Underlying factors related to HIV/AIDS prevention: investigating the willingness to take pre-exposure prophylaxis among men-who-have-sex-with-men in Germany
Abstract
Background:
This study investigates the willingness of men-who-have-sex-with-men (MSM) to use HIV pre-exposure prophylaxis (PrEP). Research in the HIV/AIDS field typically relies on clinical and epidemiological studies, thereby often excluding social dimensions of the illness as well as factors explaining its prevention. The current study analyzes HIV-prevention through an interdisciplinary theoretical approach. It aims to comprehensively understand the mechanisms associated with the willingness to take PrEP among MSM in terms of psychological, social, behavioral, cultural, and demographic factors.
Methods:
We analyze data from the survey “Gay Men and AIDS” conducted in Germany in 2013 prior to market approval for PrEP. Analyses were performed using the statistical software SPSS 25.0, while results were visualized using the R programming language.
Results:
We find that perceived risk of infection, social norms (anticipated HIV-stigma), practices (e.g. regular condomless sex), and socio-demographic factors (young age, being single) all have a positive effect on the willingness to take PrEP, while education reveals a negative, and income no effect.
Conclusions:
Results indicate that beyond well-established socio-psychological mechanisms of health behavior, social factors play a crucial role in understanding the willingness of PrEP uptake. This study enriches existing health behavior theories with sociological concepts such as social norms and social practices.
Article type: Research Article
Keywords: HIV pre-exposure prophylaxis, PrEP, HIV prevention technologies, Willingness, Men who have sex with men
Affiliations: grid.14095.390000 0000 9116 4836Freie Universität Berlin (Alumnus), Berlin, Germany; grid.7839.50000 0004 1936 9721Goethe University Frankfurt, Frankfurt am Main, Germany; grid.9647.c0000 0004 7669 9786University of Leipzig, Leipzig, Germany
License: © The Author(s) 2021 CC BY 4.0 Open AccessThis article is licensed under a Creative Commons Attribution 4.0 International License, which permits use, sharing, adaptation, distribution and reproduction in any medium or format, as long as you give appropriate credit to the original author(s) and the source, provide a link to the Creative Commons licence, and indicate if changes were made. The images or other third party material in this article are included in the article’s Creative Commons licence, unless indicated otherwise in a credit line to the material. If material is not included in the article’s Creative Commons licence and your intended use is not permitted by statutory regulation or exceeds the permitted use, you will need to obtain permission directly from the copyright holder. To view a copy of this licence, visit http://creativecommons.org/licenses/by/4.0/. The Creative Commons Public Domain Dedication waiver (http://creativecommons.org/publicdomain/zero/1.0/) applies to the data made available in this article, unless otherwise stated in a credit line to the data.
Article links: DOI: 10.1186/s12981-021-00386-4 | PubMed: 34535178 | PMC: PMC8447767
Relevance: Moderate: mentioned 3+ times in text
Full text: PDF (1.3 MB)
Background
HIV researchers, policymakers, and other stakeholders have targeted 2030 as the year to end the HIV epidemic [ref. 1]. Prevention technologies are expected to play a significant role in this success [ref. 2]. Among strategies that stop new HIV infections, pre-exposure prophylaxis (PrEP) is the most innovative tool [ref. 3]. PrEP is a combination pill of emtricitabine and tenofovir [ref. 4], two drugs also included in the antiretroviral therapy (ART) that suppresses the viral load in HIV-positive people [ref. 5].
North American and European clinical trials demonstrated the efficacy of PrEP: it reduces the risk of HIV infection by 86 to 92% [ref. 6–ref. 8]. The World Health Organization [ref. 9] and the U.S. Centers for Disease Control and Prevention (CDC) recommended the European Union to integrate PrEP into its preventive packages for high-risk subpopulations, prioritizing men who have sex with men (MSM). This group constitutes the majority of people living with HIV in Western countries [ref. 10]. In 2013, for example, MSM represented 42% of the HIV diagnoses in Europe [ref. 6]. The same trend has been observed for Germany [ref. 4, ref. 11, ref. 12]. Although MSM is one of the populations most vulnerable to HIV, social group identity is not considered a proxy for HIV acquisition. The risk of infection is associated with behavior, not sexual orientation, as displayed by the CDC’s 2013 statement that condomless anal intercourse carries the highest risk of HIV acquisition [ref. 13]. While the clinical utility of PrEP is clear, populations most exposed to HIV must be willing to engage in preventions for PrEP to become an effective tool against HIV.
Flowers [ref. 14] identified three phases in the history of the HIV/AIDS epidemic. Each phase was linked to specific risk-reduction strategies: (1) the reduction of risky sexual behavior (1981–1986), (2) the recommendation of wearing a condom for every sexual encounter, and (3) since 1996, the administration of ART to infected people transforming HIV from a progressive illness with a fatal outcome into a manageable chronic disease [ref. 15]. Likewise, this article aims to position PrEP as a further phase in the history of HIV because PrEP has the potential to redraw landscapes of risk during sexual encounters [ref. 5, ref. 16]. In fact, as shown by clinical trials condomless sex is no longer a great HIV risk when coupled with PrEP use [ref. 6, ref. 7].
This study investigates the willingness of MSM to take PrEP by analyzing data from the cross-sectional survey “Gay Men and AIDS” (originally “Schwule Männer und AIDS”) fielded among MSM living in Germany in 2013 before the European Medicines Agency approved PrEP for the market [ref. 8]. In 2016, PrEP became accessible in Germany with a medical prescription, although it was not subsidized by state health insurances. As of September 2019, PrEP and the related checks for sexually transmitted infections (STIs) are covered by statutory health insurances [ref. 17]. The German guidelines recommend PrEP for high-risk MSM reporting condomless anal intercourse in the last three to six months and/or a with curable STI in the last year, and for MSM with a HIV-positive partner not taking ART [ref. 18].
Research in the HIV/AIDS field typically relies on epidemiological and clinical studies, which often exclude social dimensions of the illness [ref. 19, ref. 20]. Studies on motivators for PrEP usage are mostly based on theories of behavioral change [ref. 13] that apply individualistic approaches [ref. 21]. However, with reference to the interplay between agency and structure, social scientists debate the necessity of also analyzing social determinants and cultural dimensions, in which individual behavior is embedded [ref. 13, ref. 22, ref. 23]. For instance, social researchers of HIV/AIDS emphasized the role of networks in shaping sexual norms, assuming a decreased likelihood of condomless intercourse when MSM perceive their peers to be supportive of risk-reduction norms [ref. 24].
Relying on work from diverse fields [ref. 5, ref. 16, ref. 25], this study applies an interdisciplinary approach to comprehensively understand what motivates PrEP uptake in terms of psychological, social, behavioral, cultural and demographic factors. The approach enriches cognitive frameworks, such as the Theory of Planned Behavior [ref. 26–ref. 28] with sociological concepts of social norms and practices to explain the underlying mechanisms influencing the willingness to take PrEP among MSM living in Germany.
