Ultra-High Performance Liquid Chromatography-High Resolution Mass Spectrometry and High-Sensitivity Gas Chromatography-Mass Spectrometry Screening of Classic Drugs and New Psychoactive Substances and Metabolites in Urine of Consumers
Abstract
The use of the new psychoactive substances is continuously growing and the implementation of accurate and sensible analysis in biological matrices of users is relevant and fundamental for clinical and forensic purposes. Two different analytical technologies, high-sensitivity gas chromatography-mass spectrometry (GC-MS) and ultra-high-performance liquid chromatography-high-resolution mass spectrometry (UHPLC-HRMS) were used for a screening analysis of classic drugs and new psychoactive substances and their metabolites in urine of formed heroin addicts under methadone maintenance therapy. Sample preparation involved a liquid-liquid extraction. The UHPLC-HRMS method included Accucore™ phenyl Hexyl (100 × 2.1 mm, 2.6 μm, Thermo, USA) column with a gradient mobile phase consisting of mobile phase A (ammonium formate 2 mM in water, 0.1% formic acid) and mobile phase B (ammonium formate 2 mM in methanol/acetonitrile 50:50 (v/v), 0.1% formic acid) and a full-scan data-dependent MS2 (ddMS2) mode for substances identification (mass range 100–1000 m/z). The GC-MS method employed an ultra-Inert Intuvo GC column (HP-5MS UI, 30 m, 250 µm i.d, film thickness 0.25 µm; Agilent Technologies, Santa Clara, CA, USA) and electron-impact (EI) mass spectra were recorded in total ion monitoring mode (scan range 40–550 m/z). Urine samples from 296 patients with a history of opioid use disorder were examined. Around 80 different psychoactive substances and/or metabolites were identified, being methadone and metabolites the most prevalent ones. The possibility to screen for a huge number of psychotropic substances can be useful in suspected drug related fatalities or acute intoxication/exposure occurring in emergency departments and drug addiction services.
Article type: Research Article
Keywords: classic drugs of abuse, new psychoactive substances (NPS), novel synthetic opioids (NSO), urine, liquid chromatography, high-resolution mass spectrometry, gas chromatography-mass spectrometry
Affiliations: National Centre on Addiction and Doping, Istituto Superiore di Sanità, V.Le Regina Elena 299, 00161 Rome, Italy; roberta.pacifici@iss.it (R.P.); simona.pichini@iss.it (S.P.); manuela.pellegrini@iss.it (M.P.); Drug Addiction Program, Institut de Neuropsiquiatria i Addicions, Institut Hopsital del Mar d’Investigacions Mèdiques (INAD-IMIM), Parc de Salut Mar, 08003 Barcelona, Spain; malias@imim.es (M.A.F.); mtorrens@parcdesalutmar.cat (M.T.); Department of Psychiatry and Pharmacology, Therapeutics and Toxicology, Universitat Autònoma de Barcelona, 08193 Cerdanyola del Vallés, Spain; mfarre.germanstrias@gencat.cat; Clinical Pharmacology Unit, Hospital Universitari Germans Trias i Pujol and Institut de Recerca GermansTrias i Pujol (HUGTiP-IGTP), 08916 Badalona, Spain
License: © 2021 by the authors. CC BY 4.0 Licensee MDPI, Basel, Switzerland. This article is an open access article distributed under the terms and conditions of the Creative Commons Attribution (CC BY) license (https://creativecommons.org/licenses/by/4.0/).
Article links: DOI: 10.3390/ijms22084000 | PubMed: 33924438 | PMC: PMC8069063
Relevance: Moderate: mentioned 3+ times in text
Full text: PDF (1.9 MB)
1. Introduction
A new psychoactive substance (NPS) is defined as “a new narcotic or psychotropic drug, in pure form or in preparation, that is not controlled by the United Nations drug conventions, but which may pose a public health threat comparable to that posed by substances listed in these conventions” [ref. 1].
In Europe, seizures of NPS mainly concern synthetic cannabinoids which together with synthetic cathinones account for more than 70% of NPS seizures [ref. 2]. Nevertheless, the more recent and most toxic NPS showed to be the novel synthetic opioids (NSOs). Since 2009, 57 new NSOs have been detected on Europe’s drug market [ref. 2]. Several NSOs were originally synthesized by pharmaceutical companies in their research for analgesic drugs as compounds with a similar chemical structure to natural opiates without addictive properties, but their toxicity or abuse potential posed a very high risk of poisoning to consumers. Whereas some of them were then marketed as prescription drugs, some others were eliminated from the licit market and some others were chemically modified to exclusively enter illicit market [ref. 3,ref. 4,ref. 5].
The chemical variety of NSOs, ranging from several illicit analogs of fentanyl and derivatives to newly synthesized molecules, make their identification extremely difficult and need the investigation of qualified analysts/toxicologists [ref. 6].
Since NSOs and particularly fentanyl-related compounds are active in very low doses, due to their potency and many users are unknowingly consuming these as adulterants in products sold as heroin, or as pain killers [ref. 7,ref. 8], parent drugs and metabolites are present in biological material at extremely low concentrations. One consequence of this is that they may escape detection because routine testing of these drugs is rarely performed and requires dedicated analytical methods with sufficiently high sensitivity and specificity [ref. 9].
The 2020 COVID-19 pandemic has transformed daily life and the different intensity of the lockdown across countries showed important consequences on drug users. The legal restrictions modified their ability to access classic illicit drugs (e.g., heroin, cocaine, cannabinoids) and shifted consumptions towards prescription psychoactive drugs, frequently available at home or from the use of psychoactive recreational NPS (e.g., synthetic cathinones, synthetic cannabinoids, phenethylamines to narcotic analgesics such as NSOs or to anxiolytics such as new benzodiazepines [ref. 10,ref. 11]. Nine new uncontrolled NSOs have been reported during 2020 [ref. 12]and the global shortage of heroin due to pandemic may have forced regular users to take other substances with similar effects, such as fentanyl analogs and NSOs [ref. 13].
In 2018 the JUSTSO project (analysis, dissemination of knowledge, implementation of Justice and special tests of new synthetic opioids), funded by European Commission, intended to evaluate, test profile and feedback into education and prevention, knowledge related to the NSO currently used in Europe, their nature, effects and associated harm [ref. 14].
Our main involvement in the project was to develop and validate analytical methodologies for the screening analysis of NSO and their metabolites, together with all other possible psychoactive drugs in urine samples of drug users collected in different settings (detoxification units, methadone maintenance clinics, drug addiction services, etc.).
