi, Dup15q, and Doose syndromes.. Epilepsy Behav., 2018. [DOI | PubMed]
- Add‐on cannabidiol significantly decreases seizures in 3 patients with SYNGAP1 developmental and epileptic encephalopathy.. Epilepsia Open., 2020. [DOI | PubMed]
- Efficacy and tolerance of cannabidiol in the treatment of epilepsy in patients with Rett syndrome.. Epilepsia Open., 2024. [DOI | PubMed]
- Response to cannabidiol in epilepsy of infancy with migrating focal seizures associated with KCNT1 mutations: an open‐label, prospective, interventional study.. Eur J Paediatr Neurol., 2020. [DOI | PubMed]
- CDKL5‐associated developmental and epileptic encephalopathy: a long‐term, longitudinal electroclinical study of 22 cases.. Epilepsy Res., 2023. [DOI | PubMed]
- Developmental and epileptic encephalopathies: from genetic heterogeneity to phenotypic continuum.. Physiol Rev., 2023. [DOI | PubMed]
- Perampanel as precision therapy in rare genetic epilepsies.. Epilepsia., 2023. [DOI | PubMed]
- Standards and guidelines for the interpretation of sequence variants: a joint consensus recommendation of the American College of Medical Genetics and Genomics and the Association for Molecular Pathology.. Genet Med., 2015. [DOI | PubMed]
- The clinical global impressions scale: applying a research tool in clinical practice.. Psychiatry (Edgmont)., 2007
- Coadministered cannabidiol and clobazam: preclinical evidence for both pharmacodynamic and pharmacokinetic interactions.. Epilepsia., 2019. [DOI | PubMed]
- Predictors of drug‐resistant epilepsy in childhood epilepsy syndromes: a subgroup analysis from a prospective cohort study.. Epilepsia., 2024. [DOI | PubMed]
- The burden of epilepsy on long‐term outcome of genetic developmental and epileptic encephalopathies: a single tertiary center longitudinal retrospective cohort study.. Epilepsy Behav., 2024. [DOI | PubMed]
- Vagus nerve stimulation for treating developmental and epileptic encephalopathy in young children.. Front Neurol., 2023. [DOI | PubMed]
- ILAE classification and definition of epilepsy syndromes with onset in neonates and infants: position statement by the ILAE task force on nosology and definitions.. Epilepsia., 2022. [DOI | PubMed]
- International league against epilepsy classification and definition of epilepsy syndromes with onset in childhood: position paper by the ILAE task force on nosology and definitions.. Epilepsia., 2022. [DOI | PubMed]
- Long‐term cannabidiol treatment for seizures in patients with tuberous sclerosis complex: an open‐label extension trial.. Epilepsia., 2022. [DOI | PubMed]
- Real‐world data on cannabidiol treatment of various epilepsy subtypes: a retrospective, multicenter study.. Epilepsia Open., 2023. [DOI | PubMed]
- Activation of toll‐like receptor, RAGE and HMGB1 signalling in malformations of cortical development.. Brain., 2011. [DOI | PubMed]
- Neuroinflammation in epileptogenesis: from pathophysiology to therapeutic strategies.. Front Immunol., 2023. [DOI | PubMed]
- Effects of orally administered cannabidiol on neuroinflammation and intestinal inflammation in the attenuation of experimental autoimmune encephalomyelitis.. J Neuroimmune Pharmacol., 2022. [DOI | PubMed]
- Cannabidiol and other cannabinoids reduce microglial activation in vitro and in vivo: relevance to Alzheimer’s disease.. Mol Pharmacol., 2011. [DOI | PubMed]
- Serum inflammatory mediators correlate with disease activity in electrical status epilepticus in sleep (ESES) syndrome.. Epilepsia., 2016. [DOI | PubMed]
- Continuous spike‐wave of slow sleep in a patient with KCNB1‐related epilepsy responsive to highly purified cannabidiol: a case report and comparison with literature.. Neurocase., 2024. [DOI | PubMed]
- Pharmacology and drug interactions of cannabinoids.. Epileptic Disord., 2020. [DOI | PubMed]
- The proposed mechanisms of action of CBD in epilepsy.. Epileptic Disord., 2020. [DOI | PubMed]
- Long‐term outcomes and adaptive behavior in adult patients with Lennox‐Gastaut syndrome.. Epilepsia Open., 2024. [DOI | PubMed]
- Highly purified cannabidiol in the treatment of drug‐resistant epilepsies: a real‐life impact on seizure frequency, quality of life, behavior, and sleep patterns from a single Italian center.. Epilepsy Behav., 2023. [DOI | PubMed]
- Cognitive function and adaptive skills after a one‐year trial of cannabidiol (CBD) in a pediatric sample with treatment‐resistant epilepsy.. Epilepsy Behav., 2020. [DOI | PubMed]
- Adverse events of cannabidiol use in patients with epilepsy: a systematic review and meta‐analysis.. JAMA Netw Open., 2023. [DOI | PubMed]