Previous research found the acceptability of PrEP among MSM positively associated with risky practices like condomless intercourse [ref. 3, ref. 29] combined with recreational drug use [ref. 4]. Sagaon-Teyssier and colleagues [ref. 30] identified associations between interest in PrEP and age, relationship status, educational level, and subjective high-risk of contracting HIV.
PrEP acceptability and willingness among MSM have been primarily investigated by recruiting participants from identified gay areas in major cities, for instance New York [ref. 31–ref. 33], Chicago [ref. 24], Amsterdam [ref. 34], London [ref. 35] and Berlin [ref. 8]. Despite the availability of extensive data about PrEP adherence and efficacy from European randomized controlled trials [ref. 6, ref. 7] there is limited capacity of quantitative analyses about the relationship between social norms, sexual practices, and risk-reduction strategies such as PrEP [ref. 5, ref. 16, ref. 24]. This study intends to fill those gaps, investigating data from a nationwide survey conducted in Germany and combining individual-level measures with wide socio-cultural constructs [ref. 25, ref. 36, ref. 37].
Towards a multidisciplinary understanding of HIV-prevention
Most studies on motivators for PrEP usage are based on theories on behavioral change derived from social psychology. For instance, the widely applied Health Belief Model [ref. 38] states that individuals’ beliefs about health problems, perceived benefits, barriers to action, and self-efficacy are key in explaining health-related behavior. Likewise, the Theory of Reasoned Action [ref. 39] assumes the best predictor of behavior is intention, which is determined by attitudes and social normative perceptions towards the behavior. The subsequent Theory of Planned Behavior [ref. 26] adds behavioral control as a further mechanism. While these theories provide some background for understanding the motivators of PrEP usage, they are still incomplete. Overall, the role of rationalized individuality is overemphasized in these theories [ref. 13].
This study presents an integrated model of the willingness to take PrEP, which incorporates the different theoretical approaches outlined above. The model explains which determinants affect the willingness to take PrEP among MSM living in Germany and integrates explanations from epidemiological, psychological, and sociological research [ref. 31, ref. 32, ref. 34, ref. 40–ref. 44]. Figure 1 depicts the theoretical model, which focuses on the synergistic effect of four explanatory areas: (I) HIV-vulnerability, (II) social norms, (III) practices, and (IV) social background factors.

Explanatory areas
- HIV-vulnerability. The first key mechanism is the perception that one is at risk to be infected. For instance, the Risk-Reduction Model developed by Catania et al. [ref. 45] focuses on psychological factors that make people perceive their sexual acts as problematic. Identifying their high-risk behaviors, individuals begin to feel vulnerable toward HIV infection. HIV-vulnerability refers to beliefs about exposure [ref. 46, ref. 47]. Perceptions of the risk of infection positively impact the willingness to use anti-HIV strategies [ref. 48]. Previous studies found MSM who perceived themselves more likely to become infected with HIV to be more willing to use PrEP [ref. 3, ref. 32, ref. 34]. Accordingly, we assume that increasing HIV-vulnerability is associated with a greater willingness to take PrEP (hypothesis 1).
- Social norms. Social norms impact the labeling of health problems through disapproval of high-risk activities and encouragement of safe behaviors [ref. 45]. The Reasoned Action Theory [ref. 28] conceptualizes subjective norms as cognitive functions that stem from the perceived social pressure of one’s environment, and/or support from peers. Accordingly, relationships with friends, sexual partners, and family members may strongly influence an individual’s choice to engage in risk-reduction behaviors [ref. 24, ref. 46]. This study addresses the notion of anticipated HIV-stigma, which reflects individuals’ fear of being rejected by others [ref. 49], as well as perception of what peers or family members may think or how they might react if subjects became infected with HIV. The concept thereby refers to the internalization of negative societal attitudes toward HIV-positive people [ref. 50]. Anticipated HIV-stigma has been demonstrated to operate as a concern exacerbated prevalently among those MSM displaying greater risk perceptions of HIV infection [ref. 49]. Thus, we expect that higher anticipation of HIV-stigma is associated with a greater willingness to take PrEP (hypothesis 2).
- Practices. By replacing the term sexual behaviors with that of practices, we emphasize an understanding of human behavior with reference to its social production and cultural patterns [ref. 25]. Sexual practices are influenced by the physical context in which decision-making between partners occurs, i.e. the association between a given environment and the safe or risky sexual practices enacted within it [ref. 51]. Here, the focus is on practices that have been proven to increase the risk of HIV transmission, namely (a) attendance of sex-on-premise venues [ref. 35], (b) e-dating [ref. 52, ref. 53], (c) condomless casual intercourse [ref. 51], and (d) drug use [ref. 54–ref. 56]. Our expectation is that those engaged in riskier practices still want to avoid becoming infected with HIV, and therefore, more likely are willing to take PrEP.
- Social background factors. Cognitive theories of health behavior change posit that non-motivational elements, such as personal and socio-demographic characteristics, contribute to explaining the behavioral choices with regard to HIV prevention [ref. 27, ref. 63]. This study analyses the effects of (a) age, (b) relationship status, (c) educational attainment, and (d) monthly net income.
Methods
Data
The investigation of MSM’s willingness to take PrEP is based on the German-wide online survey “Gay Men and AIDS” [ref. 74]. It was funded by the German Federal Centre for Health Education, and approved by the ethical review board of the Charité University Clinic in Berlin [ref. 11]. Participants were recruited through social networking and dating websites predominantly accessed by MSM [ref. 75].
Compared to personal sampling techniques, online sampling has the advantage of reaching community members who wish to remain anonymous while responding to sensitive questions about their sexual practices and medical background [ref. 76]. Of course, known problems about nonprobability sampling regarding representativeness and cautious generalizability exist for this dataset as well [ref. 77].
An important feature of the survey is that it was completed in 2013 prior to the WHO’s recommendations and the introduction of PrEP into the German healthcare system. This survey also has the advantage that it allows to filter respondents for their knowledge about PrEP explicitly. Thus, we can identify influencing factors for the willingness to take PrEP among MSM in a clear manner, so that the assessment of influencing factors on PrEP willingness is not jeopardized by lack of awareness of, and familiarity with, this medicine.
Variables
The dependent variable was the respondents’ willingness to take PrEP, which was assessed with the following question: “In principle, would you be prepared to take a medication as a preventive measure to reduce the risk of HIV infection?” During the survey, respondents were adequately informed about PrEP (see details in Appendix, Table 1 about information provided). Their answers were recoded into a dichotomous variable (0: ‘No’ and 1:’Yes’).