Targeted/untargeted screening workflows based on gas or liquid chromatography coupled with mass spectrometry or tandem mass spectrometry (GC-MS, LC-MS and LC-MS/MS, respectively) play a central role in the daily activities of analytical laboratories operating in clinical and forensic toxicology. Specifically, urinalysis with multiple analytical technologies can increase the number of licit and illicit drugs band metabolites with different physicochemical properties that can be determined [ref. 15,ref. 16,ref. 17,ref. 18,ref. 19,ref. 20,ref. 21,ref. 22,ref. 23]. New pharmacologically active substances, both licit and illicit, are constantly being introduced and this occurrence has increased demand for new MS solutions that go beyond conventional GC-MS and LC-MS/MS. High-resolution mass spectrometry (HRMS) enables determination of the exact molecular formula (<5 ppm mass error) that can be useful for presumptive assignment of unknowns in general toxicology screenings [ref. 18].
Few previous studies performed in this field used one or more than one analytical tool for identification of a high number of unreported psychotropic substances in biological matrices of users.
Ultra-high performance liquid chromatography-tandem mass spectrometry (UHPLC-MS/MS) methodology has been applied not only to detect, but also to quantify 87 NPS and 32 classic illicit drugs and their metabolites in hair and nails [ref. 16] and 77 among the most abused NPS in blood, urine and oral fluid [ref. 17]. These two assays used only one type of instrument, but required the availability of all the pure standards of analytes under investigation for their quantification. Others screening methods coupled LC or GC with detection methods as time-of-flight mass spectrometry for analytical determination of NPS in seized samples [ref. 19] or in serum of consumers [ref. 20]. Moreover, to solve a complex toxicological fatal case due to NPS, several different analytical methodologies, including 1H nuclear magnetic resonance (NMR), GC–MS and UPLC–MS/MS to examine unambiguously seized material and biological fluids [ref. 21].
Finally, a combination of last generation GC-MS and UHPLC-HRMS has been recently employed by our investigation group to determine a selection of synthetic cannabinoids in oral fluid of consumers. Specifically, GC-MS has proven useful to identify and quantify parent compounds whereas UHPLC-HRMS also confirmed the presence of their metabolites in oral fluid [ref. 22].
Using the same combination of analytical methodologies, we hereby propose a screening method for urinalysis of principal NSOs, classical drugs of abuse and other NPS with main metabolites using a fast sample extraction.
2. Results
2.1. GC-MS and UHPLC-HRMS Methods
A simple and selective screening analysis with simultaneous use of high-sensitivity GC-MS and UHPLC-HRMS was applied for the identification of classic drugs of abuse, new psychoactive substances and metabolites in urine of drug addicts. The extraction procedure was tested with above reported fortified urine samples using different solvents. The mixture of chloroform and isopropanol has been found as the best compromise for the extraction of drugs and with acceptable signal-to noise ratio in an analytical screening, optimizing the extraction times and costs. Furthermore, even if the total analysis time was not short (each chromatographic run was completed in 32 min in GC/MS and 15 min for UHPLC-HRMS) the combined use of two instruments allowed to screen with a high percentage of compounds matched several different substances.
The characteristic retention times and monitored m/z ions used for the identification of mostly found substances monitored in urine samples are reported in Table 1.
Table 1: List of different target compounds, retention times (Rt) and monitored ions (m/z) using for the screening gas chromatography-mass spectrometry (GC/MS) and ultra-high-performance liquid chromatography-high-resolution mass spectrometry (UHPLC-HRMS) analysis.
| Compound | Formula | GC/MS | UHPLC-HRMS | ||||
|---|---|---|---|---|---|---|---|
| Rt(min) | Targetm/z ion(Q) | Fragmentm/z ions(Q/q) a | Rt(min) | Targetm/z ion [M+H]+(Δ-error, ppm) b | Fragmentm/z ions | ||
| Anticonvulsants | |||||||
| Carbamazepine | C15H12N2O | 15.9 | 236 | 193(0.21)165(1.4) | 5.83 | 237.1022(−2.53) | 194.0963192.0805 |
| Gabapentin | C9H17NO2 | 7.74 | 171 | 153(0.06)110(0.13)81(0.05) | 2.79 | 172.1332(−3.48) | 154.1227137.096195.0860 |
| Levetiracetam | C8H14N2O2 | 7.75 | 170 | 126(0.05)98 (0.33)69(0.13) | 2.85 | 171.1128(−3.51) | 154.0863126.0914 |
| Pregabalin | C8H17NO2 | 6.54 | 159 | 141(0.05)103(0.03)84(0.04) | 2.61 | 160.1332(−3.75) | 142.122797.101683.0861 |