Table 1: Overview of indicators
| Explanatory area | Indicator | Categories | Original variable | Wording of original variable | ||
|---|---|---|---|---|---|---|
| Info about PrEP | We would like to know your opinion about the so-called PrEP (abbreviation for Pre-Exposure Prophylaxis. PrEP should not be confused with the Post-Exposure Prophylaxis (PEP), which is taken after a risk situation occurred. HIV-negative people can protect themselves effectively against HIV-infection by regularly taking a preventive HIV-medication (PrEP). However, infections can still occur if the medication is not taken daily. In Europe this preventive method with anti-HIV drugs, has not been approved yet | |||||
| Dependent variable | Willingness to take PrEP | 0—No1—Yes | prp5 | In principle, would you be prepared to take a medication as a preventive measure to reduce the risk of HIV-infection? | ||
| I. HIV-vulnerability | Subjective HIV-vulnerability | 0—No risk10—High risk | sxz2 | How high is the risk that you get an infection in the last 12 months? | ||
| II. Social norms | Anticipated HIV-stigma | 1—Very unlikely4—Very likely to occur | psy6 | Which of the following situations could happen to you if you became infected? | ||
| psy6_1 | Friends and acquaintance might think I’ve failed | |||||
| psy6_2 | Friends would reproach me; | |||||
| psy6_3 | My family would be disappointed; | |||||
| psy6_5 | Family and friends would avoid me | |||||
| III. Practices | Attendance of sex-on-premise venue | 1—Never5—Very frequently | sze1 | How often did you visit these places in the last 12 months? | ||
| sze1_4 | Darkroom, sex club, public sex party; | |||||
| sze1_5 | Private sex party; | |||||
| sze1_6 | Sauna and porn-cinema; | |||||
| sze1_7 | Outdoor cruising area | |||||
| Engagement in e-dating | 0—None5—All of them | sze2 | How many sex partners did you meet through mobile apps and the Internet in the last 12 months? | |||
| Condomless intercourse | 1—Always (uses condom)5—Never (uses condom) | sxa11 | How often in the last 12 months you used condom during anal intercourse with casual partners? | |||
| Drug use | 1—None2—Party drugs only3—Viagra only4—Both | sub4 | How often did you use the following substances in the last 12 months? | |||
| sub4_1 | Viagra | |||||
| sub4_2 | Cannabis, Hashish, Marijuana | |||||
| sub4_3 | MDMA, Ecstasy, Mephedrone | |||||
| sub4_4 | Methamphetamine, Crystal meth | |||||
| sub4_5 | Cocaine | |||||
| sub4_6 | Heroin, Opium, Morphine | |||||
| sub4_7 | Ketamine, GHB/GBL | |||||
| IV. Social background | Age | Years | soz2 | Please, provide your birth year | ||
| Relationship status | 0—Not single1—Single | bez1 | Are you currently engaged in a steady relationship? | |||
| Educational attainment | 0—Lower secondary level or below1—Upper secondary level or higher | ses1 | What is your highest professional qualification? Or, if you are still in training, what degree do you aspire to? | |||
| Monthly net household income | 1—Lowest quintile5—Highest quintile | ses5 | What is approximately the monthly net income of your entire household? | |||
Several explanatory variables were included in the analysis (for exact wording of the items see Appendix Table 1).
- Subjective HIV-vulnerability. The survey queried the respondents’ perception of their risk of contracting HIV in the last 12 months on an 11-point scale (0: ‘No risk’ to 10: ‘High risk’).
- Anticipated HIV-stigma. The extent to which participants anticipated negative consequences if they were to seroconvert in the future was measured to quantify the relevance of social norms [ref. 49, ref. 61]. To measure anticipated HIV-stigma we created a mean index from four items on the basis of factor analysis and an internal consistency measure (Cronbach’s alpha = 0.86). The items refer to anticipated negative social consequences in case of an HIV infection (“My family would be disappointed”, “Friends would reproach me”, “Friends and acquaintances might think I’ve failed”, “Family and friends would avoid me”). The index measured anticipated HIV-stigma ranging from 1: ‘Very unlikely’ to 4: ‘Very likely to occur’.
- Practices. Engagement in high-risk practices was operationalized by several variables.
- Social background factors. Individual characteristics of respondents were operationalized by the following variables: age (measured in years), relationship status (0: ‘Not single’ and 1: ‘Single’), educational attainment (0: ‘Lower secondary level or below’ and 1: ‘Upper secondary level or higher’), and monthly net household income measured in quintiles (1: ‘Lowest quintile’ to 5: ‘Highest quintile’). The categorical information on household income was not equivalized for household size, as information on the actual net-equivalized household income was available for a limited number of respondents only. Two robustness checks were conducted: (1) the analysis was repeated using information on the net-equivalized household income with the restricted sample, which did not change the direction of the effect, and (2) a correlation analysis was conducted between the household income categories and the net-equivalized household income (r = 0.8). We can confidently state that using the income categories most likely did not introduce bias into our analyses and substantially increased the sample size.
Description of analysis
A series of logistic regression analyses were used to reveal the effect of the explanatory variables on the willingness to take PrEP. Sets of independent variables (corresponding with the explanatory areas) were individually analyzed to assess their contribution to the model. The final logistic regression analysis is the full model including all of the independent variables. Thus, the paper tests five models. In the first four models presented in the Results section, only variables corresponding to a specific explanatory area are included in the analysis. In the final model, all variables from all of the explanatory areas are included to account for, and the odd ratios (ORs) reported are from the multivariate logistics regression. In none of the models was there indication of multicollinearity among the independent variables. The analyses focus on the explanatory power of the coefficients derived from the logistic regression models, so the ORs are reported (instead of logged odds [ref. 78]). ORs indicate the likelihood of a respondent willing to take PrEP relative to the likelihood of rejecting that notion. While OR values from multiple models cannot be accurately compared in their absolute sense, their level of significance and the general tendency are comparable. Therefore, we depict the ORs on the same figures in the “Results” section [ref. 79].
The statistical software SPSS 25.0 was used to perform all the analyses, while the results were visualized using the R programming language.
Results
After listwise deletion, the sample consisted of 2948 MSM. While 16,734 MSM had initially been recruited for the survey, a large proportion of the initial sample was dropped from the analysis. These were respondents who reported HIV-positive serostatus and so did not answer PrEP-related questions (N = 1437), who stated that they are sexually attracted to women only (N = 26), who stated limited knowledge about PrEP to express their willingness to take it or not (N = 5969), and who refused to answer the question on condom use with casual partners, a key variable of our analysis (N = 6945). A robustness check without the variable condom use was also conducted to acquire a larger sample size (N = 4914). This did not change the main effects of the remaining explanatory variables (see Appendix Fig. 4 for the results when the variable was excluded).

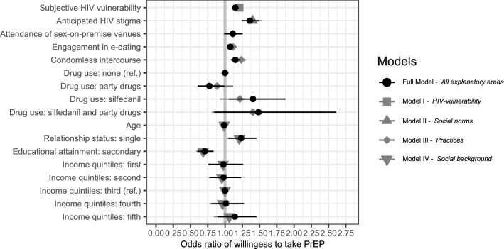
Figure 2 summarizes the ORs. The primary focus is on the full model and its ORs, as this contains information about all of the variables corresponding to the identified explanatory areas.