| Topiramate | C12H21NO8S | 5.12 | 324 | 206(2.61)189 (2.61)127(1.62) | 5.19 | 357.1326 * (2.20) | 264.0532184.0970127.0391 |
| Antidepressants | |||||||
| Amitriptyline | C20H23N | 9.59 | 277 | 215 (0.33)202 (0.17)58 (0.02) | 5.98 | 278.19033 (−1.94) | 233.1332191.0861105.0700 |
| Bupropion | C13H18ClNO | 17.53 | 239 | 139 (0.14)100 (0.02)44 (0.01) | 4.52 | 240.1150 (−2.08) | 184.0521166.0419131.0731 |
| Citalopram | C20H21FN2O | 17.27 | 324 | 238 (0.33)208 (0.37)58 (0.02) | 5.44 | 325.1711(−1.59) | 262.1026234.0712109.0452 |
| Clomipramine | C19H23ClN2 | 17.22 | 314 | 268 (0.34)85 (0.23)58 (0.11) | 6.23 | 315.1623(−1.59) | 270.104486.096458.0651 |
| Desmethylcitalopram | C19H19FN2O | 17.42 | 310 | 238 (0.23)138 (0.56)44 (0.05) | 5.40 | 311.1554(−1.60) | 293.1446262.1025109.0451 |
| Desmethylmirtazapine | C16H17N3 | 19.71 | 251 | 208 (2.50)195 (0.08) | 4.08 | 252.1495(−2.38) | 235.1229209.1073195.0918 |
| Mirtazapine | C17H19N3 | 19.51 | 265 | 208(0.39)195(0.05)167(0.5) | 4.24 | 266.1652(−1.88) | 209.1076195.091772.0816 |
| Trazodone | C19H22ClN5O | 30.50 | 371 | 278(0.26)205(0.05)176(0.16) | 4.95 | 372.1586(−1.34) | 176.0819148.050596.0446 |
| Antipsychotics | |||||||
| Levomepromazine | C19H24N2OS | 19.32 | 328 | 282(6.34)100(6.01)58(0.79) | 6.12 | 329.1682(−1.82) | 242.0633100.112658.0660 |
| Norquetiapine | C17H17N3S | 20.01 | 295 | 239(0.46)227(0.09)210(0.16) | 5.26 | 296.1216(−1.69) | 221.1080210.0373139.2405 |
| Olanzapine | C17H20N4S | 19.01 | 312 | 242(0.20)229(0.25)213(0.33) | 3.09 | 313.1481(−1.92) | 256.0901213.048084.0814 |
| Quetiapine | C21H25N3O2S | 19.38 | 383 | 239(0.09)210(0.04)144(0.06) | 5.61 | 384.1740(−1.56) | 279.0949253.0792221.1071 |
| Risperidone | C23H27FN4O2 | 8.1 | 410 | 233(0.09)191(2.04)177(1.30) | 4.78 | 411.2191(−1.22) | 191.1179110.060069.0334 |
| Amphetamines | |||||||
| Amphetamine | C9H13N | 5.40 | 135 | 91(0.04)44(0.005) | 2.84 | 136.1121(−3.67) | 119.085791.0547 |
| Ethylamphetamine | C11H17N | 6.98 | 163 | 148 (0.11)91 (0.02)72 (0.005) | 3.38 | 164.1434 (−3.05) | 119.085891.0547 |
| MDA | C10H13NO2 | 6.67 | 179 | 136(0.03)77(0.08)44(0.02) | 3.24 | 180.1019(−3.33) | 163.0753135.0439105.0699 |
| MDMA | C11H15NO2 | 6.88 | 193 | 135(0.10)77(0.83)58(0.01) | 3.31 | 194.1176(−2.58) | 163.0753135.04393105.06986 |
| Methamphetamine | C10H15N | 5.80 | 149 | 134(0.25)91(0.04)58(0.01) | 3.20 | 150.1277(−3.99) | 119.085591.0541 |
| Benzodiazepines | |||||||
| 7-Aminoclonazepam | C15H12ClN3O | 12.60 | 285 | 256(1.15)222(6.82)194(6.82) | 4.06 | 286.0742(−1.75) | 250.0974222.1025194.0831 |
| 7-Aminoflunitrazepam | C16H14FN3O | 11.33 | 283 | 264(5.00)255(1.53)240(5.55) | 4.65 | 284.1194(−1.76) | 227.0978256.1243148.0631 |
| 7-Aminonitrazepam | C15H13N3O | 15.12 | 251 | 222(1.64)195(5.55)110 (5.55) | 3.20 | 252.1131(−2.38) | 224.1182146.0714121.0762 |
| Alprazolam | C17H13ClN4 | 13.54 | 308 | 279(0.64)245(2.29)204(0.83) | 6.38 | 309.0902(−1.62) | 274.1208241.0528205.0747 |
| Clonazepam | C15H10ClN3O3 | 12.34 | 315 | 288(1.14)280(0.73)234(1.14) | 6.18 | 316.0484(−1.58) | 302.0448241.0521214.0415 |
| Clonazolam | C17H12ClN5O2 | 17.99 | 353 | 324 (0.60)249 (1.00)203 (0.82) | 5.65 | 354.0752 (−1.69) | 326.0563319.1064 |
| Diazepam | C16H13ClN2O | 17.66 | 284 | 283(0.77)256(0.59)221(1.43) | 6.83 | 285.0789(−2.10) | 222.1150193.0885154.0417 |
| Etizolam | C17H15ClN4S | 18.01 | 342 | 313 (2.64)266 (3.22)137 (4.83) | 6.54 | 343.0779 (−1.46) | 314.0388259.0216 |
| Flubromazolam | C17H12BrFN4 | 370 | 341 (0.60)222 (0.45)195 (2.25) | 6.22 | 371.0302 (−1.62) | 343.0096292.1105237.0951 | |
| Flunitrazepam | C16H12FN3O3 | 22.31 | 313 | 312(0.71)285(0.65)266(0.95) | 6.25 | 314.0936(−1.59) | 300.0902268.1003239.0976 |
| Flualprazolam | C17H12ClFN4 | 326 | 297 (0.55)257 (2.75)222 (0.61) | 327.0806 (−2.14) | 299.0625292.1124223.0662 | ||
| Nitrazepam | C15H11N3O3 | 24.08 | 281 | 280 (0.44)253 (0.64)206(0.78) | 5.96 | 282.0873(−2.12) | 268.0842236.0944207.0918 |
| Nordiazepam | C15H11ClN2O | 18.66 | 270 | 242(1.04)235(3.61)207(4.87) | 6.41 | 271.0633(−1.84) | 208.0994165.0214140.0261 |
| Oxazepam | C15H11N2O2Cl | 16.70 | 286 | 268(0.06)239(0.07)205(0.06) | 6.11 | 287.0581(−2.09) | 241.0525269.0475104.0498 |
| Temazepam | C16H13ClN2O2 | 19.93 | 300 | 273(0.35)271(0.12)256(0.86) | 6.51 | 301.0738(−1.99) | 283.0630256.0715255.0681 |
| Cocaine | |||||||
| Benzoylecgonine | C16H19NO4 | 15.15 | 289 | 168(0.27)124(0.07)105(0.22) | 3.84 | 290.1387(−1.72) | 168.1019105.033582.0650 |
| Cocaethylene | C18H23NO4 | 15.03 | 317 | 196(0.23)82(0.11)105(0.35) | 4.72 | 318.1704(−0.31) | 196.133082.0657105.0341 |
| Cocaine | C17H21NO4 | 14.27 | 303 | 272(2.00)182(0.24)82(0.17) | 4.25 | 304.1543(−1.97) | 182.117582.0657105.0337 |
| Ecgonine methyl ester | C10H17NO3 | 7.12 | 199 | 182(1.63)94(0.39)82(0.31) | 0.6 | 200.1281(−2.99) | 182.1177150.091182.0658 |