On average, the odds of a participant’s willingness to use PrEP increase, the higher the risk of becoming HIV-positive is assessed. This supports hypothesis 1. The odds of being willing to take PrEP increased across the sample if respondents felt that they were likely to contract HIV in the previous year (OR: 1.15, CI: 1.10–1.20). This result explains that the probability of willingness to take PrEP was 1.15 times higher for an additional unit of increase in perceived risk of HIV-infection. In other words, with a one-unit increase in the perceived risk of HIV-infection, the odds of being willing to take PrEP increase by 15%.
The second explanatory area is the social norms related to HIV. The findings displayed a significant and positive effect of anticipated HIV-stigma on the outcome (OR: 1.37, CI: 1.24–1.49). More precisely, for each increasing unit in scores of anticipated HIV-stigma within the sample, the willingness to take PrEP rose by 37%, supporting hypothesis 2. This rather strong effect indicates that the role of social norms is essential in understanding individual behavior.
The third explanatory area refers to different practices—primarily involving risky sexual behavior—that contribute to HIV-exposure among MSM. All of the variables associated with this area explain the willingness to take PrEP significantly or somewhat significantly. In line with hypothesis 3a, attending sex-on-premise venues, where contexts like saunas, sex clubs, and dark rooms more likely enable casual sex with one or multiple partners, marginally increased the likelihood that a respondent was willing to take PrEP (OR: 1.11, CI: 0.99–1.25). Engaging in sexual activities through e-dating indicated positive and significant associations with willingness in support of hypothesis 3b: involvement in e-dating increased the willingness to take PrEP by 8% (OR: 1.08, CI: 1.03–1.12).
The frequency of condomless intercourse was also associated with the outcome as expected by hypothesis 3c. The less regularly respondents use condoms during casual anal intercourse, the more likely they are willing to take PrEP (OR: 1.15, CI: 1.09–1.22).
Lastly, a moderate association can be seen between drug use and willingness to take PrEP. The direction of the effects is opposite for party drugs and for sildenafil. While taking club drugs, such as amphetamine, GHB and ketamine, reduces the willingness of an MSM to take PrEP compared to those who refrain from consuming recreational substances (OR: 0.774, CI: 0.61–0.99), willingness increases among respondents who regularly use sildenafil (OR: 1.41,CI: 1.05–1.88). This only partially supports hypothesis 3d. Overall, respondents from the sample who practice risky sexual behaviors exhibit an increased willingness to take PrEP, except for those who regularly take party drugs.
The final set of model variables reflects socio-demographic factors. In support of hypothesis 4a, the age of respondents displayed a significant negative association with willingness of PrEP intake (OR: 0.99, CI: 0.98–0.99) indicating that the odds of being willing decreased by 1% for each additional year of age. Accordingly, a 10-year increase in respondents’ age lowered their willingness to take PrEP by 9.6% [(0.9910) = (0.904–1) • 100 = − 9.6]. In support of hypothesis 4b regarding relationship status, being single increased respondents’ willingness to take PrEP by 23.6% (OR: 1.23, CI: 1.05–1.45) compared to those MSM in a relationship.
The outcome variable was also significantly associated with educational attainment. Respondents who finished secondary school or higher have lower odds of willingness to take PrEP by around 29% (OR: 0.71, CI: 0.60–0.83).
Income is the only characteristic that did now show a significant association with willingness to take PrEP. Although the direction of the correlation is in line with our expectations, hypothesis 4d cannot be supported based on our model. Income does not significantly decrease the willingness to take PrEP for the MSM in our sample.
Discussion
This paper analyzed the willingness to take PrEP among MSM in Germany. The primary goal was to develop a comprehensive understanding of the mechanisms associated with willingness to use PrEP in terms of psychological, social, behavioral, cultural and demographic factors. This approach enriches existing theories of health behavior with sociological concepts such as social norms and social practices in order to explain the underlying mechanisms that influence MSM’s willingness to take PrEP. Four explanatory areas were investigated: perceived risk of infection (HIV-vulnerability), social norms (anticipated HIV-stigma), practices, and demographic factors.
Nearly every explanatory factor yielded significant effects on the willingness to take PrEP. Factors from all explanatory areas were significantly associated with the outcome variable. More importantly, factors from all four explanatory areas remained relevant, even when controlled for with factors from other explanatory areas.
From the explanatory areas, subjective HIV-vulnerability and social norms were most strongly correlated with willingness to use PrEP. Socio-demographic factors proved to be relevant, yet they had an overall weaker effect. The analysis corroborates that increased HIV-vulnerability is correlated with greater willingness to take PrEP (hypothesis 1), as are increased anticipation of HIV stigma (hypothesis 2), attendance of MSM sex-on-premise venues (hypothesis 3a), increased frequency of casual sex partners met on e-dating platforms (hypothesis 3b), more frequent engagement in condomless intercourse (hypothesis 3c), use of club drugs and/or sildenafil (hypothesis 3d in part) and being single (hypothesis 4b). The finding that being single increases the willingness to take PrEP should be interpreted with caution, however, because every non-single respondent is not necessarily in a monogamous relationship; members of open relationships agree to have sexual encounters with partners outside of the relationship [ref. 22]. In contrast, MSM who take party drugs (hypothesis 3d in part) and are older (hypothesis 4a) and have attained at least secondary education or higher (hypothesis 4c) were found to exhibit more reluctance to take PrEP.
Our findings are consistent with results from other studies. The confirmation of hypothesis 1 about risky sexual behavior mirrors previous findings [ref. 32, ref. 33, ref. 48]. In particular, Bauermeister et al. [ref. 48], found that estimates of risk affected the likelihood to use HIV-prevention strategies. Similarly, data surveyed among MSM in Germany in 2016 [ref. 65], and in Berlin between 2017 and 2018 [ref. 29], when PrEP was already accessible through the healthcare system but not yet covered by the insurance (statutory health insurance covers PrEP since 2019 in Germany), also show that the self-perception of having been at-risk of HIV-acquisition among the respondents increase chances of PrEP uptake. The current study confirmed the essential role of social norms in understanding individual behavior, as reported in previous studies [ref. 24, ref. 49], by applying an index for anticipated HIV-stigma to measure the relevance of social norms on the willingness to take PrEP.
Furthermore, the current study also found significant association between different practices that potentially increase HIV-exposure among MSM and their willingness towards PrEP uptake. Consistent with previous research, the increased attendance of MSM sex-on-premise venue means higher willingness to use HIV-prevention strategies [ref. 32, ref. 42, ref. 61], as does more engagement in sexual encounters through e-dating platforms [ref. 57, ref. 58]. Moreover, findings confirmed that the less regularly respondents used condoms during casual anal intercourse, the more willing they were to take PrEP. These results mirror data surveyed in 2018 reporting that since taking PrEP half of the analyzed MSM living in Germany indicated using condom fewer times than before, while 21.3% stopped using condom completely [ref. 17]. This correlation is very meaningful, considering that condomless anal sex increases both the chance of acquiring and transmitting the virus, in particular when subjects ignore their HIV-positive serostatuses [ref. 80].
Results from this study confirmed increased willingness to take PrEP among the younger and less educated MSM, echoing research with related findings [ref. 61, ref. 64]. Findings corroborate Grov et al. [ref. 42], who found MSM with less than a high school degree more interested in taking PrEP because they could be less familiar with its characteristics. In fact, the potential side effects and compelling requirements to begin and adhere to PrEP regimen have been assumed to be aspects that discourage people from taking it [ref. 81].
The online survey “Gay Men and AIDS” is one of the richest and most in-depth secondary data sources available on MSM living in Germany. It provides researchers with wide-ranging additional information about respondents beyond the topic of HIV. However, it is also marked by several drawbacks stemming from its online sampling technique, large number of non-response for some items, the fact that it is a secondary data source, and the time of the field survey. One of the survey’s largest drawbacks is its lack of representativeness, which stems from it being conducted online. The sample underrepresents those from lower income levels, and those with lower education levels. Access to the older population is also challenging for online surveys and this is also reflected in the demography of the current study. Thus, it remains unclear, whether the results can be generalized for the whole population. Furthermore, the online format and the delicate topic at-hand resulted in large number of missing information for several crucial items. In particular, a disproportionally high rate of respondents refused to disclose whether they engage in condomless intercourse, and the analysis lost many valid cases. Overall, however, we deem this only of a minor issue, because through robustness checks we can show that the identified associations are persistent and comparable even when we include all respondents, who refused to disclose their habits about condomless intercourse (see Appendix, Fig. 4). Additionally, the definition of some factors (operationalization), particularly the social background factors, is less than ideal due to the survey being a secondary data source. The authors must also concede that especially the operationalization for age is limited. There are no means to effectively disentangle the cohort and age effects from one another, as the survey is cross-sectional. Should cohort effects be the main drivers of the association we see between age and willingness to take PrEP, as per the argument of Grov and colleagues [ref. 42], we should see a weakening association between age and willingness in studies conducted several years later. An ideal means to disentangle these two effects from each other is the implementation of longitudinal survey on the topic.
Finally, another crucial limitation of the survey is that it was conducted in 2013. This is before PrEP became (legally) accessible in Germany, and before results of high quality trials for administering PrEP was available [ref. 6, ref. 7, ref. 73]. In the light of this, we can expect that the knowledge about PrEP of MSM in Germany has increased in the past years (however, we can only speculate how much the knowledge about PrEP has actually increased, since no repeated time data is accessible to trace the trend in knowledge increase over the past years). From this follows, that had the survey been conducted in later years, more respondents would have reported sufficient knowledge about PrEP and would have ensured the current study with a larger sample size. However, when considering the demography of those with and without sufficient knowledge of PrEP in the survey, data shows that there is very little difference between the two (see Appendix, Tables 3, 4, 5). The temporal validity also plays to the strength of the paper and its findings, since the survey was conducted in Germany only shortly after the Food and Drugs Administration’s approval of PrEP in 2012 for persons at high-risk of HIV-infection in the U.S. Besides, only off-label use of PrEP (purchased through informal sources) was available in Germany at the time the survey was conducted [ref. 82]. Such circumstances ensure a methodological clean research design about how the (future) willingness of the uptake of PrEP depends on (past and current) values, attitudes, and practices. This means that all respondents are largely on equal grounds with their experience with PrEP. Their willingness to take PrEP is not muddled with previous first-hand (or second-hand) experience with PrEP nor their past behavior related to the uptake of PrEP. Likewise, in contrast to actual PrEP uptake, the willingness to take PrEP is neither dependent on external constraints (e.g., costs), nor potential external pressures to take PrEP (e.g., by partners or spouses), but expresses the pure motivation of MSM to use PrEP. Nonetheless, later research based on surveys conducted since PrEP’s rollout in Germany should investigate how circumstances, attitudes, willingness, and behavior to use PrEP have changed since the survey in 2013. For this purpose, the present study may serve as a benchmark for future research.
Table 3: Comparison of descriptive statistics between respondents included in the sample and respondents who have insufficient knowledge of PrEP
| Variable | Sufficient knowledge (included in analysis) | Insufficient knowledge of PrEP | ||||
|---|---|---|---|---|---|---|
| N | Mean/% | SD | N | Mean/% | SD | |
| Subjective HIV-vulnerability | 5950 | 1.36 | 1.66 | 5646 | 1.41 | 1.86 |
| Anticipated HIV-stigma | 5760 | 2.38 | 0.78 | 5426 | 2.37 | 0.84 |
| Attendance of sex-on-premise venue* | 5957 | 1.38 | 0.57 | 5648 | 1.42 | 0.64 |
| Engagement in e-dating | 5953 | 2.36 | 2.04 | 5635 | 2.28 | 2.04 |
| Condomless intercourse* | 3666 | 1.78 | 1.24 | 3372 | 1.99 | 1.38 |
| Drug use | 5830 | 5484 | ||||
| None (ref.) | 83% | – | 82.6% | – | ||
| Use of party drugs only | 9.7% | – | 9.8% | – | ||
| Use of Viagra only | 6.1% | – | 6.1% | – | ||
| Use of both | 1.2% | – | 1.6% | – | ||
| Age | 5961 | 37.3 | 12.95 | 5652 | 37.4 | 12.91 |
| Relationship status* | 5956 | 53% | – | 5645 | 49% | – |
| Educational attainment* | 5904 | 65% | – | 5583 | 63% | – |
| Monthly net household income* | 5503 | 5179 | ||||
| First quintile | 17.2% | – | 16.6% | – | ||
| Second quintile | 21.5% | – | 20.5% | – | ||
| Third quintile (ref.) | 22.4% | – | 21.7% | – | ||
| Fourth quintile | 22.0% | – | 21.8% | – | ||
| Fifth quintile | 16.9% | – | 19.3% | – | ||
*Significant difference detected
Table 4: Detailed reports of significant differences for continuous independent variables in Table 3
| T-test | p-value | |
|---|---|---|
| Attendance of sex-on-premise venue | 3.497 | < 0.001 |
| Condomless intercourse | 6.498 | < 0.001 |
Group A: sufficient knowledge (included in analysis); Group B: insufficient knowledge of PrEP (excluded from analysis)
Table 5: Detailed reports of significant differences for categorical independent variables in Table 3
| Chi-square | p-value | Cramer`s V | |
|---|---|---|---|
| Relationship status | 16.399 | < 0.001 | 0.038 |
| Educational attainment | 5.978 | 0.015 | 0.023 |
| Monthly net household income | 11.185 | 0.025 | 0.032 |
Group A: Sufficient knowledge (included in analysis); Group B: Insufficient knowledge of PrEP (excluded from analysis)
Conclusions
This paper shows that willingness to take PrEP relates to several interpersonal and societal factors. Thus, it is crucial to expand discussions about PrEP beyond the epidemiological and medical dimensions and incorporate social aspects. Furthermore, the paper demonstrates how the Theory of Planned Behavior can be applied to this topic as well and systematically brings various factors together under a unified theoretical framework for the first time. Thus, the mechanisms identified in this study for the willingness to take PrEP can help aid future studies pinpoint the most crucial factors that influence behavior and the actual uptake of PrEP.