| Cannabinoids | |||||||
| 11-OH-THC | C21H30O3 | 15.91 | 330 | 300(0.74)299(0.16)41(1.86) | 8.15 | 331.2267(−1.81) | 313.2161193.1224105.0703 |
| Cannabidiol | C21H30O2 | 16.42 | 314 | 246(0.53)231(0.06)193(0.75) | 8.64 | 315.2319(−1.59) | 193.1225135.116993.0704 |
| Cannabinol | C21H26O2 | 17.30 | 310 | 295(0.11)238(0.79)165(2.36) | 8.88 | 311.2006(−1.61) | 293.1901241.1224223.1118 |
| Delta-9-tetrahydrocannabinol | C21H30O2 | 16.90 | 314 | 299(0.79)271(1.66)231(1.01) | 9.02 | 315.2319(−1.59) | 193.1223123.044193.0701 |
| THC-COOH | C21H28O4 | 17.20 | 344 | 329 (0.70)299(0.41)41(0.40) | 8.26 | 345.2060(−1.74) | 327.1953299.2004193.1223 |
| Fentanyls and NSOs | |||||||
| 4-ANPP | C19H24N2 | 18.16 | 280 | 189(0.08)146(0.07)91(0.24) | 5.04 | 281.2012(−2.13) | 188.1435134.0965105.0703 |
| Acetyl fentanyl | C21H26N2O | 18.01 | 322 | 231(0.03)188(0.08)146(0.05) | 4.89 | 323.2118 (−1.54) | 188.1434105.0703132.0809 |
| AH-7921 | C16H22Cl2N2O | 11.22 | 329 | 172(0.20)144(0.20)126(0.05) | 3.73 | 329.1182(−1.52) | 284.0610189.9555172.0610 |
| Alfentanil | C21H32N6O3 | 18.47 | 416 | 289(0.01)268(0.03)140(0.04) | 5.35 | 417.2609(−1.20) | 268.17651197.1284165.10223 |
| Alpha-methylfentanyl | C23H30N2O | 18.30 | 350 | 259(0.05)146(0.20)91(0.25) | 5.50 | 351.2431(−1.42) | 202.1588119.085691.0546 |
| Beta-Hydroxyfenatnyl | C22H28N2O2 | 17.52 | 352 | 245 (0.02)189 (0.05)146 (0.03) | 4.90 | 353.2224 (−1.42) | 204.1384186.1276132.0809 |
| Carfentanil | C24H30N2O3 | 18.72 | 394 | 303(0.01)187(0.05)105(0.08) | 5.60 | 395.2329(−1.52) | 134.0965105.0702113.0600 |
| Despropionyl para-fluorofentanyl | C19H23FN2 | 18.45 | 298 | 207(0.08)164(0.08)136 (0.40) | 5.33 | 299.1918(−2.01) | 188.1435134.0966105.0703 |
| Fentanyl | C22H28N2O | 18.89 | 245 | 189(2.77)146(1.57)105(4.27) | 5.38 | 337.2279 (−0.30) | 188.1436105.0703132.08010 |
| Fluorofentanyl | C22H27FN2O | 17.05 | 354 | 263(0.01)207(0.04)164(0.02) | 3.55 | 355.2180(−1.69) | 234.1289188.1433105.0699 |
| Isotonitazene | C23H30N4O3 | 17.76 | 410 | 236 (0.40)107 (0.12)86 (0.01) | 7.02 | 411.2391(−1.21) | 250.1077100.110972.0809 |
| MT-45 | C24H32N2 | 12.01 | 348 | 257(0.01)165(0.17)91(0.05) | 4.03 | 349.2638(−1.72) | 181.1011169.169987.0916 |
| N-methyl Norfentanyl | C15H22N2O | 17.32 | 246 | 189(0.12)96(0.08)82(0.22) | 4.20 | 247.1805(−2.02) | 150.091598.096969.0707 |
| Norfentanyl | C14H20N2O | 17.90 | 232 | 175(0.09)159(0.12)83(0.05) | 3.77 | 233.1649 (−2.14) | 204.1038150.091484.0814 |
| Ocfentanil | C22H27FN2O2 | 17.34 | 370 | 279(0.01)176(0.05)105(0.05) | 4.83 | 371.2129(−1.62) | 188.1434134.0966105.0702 |
| Remifentanil | C20H28N2O5 | 16.81 | 376 | 227(0.02)212(0.02)168(0.01) | 4.48 | 377.2071(−1.33) | 228.1230146.0964113.0600 |
| Sufentanil | C22H30N2O2S | 18.50 | 386 | 289(0.01)140(0.03)93(0.03) | 5.97 | 387.2101(−1.29) | 355.1838238.1257111.0266 |
| Thienyl fentanyl | C19H24N2OS | 17.99 | 328 | 179(0.20)97(0.03)82(0.04) | 4.87 | 329.1682(−1.82) | 97.011182.0657 |
| U-47700 | C16H22Cl2N2O | 10.80 | 329 | 172(0.05)125(0.02)84(0.01) | 3.52 | 329.1182(−1.52) | 284.0596172.957981.0699 |
| Opioids and SOs | |||||||
| 6-Monoacetylmorphine | C19H21NO4 | 18.83 | 327 | 268(0.92)214(2.44)162(4.40) | 3.37 | 328.1543(−1.82) | 268.1327211.0753165.0698 |
| Buprenorphine | C29H41NO4 | 32.0 | 467 | 434 (0.33)410(0.17)378 (0.04) | 5.72 | 468.3108(−1.28) | 396.216584.080855.0544 |
| Codeine | C18H21NO3 | 16.94 | 299 | 229(3.33)214(5.00)162(3.00) | 2.88 | 300.1594(−1.28) | 243.1012215.106558.0659 |
| EDDP | C20H23N | 11.96 | 277 | 262(2.17)220(3.09)165(3.82) | 5.61 | 278.1903(−1.43) | 249.1509234.1275186.1275 |
| EMDP | C19H21N | 11.60 | 263 | 208(0.08)130(0.17)115(0.20) | 5.95 | 264.1747(−1.89) | 235.1355234.1275220.1121 |
| Hydrocodone | C18H21NO3 | 16.01 | 299 | 284(7.80)242(1.50)185(2.44) | 3.35 | 300.1594(−1.99) | 283.175133.086089.0602 |
| Hydromorphone | C17H19NO3 | 16.35 | 285 | 229(3.12)214(4.08)200(5.30) | 2.49 | 286.1438(−1.75) | 185.0597227.0699199.0753 |
| Methadone | C21H27NO | 13.41 | 309 | 178(0.33)165(0.25)72(0.03) | 6.15 | 310.2165(−1.93) | 105.0338265.1584223.1116 |
| Morphine | C17H19NO3 | 17.18 | 285 | 268(6.67)215(2.50)162(2.13) | 1.91 | 286.1438(−1.75) | 201.0912229.0857183.0807 |
| Norcodeine | C17H19NO3 | 16.84 | 285 | 242(6.67)215 (2.00)148 (2.50) | 2.91 | 286.1438(−1.74) | 268.13263215.10689225.09088 |
| Normorphine | C16H17NO3 | 16.12 | 271 | 201(0.02)150(1.05)148(1.33) | 1.23 | 272.1281(−2.20) | 254.1173201.0916121.0649 |
| Noroxycodone | C17H19NO4 | 15.32 | 301 | 216(1.76)201(4.14)188(3.63) | 3.17 | 302.1387(−1.65) | 284.1281227.0941187.0754 |
| Noroxymorphone | C16H17NO4 | 15.30 | 287 | 253(5.93)202(1.63)174(4.15) | 1.78 | 288.1230 (−2.08) | 270.1122213.0783173.0597 |
| Oxycodone | C18H21NO4 | 15.83 | 315 | 258(4.42)230(1.91)187(7.64) | 3.21 | 316.1543(−1.90) | 298.1438256.1330241.1093 |
| Oxymorphone | C17H19NO4 | 16.25 | 301 | 244(9.07)216(2.62)203(6.18) | 2.24 | 302.1387(−1.65) | 284.1278242.1173227.0934 |
| Tramadol | C16H25NO2 | 14.41 | 263 | 188 (2.00)135 (2.00)58(0.13) | 4.13 | 264.1958(−2.27) | 58.0659 |
| Synthetic Cannabinoids | |||||||
| JWH 018 | C24H23NO | 8.55 | 341 | 284(1.50)214(1.31)127(0.82) | 8.74 | 342.1852(−1.75) | 214.1224155.0605144.0444 |
| JWH 073 | C23H21NO | 6.98 | 327 | 284(1.62)200(0.98)127(0.84) | 8.58 | 328.1696(−1.52) | 230.1172155.0489125.0962 |
| JWH 073 N-4-Hydroxybutyl | C23H21NO2 | 11.10 | 343 | 270(0.95)144(1.11)127(0.77) | 7.32 | 344.1645(−1.74) | 155.0490127.1062 |
| JWH 081 | C25H25NO2 | 11.57 | 371 | 314(2.00)214(1.43)185(1.43) | 8.92 | 372.1958(−1.61) | 214.1223185.0596144.0443 |
| JWH 081 4-Hydroxynaphtyl | C24H23NO2 | 12.44 | 357 | 300(1.32)214(1.31)171(1.48) | 8.36 | 358.1802(−1.39) | 214.1222171.0438144.0443 |
| JWH 081 N-5-Hydroxypentyl | C25H25NO3 | 19.93 | 387 | 314(1.45)230(1.50)185(0.90) | 7.70 | 388.1907(−1.55) | 230.1172185.0596144.0443 |
| JWH 122 | C25H25NO | 9.33 | 355 | 338(1.82)298(1.38)214(1.45) | 8.91 | 356.2009(−1.40) | 214.1223169.0646141.0697 |
| JWH 122 N-4-Hydroxypentyl | C25H25NO2 | 13.26 | 371 | 284(0.66)169(0.92)144(0.96) | 7.81 | 372.1958(−1.61) | 169.0647141.0698 |
| JWH 122 N-5-Hydroxypentyl | C25H25NO2 | 15.87 | 371 | 284(1.57)141(1.29)115(1.56) | 7.80 | 372.1958(−1.61) | 169.0646141.0697 |
| JWH 210 | C26H27NO | 10.77 | 369 | 352(1.71)312(1.64)214(0.90) | 9.21 | 370.2165(−1.62) | 214.1223183.0804144.0443 |
| JWH 210 N-4-Hydroxypentyl | C26H27NO2 | 14.56 | 385 | 298(0.64)183(0.86)144(0.90) | 8.08 | 386.2115(−1.29) | 183.0804155.0854144.0443 |
| JWH 210 N-5-Hydroxypentyl | C26H27NO2 | 17.79 | 385 | 368(2.75)230(3.24)144(2.20) | 8.06 | 386.2115(−1.29) | 230.1172183.0803155.0853 |
| UR 144 | C21H29NO | 9.94 | 311 | 296(0.98)214(0.13)144(0.40) | 9.07 | 312.2322(−1.60) | 214.1223125.096297.1016 |
| UR 144 N-5-Hydroxypentyl | C21H29NO2 | 10.70 | 327 | 231 (0.33)230(0.001)144(0.10) | 7.85 | 328.2271(−1.83) | 230.1172125.096297.1016 |
| XLR 11 | C21H28FNO | 10.73 | 329 | 314(0.90)232 (0.09)144(0.36) | 8.64 | 330.2228(−1.51) | 232.1129125.096297.1016 |
| XLR 11 N-4-Hydroxypentyl | C21H28FNO2 | 11.73 | 345 | 330(0.83)248(0.11)144(0.29) | 7.57 | 346.2177(−1.44) | 248.1077144.044367.0550 |
| AM-2201 | C24H22FNO | 10.35 | 359 | 342 (0.20)284 (1.25)232 (1.30) | 360.1764 | ||
| Synthetic Cathinones | |||||||
| MDPV | C16H21NO3 | 8.23 | 275 | 149(0.25)126(0.01)119(0.50) | 4.35 | 276.1594 (−2.17) | 126.1278149.0232 |
| 4-MEC | C12H17NO | 6.43 | 191 | 119(0.33)91(0.17)72(0.03) | 3.66 | 192.1383 (−2.60) | 174.1277159.1040119.0857 |
| Butylone | C12H15NO3 | 8.72 | 221 | 149(0.10)121(0.20)72(0.02) | 3.52 | 222.1125(−2.25) | 204.1018174.091372.0815 |
| Mephedrone | C11H15NO | 6.45 | 177 | 119(0.20)91(0.10)58(0.02) | 3.37 | 178.1226(−3.36) | 160.1121145.0886119.0857 |
| Methcathinone | C10H13NO | 5.98 | 163 | 105(0.20)77(0.07)58(0.02) | 2.67 | 164.107(−1.83) | 146.0965131.0731105.0703 |
| Pentylone | C13H17NO3 | 8.13 | 235 | 149(0.17)121(0.25)86(0.01) | 4.16 | 236.1281(−2.54) | 218.1174188.106986.0969 |
| Miscellaneous | |||||||
| 4-FA | C9H12FN | 4.81 | 153 | 109(0.06)83(0.10)44(0.01) | 2.95 | 154.1027(−3.24) | 109.0451137.0761114.0917 |
| 4-MA or PMA | C10H15NO | 9.50 | 165 | 122(0.03)78(0.08)44(0.01) | 3.27 | 166.1226(−3.61) | 150.0499137.0419117.0701 |
| PMMA | C11H17NO | 10.33 | 179 | 121(0.10)78(0.13)58(0.01) | 3.43 | 180.1383(−2.78) | 149.0961121.0649 |
| m-CPP | C10H13ClN2 | 7.39 | 196 | 154 (0.25)138 (2.00) | 3.97 | 197.0840(−3.04) | 154.0416119.0730 |
| Ketamine | C13H16ClNO | 8.28 | 237 | 209(0.07)179(0.02)125(0.08) | 3.77 | 238.0993(−2.51) | 207.0574179.0622125.0154 |
a, Q/q ion abundance ratio; b, delta error (ppm); * Sodium adduct; MDA: 3,4-Methylenedioxyamphetamine; MDMA: 3,4-Methylenedioxymethylamphetamine;11-OH-THC: 11-Hydroxy-delta-9- tetrahydrocannabinol; THC-COOH: 11-nor-9-carboxy-delta-9- tetrahydrocannabinol carboxilc acid; NSOs: novel Synthetic Opioids;4-ANPP: 4-Aminophenyl-1-phenethylpiperidine or Despropionyl fentanyl; AH 7921: 3,4-dichloro-N-[[1-(dimethylamino)cyclohexyl]methyl]-benzamide;U-47700: trans-3,4-dichloro-N-[2-(dimethylamino)cyclohexyl]-N-methyl-benzamide; MT-45: 1-cyclohexyl-4-(1,2-diphenylethyl)-piperazine, dihydrochloride; SO: Synthetic Opioids; EDDP: 2-Ethylidene-1,5-dimethyl-3,3-diphenylpyrrolidine; EMDP: 2-ethyl-5-methyl-3,3-diphenylpyrroline; MDPV: 3,4-Methylendioxy Pyrovalerone; 4-MEC: 4-Methylethcathinone;4-FA: 4-Fluoroamphetamine; 4-MA or PMA: 4-Methoxyamphetamine or para-methoxymethylamphetamine; PMMA: para-methoxymethamphetamine; m-CPP: 1-(3-Chlorophenyl)piperazine, SO: synthetic opioids.