Moreover, the findings of the paper have wide-reaching implications. First, identifying several interpersonal and societal factors that influence the willingness to take PrEP means that the success and widespread use of PrEP depends on more than the health care institutions and the medical assistance the health care system can provide to make it available to the MSM community. Much is dependent on individual habits and attitudes, which are embedded in the social environment of potential users beyond. Second, this theoretical impact on the societal dimensions relevant for PrEP, this paper potentially foreshadows developments in the HIV epidemic as PrEP has undoubtedly opened a new chapter in dealing with HIV. However, the current accessibility to PrEP is not widespread globally enough for it to achieve the goal of eradicating HIV by 2030. In fact, although in European and Central Asian countries progress has been made between 2016 and October 2020, with 16 out of 53 countries providing and reimbursing PrEP within their national healthcare system, PrEP implementation across those countries remains fragmented and complex. To accelerate the progress toward the end of the HIV epidemic by 2030 it is important that knowledge about PrEP should be shared between countries [ref. 83]. Thus, the current study can serve well policy makers involved in public health interventions and medical practitioners active in countries falling a few steps behind the German policy developments. Furthermore, the study has considered aspects that go beyond the individual risk-taking represented by condomless sex, and has identified important characteristics of MSM. Such knowledge supports medical practitioners not only to identify potential PrEP-users, but also those MSM more apprehensive about using PrEP. And the study’s findings can also support the development of further HIV-prevention strategies. Thus, results from this study can support community-based organizations and groups to advocate for PrEP in countries where its implementation has not yet occurred.

Table 2: Descriptive statistics (N = 2948, after listwise deletion)
| Variable | Mean/percentage | SDa |
|---|---|---|
| Willingness to take PrEP | 51% | – |
| Subjective HIV-vulnerability | 1.99 | 2.08 |
| Anticipated HIV-stigma | 2.39 | 0.83 |
| Attendance of sex-on-premise venue | 1.58 | 0.71 |
| Engagement in e-dating | 2.96 | 1.82 |
| Condomless intercourse | 2.00 | 1.38 |
| Drug use | ||
| None (ref.) | 79% | – |
| Use of party drugs only | 11% | – |
| Use of Viagra only | 8% | – |
| Use of both | 2% | – |
| Age | 37.14 | 12.49 |
| Relationship status | 56% | – |
| Educational attainment | 63% | – |
| Monthly net household income | ||
| First quintile | 15% | – |
| Second quintile | 21% | – |
| Third quintile (ref.) | 23% | – |
| Fourth quintile | 22% | – |
| Fifth quintile | 19% | – |
aIf applicable
References
- 1.UNAIDS. 90-90-90: An ambitious treatment target to help end the AIDS epidemic. Geneva, Switzerland: UNAIDS; 2014.
- K Koester, RK Amico, H Gilmore, A Liu, V McMahan, K Mayer. Risk, safety and sex among male PrEP users: time for a new understanding. Cult Health Sex, 2017. [DOI | PubMed]
- M Holt, DA Murphy, D Callander, J Ellard, M Rosengarten, SC Kippax. Willingness to use HIV pre-exposure prophylaxis and the likelihood of decreased condom use are both associated with unprotected anal intercourse and the perceived likelihood of becoming HIV positive among Australian gay and bisexual men. Sex Transm Infect, 2012. [DOI | PubMed]
- CD Spinner, C Boesecke, A Zink, H Jessen, H-J Stellbrink, JK Rockstroh. HIV pre-exposure prophylaxis (PrEP): a review of current knowledge of oral systemic HIV PrEP in humans. Infection, 2016. [DOI | PubMed]
- P Keogh, C Dodds. Pharmaceutical HIV prevention technologies in the UK: six domains for social science research. AIDS Care, 2015. [DOI | PubMed]
- G Cairns, S McCormack, J-M Molina. The European preexposure prophylaxis revolution. Curr Opin HIV AIDS, 2016. [DOI | PubMed]
- J-M Molina, C Capitant, B Spire, G Pialoux, L Cotte, I Charreau. On-demand preexposure prophylaxis in men at high risk for HIV-1 infection. N Engl J Med, 2015. [DOI | PubMed]
- C Grov, N Kumar. HIV pre-exposure prophylaxis (prep) is coming to Europe, but are gay men ready to accept it? Qualitative findings from Berlin, Germany. Sex Res Soc Policy, 2018. [DOI]
- 9.World Health OrganizationGuideline on when to start antiretroviral therapy and on pre-exposure prophylaxis for HIV2015GenevaWorld Health Organization
- KH Mayer, MJ Mimiaga. Past as prologue: the refractory and evolving HIV epidemic among men who have sex with men. Clin Infect Dis, 2011. [DOI | PubMed]
- SC Kramer, J Drewes, M Kruspe, U Marcus. Factors associated with sexual risk behaviors with non-steady partners and lack of recent HIV testing among German men who have sex with men in steady relationships: results from a cross-sectional internet survey. BMC Public Health, 2015. [DOI | PubMed]
- K Pöge, G Dennert, U Koppe, A Güldenring, EB Matthigack, A Rommel. The health of lesbian, gay, bisexual, transgender and intersex people, 2020
- C Watkins-Hayes. Intersectionality and the sociology of HIV/AIDS: past, present, and future research directions. Annu Rev Sociol, 2014. [DOI]
- P Flowers. Gay men and HIV/AIDS risk management. Health, 2001. [DOI]
- G Maartens, C Celum, SR Lewin. HIV infection: epidemiology, pathogenesis, treatment, and prevention. Lancet, 2014. [DOI | PubMed]
- K Race. Reluctant objects. GLQ, 2016. [DOI]
- U Koppe, U Marcus, S Albrecht, K Jansen, H Jessen, B Gunsenheimer-Bartmeyer. Factors associated with the informal use of HIV pre-exposure prophylaxis in Germany: a cross-sectional study. J Int AIDS Soc, 2019. [DOI | PubMed]
- S Nagel. Kommentar zur AWMF-S2k-Leitlinie von 2018 zur Prä-Expositions-Prophylaxe der HIV-Infektion (PrEP). Z Sex Forsch, 2019. [DOI]
- 19.Freund PES, McGuire MB, Podhurst LS. Chapter 1. A sociological perspective on health, Illness, and the body. In: Freund PES, McGuire MB, Podhurst LS, editors. Health, illness, and the social body: a critical sociology. 4th edn. / Peter E.S. Freund, Meredith B. McGuire, Linda S. Podhurst. Upper Saddle River, N.J.: Prentice Hall; 2003. p. 1–9. https://digitalcommons.trinity.edu/mono/6/.