The results obtained by screening proficiency urine testing samples from UNODC International Quality Assurance Program and those from in “NPS-LABVEQ” project showed an excellent agreement (98% agreement as screened substances) between substances declared and those found in the samples. Since these latter substances were analyzed at a concentration of 1 ng/mL urine with a signal to noise ratio, calculated at the baseline, always higher than 10, we could assume that our methodologies could screen substances present in concentrations equal or above 1 ng/mL. Moreover, from the analysis of blank urine no additional peaks due to endogenous substances, which could have interfered with the detection, were observed.
2.2. Methods Application
Drug screening applied to 296 former heroin addicts under methadone maintenance therapy urine disclosed the presence of different psychoactive prescription drugs, classical drugs of abuse, NSO, NPS and their metabolites. The presence of a certain drug and/or metabolites was confirmed only if both methodologies identified the molecules, which occurred in 95% cases.
Pharmaceuticals like benzodiazepines, antidepressants, antipsychotics, anticonvulsants and opioids were detected. Drugs of abuse (opioids, amphetamines, cocaine and cannabinoids), NPS (synthetic cannabinoids, synthetic cathinones), fentanyls, NSO and other drug classes were also found. The frequency of different drug classes found in urine samples using the developed GC-MS and LC–HRMS screening methods is reported in Figure 1.

The most frequent found substances (about 90%) were methadone and its metabolites, 2-ethylidene-1,5-dimethyl-3,3-diphenylpyrrolidine (EDDP) and 2-ethyl-5-methyl-3,3-diphenylpyrroline (EMDP). Urine samples resulted positive also to benzodiazepines (mainly Clonazepam, Diazepam and their metabolites), antipsychotics (principally Risperidone, Quetiapine and their metabolites), antidepressants (Citalopram, Mirtazapine and their metabolites, Trazadone and its psychoactive metabolite meta-Chlorophenylpiperazine) and Gabapentin. Additional findings included samples positives for cocaine and its metabolites BZE and EME, cannabinoids, amphetamine and synthetic cathinone methylenedioxypyrovalerone and synthetic cannabinoids from JWH family.
In urine samples in which methadone was not found, screening analysis revealed the presence of the opiates (buprenorphine, 6-MAM, morphine, codeine, dextromethorphan), cocaine, cannabinoids and fentanyl and analogs.
2.3. Fentanyl, Fentanyl Analogs and Novel Synthetic Opioids
Toxicological screening analysis revealed the presence of fentanyl and analogs and/or metabolites in 23 (7.8%) out of 296 screened urine samples. No other NSOs were found.
In 4 out of 23 samples, the substances matched while in other cases, parent drug was identified by one method and metabolite by the other, or similar compounds were determined.
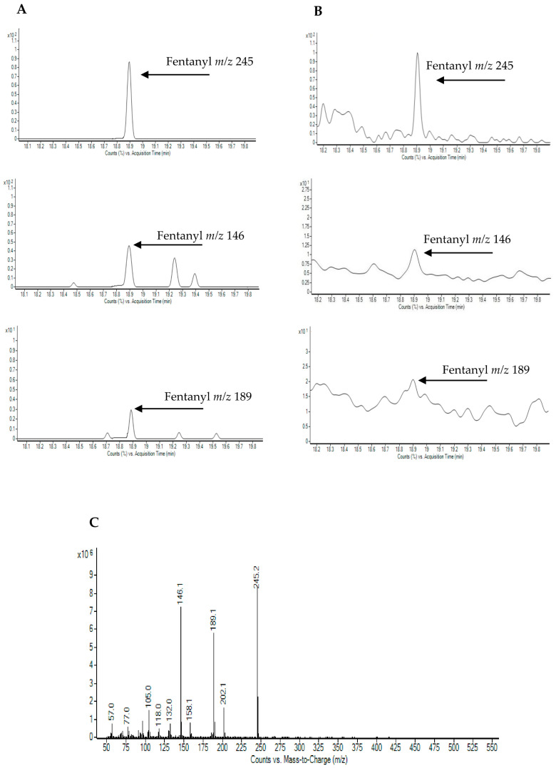
Chromatogram sin GC-MS and UHPLC-HRMS of 2 positive fentanyl samples are shown in Figure 2 and Figure 3, respectively, and screening results on fentanyl positive samples were reported in Table 2.


Table 2: Comparison of GC/MS and UHPLC-HRMS fentanyl and/or its metabolites and analogs urine sample screening and confirmation results.
| Sample Code | Detected Compound(GC/MS) | Detected CompoundUHPLC-HRMS |
|---|---|---|
| MI-1029 | ND | FentanylNorfentanyl |
| MI-1077 | Fluorfentanyl | ND |
| MI-1078 | N-(3-ethylindole) Norfentanyl | ND |
| MI-1079 | Fluorfentanyl | FentanylBeta-HydroxyfentanylNorfentanyl |
| BS-2003 | Fentanyl | Fentanyl |
| MI-3009 | Fluoro acetyl Fentanyl | ND |
| MI-5016 | Fluoro Valeryl fentanyl | ND |
| US-010 | Fentanyl | FentanylNorfentanyl |
| US-017 | Fentanyl | Norfentanyl |
| US-039 | Fentanyl | Beta-hydroxyfentanylFentanylNorfentanyl |
| US-059 | Fluorfentanyl | ND |
| US-060 | ND | Norfentanyl |
| US-065 | Fluorfentanyl | ND |
| US-077 | Fluoro Valeryl fentanyl | ND |
| US-083 | Fluoro Valeryl fentanyl | ND |
| US-095 | Fluoro Valeryl fentanyl | ND |
| US-109 | Fluoro Valeryl fentanyl | ND |
| US-139 | Acetyl-methylfentanyl2’-fluoro ortho-Fluorofentanyl | ND |
| US-142 | Thiofentanyl | ND |
| US-144 | Fentanyl | FentanylNorfentanylBeta-Hydroxyfentanyl |
| US-145 | Fluorfentanyl | ND |
| US-148 | Fentanyl | Norfentanyl |
| US-155 | Thiofentanyl | Norfentanyl |
ND: not detected.
2.4. Other NPS
The NPS, other than NSOs, detected in the 296 analyzed samples by both methodologies belonged to the class of synthetic cathinones (4.4%) and to that of synthetic cannabinoids (1.3%) (Table 3).
Table 3: New psychoactive substances(NPS) found in urine samples under investigation.
| NPS Classes | Substances (n) |
|---|---|
| synthetic cathinones | MDPV (2)4-cloro N butylcathinone (1)4-Methyl-PV8 (6)Fenethylline (4) |
| synthetic cannabinoids | JWH-122 (1)JWH-032 (1)JWH-200 (1)UR-144 (1) |
n = number of positive samples; MDPV: 3,4-Methylendioxy Pyrovalerone; 4-Methyl-PV8: 2-(pyrrolidin-1-yl)-1-(p-tolyl)heptan-1-one.
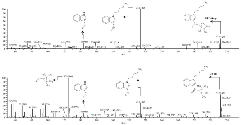
The analysis by UHPLC-HRMS method of real sample obtained from the subject that results positive to UR-144 showed two peaks with different retention time but similar mass spectrum (Figure 4).

3. Discussion
Methadone is frequently prescribed for the maintenance therapy of opioid addiction detoxification. Patients needing treatment with this and other medications often have co-occurring medical and mental illnesses that require medication treatment [ref. 24].
Untargeted mass spectrometry techniques have become essential tools for toxicological analysis [ref. 25].
The poor availability of reference standards for many NPS and metabolites presents a large challenge to forensic toxicology laboratories when trying to detect and identify both known and unknown NPS and other xenobiotics. What toxicologists expect both in clinical and forensic analysis from a general unknown screening procedure is the unequivocal identification of the xenobiotics involved in intoxication cases, even when they have no evidences to guide the search.
In general, the combination of different complementary methods (immunoassays, liquid chromatography and gas chromatography) was shown to be a good approach for screening samples in forensic and clinical toxicology [ref. 26]. Currently, the most competent approach for compound identification involves mass spectral library search [ref. 27].
We here presented two complementary analytical methods for screening of classic drugs of abuse and new psychoactive substances and metabolites in urine samples. Low resolution GC-MS and high-resolution instruments (UHPLC-HRMS) can both be used to develop efficient screening workflows. It was possible to obtain an identification, based on the obtained mass spectrometry information, of different xenobiotics.
The main purpose of this initial screening technique has been to identify samples positive to classical drugs of abuse, NPS and NSOs while simultaneously eliminating negative specimens from any subsequent analytical examination. Once a NPS or a NSO are detected, quantification could be further performed to provide information regarding concentrations found in urine of users and in cases of fatal and non-fatal intoxications.
The principal limitation of the presented methodology was the difficulty associated with data processing to get the information from single sample analysis that required qualified expertise. Moreover, in some cases it can be extremely difficult to chromatographically separate certain NPS to facilitate identification via mass spectrometry, such as in the case of isomers and isobaric compounds which display the same or significantly related chemical formulae [ref. 22,ref. 28,ref. 29,ref. 30,ref. 31,ref. 32].
In the current method and in agreement with a previous study [ref. 29] the isomers JWH-019 and JWH-122 as well the two metabolites of JWH-122 (JWH 122 N-4-Hydroxypentyl and N-5-Hydroxypentyl) and JWH-210 (JWH 210 N-4-Hydroxypentyl and N-5-Hydroxypentyl) were not distinguishable, since their masses and retention times matched. Otherwise, the isomers UR-144 and UR-144-pyr could be distinguished (Figure 4). Moreover, the opiate family contains a number of isobaric couples that can complicate the correct identification of e.g., morphine versus hydromorphone, or codeine versus hydrocodone. Other potential isobaric/isomeric interfering compounds that we found in our run were amitriptyline versus EDDP, and Tramadol versus O-desmethylvenlafaxine. Nevertheless, in our developed methodology, the above reported substances exhibited different retention times.
Isomeric and isobaric substances require gas or liquid chromatographic conditions that enable adequate separation of the compounds prior to MS analysis or include other mass spectrometry data such as m/z, isotope pattern, retention time and fragmentation information [ref. 22,ref. 30,ref. 31,ref. 32].
However, even if the total analysis time was not short, this method could screen several psychoactive substances of different chemical structures in epidemiological studies aimed to disclose the use of compounds with a high risk of toxicity, leading to severe acute intoxications and overdoses. Moreover, High resolution full scan data also provides retrospective analysis for identifying previously unknown drugs of abuse [ref. 31].
Indeed, for this particular study, no reference standards were used, but only mass spectrometric libraries and the coupling of both methodologies. As above reported, positivity to a certain substance was only provided when both methodologies, independently run by different operators, matched with the identification of a specific molecule.
In agreement with previous studies [ref. 15,ref. 19,ref. 21], the HRMS procedure was shown to be superior to screening by GC-MS, the costs still limit the widespread distribution in routine laboratories.
On the other hand, a last generation GC-MS assay highlighted the similar specificity of UHPLC-HRMS and therefore the simultaneous use of the two instruments allowed to demonstrate that a simple and traditional methodology can be used to screen unknown samples this also due to the presence of the latest generation of libraries present in support to toxicologist whose experience allows to identify unknown substances or to exclude false positives.