- E Mykhalovskiy, M Rosengarten. HIV/AIDS in its third decade: renewed critique in social and cultural analysis—an introduction. Soc Theory Health, 2009. [DOI]
- IM Rosenstock, VJ Strecher, MH Becker. Social learning theory and the health belief model. Health Educ Q, 1988. [DOI | PubMed]
- S Kippax, J Noble, G Prestage, JM Crawford, D Campbell, D Baxter. Sexual negotiation in the AIDS era: negotiated safety revisited. AIDS, 1997. [DOI | PubMed]
- BG Link. Epidemiological sociology and the social shaping of population health. J Health Soc Behav, 2008. [DOI | PubMed]
- ML McKechnie, BR Bavinton, IB Zablotska. Understanding of norms regarding sexual practices among gay men: literature review. AIDS Behav, 2013. [DOI | PubMed]
- JD Auerbach, JO Parkhurst, CF Cáceres. Addressing social drivers of HIV/AIDS for the long-term response: conceptual and methodological considerations. Glob Public Health, 2011. [DOI | PubMed]
- I Ajzen. The theory of planned behavior. Organ Behav Hum Decis Process, 1991. [DOI]
- I Ajzen, M Fishbein. Attitudes and the attitude-behavior relation: reasoned and automatic processes. Eur Rev Soc Psychol, 2000. [DOI]
- I Ajzen, M Fishbein. The influence of attitudes on behaviour. The handbook of attitudes, 2005
- RN Werner, M Gaskins, A Nast, C Dressler. Incidence of sexually transmitted infections in men who have sex with men and who are at substantial risk of HIV infection—a meta-analysis of data from trials and observational studies of HIV pre-exposure prophylaxis. PLoS ONE, 2018. [DOI | PubMed]
- L Sagaon-Teyssier, X Mabire, V Laguette, L Fressard, M Suzan-Monti, D Rojas Castro. A group-based trajectory model for changes in pre-exposure prophylaxis and condom use among men who have sex with men participating in the ANRS IPERGAY Trial. AIDS Patient Care STDS, 2018. [DOI]
- KE Gamarel, SA Golub. Intimacy motivations and pre-exposure prophylaxis (PrEP) adoption intentions among HIV-negative men who have sex with men (MSM) in romantic relationships. Ann Behav Med, 2015. [DOI | PubMed]
- SA Golub, W Kowalczyk, CL Weinberger, JT Parsons. Preexposure prophylaxis and predicted condom use among high-risk men who have sex with men. J Acquir Immune Defic Syndr, 2010. [DOI | PubMed]
- SA Golub, KE Gamarel, HJ Rendina, A Surace, CL Lelutiu-Weinberger. From efficacy to effectiveness: facilitators and barriers to PrEP acceptability and motivations for adherence among MSM and transgender women in New York City. AIDS Patient Care STDS, 2013. [DOI | PubMed]
- JP Bil, U Davidovich, WM van der Veldt, M Prins, HJC de Vries, GJB Sonder. What do Dutch MSM think of preexposure prophylaxis to prevent HIV-infection? A cross-sectional study. AIDS, 2015. [DOI | PubMed]
- A Aghaizu, D Mercey, A Copas, AM Johnson, G Hart, A Nardone. Who would use PrEP? Factors associated with intention to use among MSM in London: a community survey. Sex Transm Infect, 2013. [DOI | PubMed]
- P Keogh. Morality, responsibility and risk: negative gay men’s perceived proximity to HIV. AIDS Care, 2008. [DOI | PubMed]
- S Kippax. A journey to HIV prevention research: from social psychology to social health via multidisciplinarity. J Health Psychol, 2018. [DOI | PubMed]
- MH Becker. The health belief model and sick role behaviour. Health Educ Behav, 1974
- M Fishbein, I Ajzen. Belief, attitude, intention and behavior: an introduction to theory and research, 1975
- RA Brooks, RL Kaplan, E Lieber, RJ Landovitz, S-J Lee, AA Leibowitz. Motivators, concerns, and barriers to adoption of preexposure prophylaxis for HIV prevention among gay and bisexual men in HIV-serodiscordant male relationships. AIDS Care, 2011. [DOI | PubMed]
- SA Golub, TJ Starks, G Payton, JT Parsons. The critical role of intimacy in the sexual risk behaviors of gay and bisexual men. AIDS Behav, 2012. [DOI | PubMed]
- C Grov, THF Whitfield, HJ Rendina, A Ventuneac, JT Parsons. Willingness to take prep and potential for risk compensation among highly sexually active gay and bisexual men. AIDS Behav, 2015. [DOI | PubMed]
- M Holt, DA Murphy, D Callander, J Ellard, M Rosengarten, SC Kippax. HIV-negative and HIV-positive gay men’s attitudes to medicines, HIV treatments and antiretroviral-based prevention. AIDS Behav, 2013. [DOI | PubMed]
- B Mustanski, AK Johnson, R Garofalo, D Ryan, M Birkett. Perceived likelihood of using HIV pre-exposure prophylaxis medications among young men who have sex with men. AIDS Behav, 2013. [DOI | PubMed]
- JA Catania, SM Kegeles, TJ Coates. Towards an understanding of risk behavior: an AIDS risk reduction model (ARRM). Health Educ Q, 1990. [DOI | PubMed]
- SD Cochran, VM Mays, J Clarletta, C Caruso, D Mallon. Efficacy of the theory of reasoned action in predicting AIDS-related sexual risk reduction among gay men. J Appl Soc Psychol, 1992. [DOI]
- M Fishbein, DK-S Chan, K O’Reilly, D Schnell, R Wood, C Beeker. Factors influencing gay men’s attitudes, subjective norms, and intentions with respect to performing sexual behaviors. J Appl Soc Psychol, 1993. [DOI]
- JA Bauermeister, A Carballo-Diéguez, A Ventuneac, C Dolezal. Assessing motivations to engage in intentional condomless anal intercourse in HIV risk contexts (“Bareback Sex”) among men who have sex with men. AIDS Educ Prev, 2009. [DOI | PubMed]
- TJ Starks, HJ Rendina, AS Breslow, JT Parsons, SA Golub. The psychological cost of anticipating HIV stigma for HIV-negative gay and bisexual men. AIDS Behav, 2013. [DOI | PubMed]
- E Wulfert, CK Wan, CA Backus. Gay men’s safer sex behavior: an integration of three models. J Behav Med, 1996. [DOI | PubMed]
- JA Pollock, PN Halkitis. Environmental factors in relation to unprotected sexual behavior among gay, bisexual, and other MSM. AIDS Educ Prev, 2009. [DOI | PubMed]
- S Hirshfield, RH Remien, M Humberstone, I Walavalkar, MA Chiasson. Substance use and high-risk sex among men who have sex with men: a national online study in the USA. AIDS Care, 2004. [DOI | PubMed]
- BC Kelly, RM Carpiano, A Easterbrook, JT Parsons. Sex and the community: the implications of neighbourhoods and social networks for sexual risk behaviours among urban gay men. Sociol Health Illn, 2012. [DOI | PubMed]
- A Ghaziani, TD Cook. Reducing HIV infections at circuit parties: from description to explanation and principles of intervention design. J Int Assoc Phys AIDS Care (Chic), 2005. [DOI]
- AI Green. “Chem friendly”: the institutional basis of “club-drug” use in a sample of urban gay men. Deviant Behav, 2003. [DOI]
- JE Nanín, JT Parsons. Club drug use and risky sex among gay and bisexual men in New York City. J Gay Lesbian Ment Health, 2006. [DOI]
- YA Amirkhanian. Social networks, sexual networks and HIV risk in men who have sex with men. Curr HIV/AIDS Rep, 2014. [DOI | PubMed]
- J Elford, G Bolding, M Davis, L Sherr, G Hart. Trends in sexual behaviour among London homosexual men 1998–2003: implications for HIV prevention and sexual health promotion. Sex Transm Infect, 2004. [DOI | PubMed]
- J Elford, G Bolding, L Sherr. High-risk sexual behaviour increases among London gay men between 1998 and 2001: what is the role of HIV optimism?. AIDS, 2002. [DOI | PubMed]
- BD Adam. Constructing the neoliberal sexual actor: responsibility and care of the self in the discourse of barebackers. Cult Health Sex, 2005. [DOI | PubMed]
- HJ Rendina, THF Whitfield, C Grov, TJ Starks, JT Parsons. Distinguishing hypothetical willingness from behavioral intentions to initiate HIV pre-exposure prophylaxis (PrEP): findings from a large cohort of gay and bisexual men in the US. Soc Sci Med, 2017. [DOI | PubMed]
- MJ Mimiaga, P Case, CV Johnson, SA Safren, KH Mayer. Preexposure antiretroviral prophylaxis attitudes in high-risk Boston area men who report having sex with men: limited knowledge and experience but potential for increased utilization after education. J Acquir Immune Defic Syndr, 2009. [DOI | PubMed]
- J Reinecke, P Schmidt, I Ajzen. Application of the theory of planned behavior to adolescents’ condom use: a panel study. J Appl Soc Psychol, 1996. [DOI]
- M Annequin, V Villes, RM Delabre, T Alain, S Morel, D Michels. Are PrEP services in France reaching all those exposed to HIV who want to take PrEP?: MSM respondents who are eligible but not using PrEP (EMIS 2017). AIDS Care, 2020. [DOI | PubMed]
- CD Spinner, N Hanhoff, I Krznaric, G Knecht, T Kuemmerle, R Ruesenberg. 2016 PREP attitudes in Germany: high awareness and acceptance in MSM at risk of HIV. Infection, 2018. [DOI | PubMed]
- BE Hoots, T Finlayson, L Nerlander, G Paz-Bailey. Willingness to take, use of, and indications for pre-exposure prophylaxis among men who have sex with men-20 US cities, 2014. Clin Infect Dis, 2016. [DOI | PubMed]
- JM Snowden, Y-H Chen, W McFarland, HF Raymond. Prevalence and characteristics of users of pre-exposure prophylaxis (PrEP) among men who have sex with men, San Francisco, 2014 in a cross-sectional survey: implications for disparities. Sex Transm Infect, 2017. [DOI | PubMed]
- F Fernandes, P Meireles, M Rocha, J Rojas, H Barros. PrEP users among Lisbon MSM cohort participants—a first look after PrEP implementation in Portugal. Eur J Public Health, 2019. [DOI]
- U Koppe, U Marcus, S Albrecht, K Jansen, H Jessen, B Gunsenheimer-Bartmeyer. Barriers to using HIV pre-exposure prophylaxis (PrEP) and sexual behaviour after stopping PrEP: a cross-sectional study in Germany. BMC Public Health, 2021. [DOI | PubMed]
- 70.Marcus U, Schmidt D, Schink SB, Koppe U. Estimating HIV pre-exposure prophylaxis (PrEP) use and analysis of HIV PrEP needs among men who have sex with men in Germany; 2021. 10.21203/rs.3.rs-156075/v2.
- C Iniesta, D Álvarez-Del Arco, LM García-Sousa, B Alejos, A Díaz, N Sanz. Awareness, knowledge, use, willingness to use and need of pre-exposure prophylaxis (PrEP) during World Gay Pride 2017. PLoS ONE, 2018. [DOI | PubMed]
- RN Werner, M Gaskins, J Ahrens, H Jessen, F Kutscha, R Mosdzen. Knowledge and use of HIV pre-exposure prophylaxis among men who have sex with men in Berlin—a multicentre, cross-sectional survey. PLoS ONE, 2018. [DOI | PubMed]
- S McCormack, DT Dunn, M Desai, DI Dolling, M Gafos, R Gilson. Pre-exposure prophylaxis to prevent the acquisition of HIV-1 infection (PROUD): effectiveness results from the pilot phase of a pragmatic open-label randomised trial. Lancet, 2016. [DOI | PubMed]
- 74.BZgA. Schwule Männer und AIDS Dataset: Bundeszentrale für gesundheitliche Aufklärung (“Federal Center for Health Education”); 2013.
- U Marcus, M Gassowski, J Drewes. HIV risk perception and testing behaviours among men having sex with men (MSM) reporting potential transmission risks in the previous 12 months from a large online sample of MSM living in Germany. BMC Public Health, 2016. [DOI | PubMed]
- K Kays, K Gathercoal, W Buhrow. Does survey format influence self-disclosure on sensitive question items?. Comput Hum Behav, 2012. [DOI]
- ES Zack, J Kennedy, JS Long. Can nonprobability samples be used for social science research?: A cautionary tale. Surv Res Methods, 2019
- FC Pampel. Logistic regression: a primer, 2008
- C Mood. Logistic regression: why we cannot do what we think we can do, and what we can do about it. Eur Sociol Rev, 2010. [DOI]
- CN Okafor, PM Gorbach, A Ragsdale, B Quinn, S Shoptaw. Correlates of preexposure prophylaxis (PrEP) use among men who have sex with men (MSM) in Los Angeles, California. J Urban Health, 2017. [DOI | PubMed]
- JD Auerbach, TA Hoppe. Beyond “getting drugs into bodies”: social science perspectives on pre-exposure prophylaxis for HIV. J Int AIDS Soc, 2015. [DOI | PubMed]
- J Drewes, M Kruspe. Schwule Männer und HIV/AIDS 2013: Schutzverhalten und Risikomanagement in den Zeiten der Behandelbarkeit von HIV [Precautions and Risk management in times of treatable HIV], 2016
- 83.European Centre for Disease Prevention and Control. HIV Pre-Exposure Prophylaxis in the EU/EEA and the UK: implementation, standards and monitoring. Operational guidance. Stockholm: ECDC.