In this concern, analytical methodologies used for the identification of NPS continuously emerging in illicit markets should be developed, validated, updated and analytical data should always be shared across different communication platforms to help health professionals involved in clinical and forensic toxicology issue [ref. 6,ref. 33].
In addition, once substances identification has been accomplished, it can be of interest to confirm and quantify identified substances to expand information on concentration found in biological fluids of consumers and eventually associate obtained data with clinical evidence. In this concern, pure standards of parent compounds and/or metabolites are needed an extensive method validation whatever is the applied methodology (e.g., LC-MS/MS, GC-MS, GC-MS/MS or HRMS) considering the maximum cost-benefit ration for a high throughput laboratory facing with this kind of analyses.
4. Materials and Methods
4.1. Chemicals and Reagents
Water, methanol (MeOH) and acetonitrile (ACN) MS grade, chloroform, isopropanol and formic acid analytical grade were purchased by Carlo Erba (Milan, Italy). Ammonium formate, phosphate buffer and N,O-bis-trimethylsilyl-trifluoroacetamide (BSTFA) with 1% trimethylchlorosilane (TMCS) was obtained from Sigma–Aldrich (Milan, Italy).
4.2. Study Design
Urine samples collection took place at Consorcio Mar Parc De Salut De Barcelona, Spain and Hospital Universitari Germans Trias i Pujol from March, 2019 through October, 2020. Here, 296 patients with a history of opioid use disorder were enrolled in this study. All individuals were under methadone maintenance therapy (MTT). In this case, 109 patients provided identified urine samples after obtaining a signed informed consent, while 187 accepted to provide an anonymous sample, but no personal information was collected.
In order to secure the participants’ privacy, the survey data and collected urine were coded and the local Human Research Ethics Committee of both centers (ref. 2018/2138/I and PI-18-126) approved the study protocol. Prior to analysis aliquots of urine were stored at −20 °C.
4.3. Sample Preparation for Screening Analysis by GC-MS and UHPLC-HRMS
A liquid-liquid extraction was performed after diluting 0.5 mL of urine in 1 mL 0.1 M phosphate buffer pH 3.0 and 0.5 mL of the same sample in 0.1 M phosphate buffer pH 10 (the desired pH was eventually adjusted using drops of 1 N HCl or 1N KOH, respectively). The samples were vortex mixed and then the solutions were extracted twice with 1.5 mL chloroform/isopropanol (9:1, v:v). After centrifugation, the organic layer from each buffered sample was divided into two 1.5 mL aliquots and evaporated to dryness at 40 °C under a nitrogen stream.
The first dry aliquot was derivatized with a mixture of 25 μL of acetonitrile and 25 μL of N,O-bis-trimethylsilyl-trifluoroacetamide (BSTFA) with 1%trimethylchlorosilane (TMCS) at 70 °C for 30 min. The second dry aliquot was dissolved in 50 μL ethyl acetate. A 1 μL amount of underivatized and derivatized acid and alkaline extracts were injected into the GC-MS system.
After the analysis in GC-MS, the underivatized samples were evaporated to dryness under a nitrogen stream and then dissolved in 150 μL of a mixture of mobile phase A (Ammonium formate 2 mM, 0.1% HCOOH) and B (Ammonium formate 2 mM in MeOH/ACN 50/50, 0.1% HCOOH, 1% H2O) (50:50, v/v). 5 μL were injected into UHPLC-HRMS.
4.4. Gas Chromatography-Mass Spectrometry (GC-MS) Instrumentation
The GC-MS instrument consisted of an Agilent 7890 A gas chromatograph coupled with 5975 C mass spectrometry detector (Agilent Technologies, PaloAlto, CA, USA). Ultra-Inert GC column Zebron (ZB-Drug-1, 15m × 250 µm i.d, film thickness 0.25 µm; Phenomenex, Milan, Italy) was installed.
The GC-MS condition for the screening procedure was as follows: splitless injection mode; helium (purity 99%) carrier gas flow 1.2 mL/min; the injection port, ion source, quadrupole and transfer line temperatures were 260, 230, 150 and 320 °C, respectively; column temperature was programmed at 70 °C for 2 min and increased to 190 °C at 30 °C/min and then increased to 290 °C at 5 °C/min for 10 min. Subsequently the programed temperature was increased to 340 °C at 40 °C/min to eliminate impurities from the column.
The electron-impact (EI) mass spectra were recorded in total ion monitoring mode (scan range 40–550 m/z).
The full scan data files were processed by an Agilent Workstation (Agilent Technologies). The mass spectra international libraries used for peaks identification were NIST Research Library (National Institute of Standards and Technology)
4.5. Ultra-High-Performance Liquid Chromatography-High-Resolution Accurate Masses Spectrometry (UHPLC-HRMS) Instrumentation
The UHPLC/ESI Q-Orbitrap system consisted of an Ultimate3000 LC pump and an Ultimate 3000 autosampler coupled with a QExactive Focus mass spectrometer equipped with a heated electrospray ionization (HESI) probe operating in positive ionization mode and the system was controlled by Trace finder 4.0 software (Thermo Fisher Scientific, Bremen, Germany).
Separation was performed on an Accucore™ phenyl Hexyl (100 × 2.1 mm, 2.6 μm, Thermo, USA). They were maintained at 40 °C. The flow rate was set at 500 μL/min. Elution was achieved as follow: 99% A for 1 min, linear gradient to 99% B in 10 min, held for 1.5 min. The column re-equilibration was performed with a linear gradient to 99% A in 0.01 min, held for 4.0 min. A heated electrospray ionization (HESI) source in positive/negative ion mode was used for the ionization of compounds.
The mass parameters were as follows: ionization voltage was 3.0 kV; sheath gas and auxiliary gas were 35 and 15 arbitrary units, respectively; S-lens RF level 60; vaporizer temperature and capillary temperature were setting both at 320 °C. Nitrogen was used for spray stabilization, for collision induced dissociation experiments in the HCD cell and as the damping gas in the C-trap. The instrument was calibrated in the positive and negative modes every week.
Data were acquired in full-scan in data-dependent MS2 (ddMS2) mode. In this mode, both positive and negative high-resolution, full-scan data at resolution of 70 k were collected with a scan range of 100–1000 m/z, then MS2 spectra at a resolution of 17.5 k with an isolation window of 2 m/z were triggered for compounds entered in the inclusion list and expected retention times of the target analytes, with a 1 min time window.
The MS and fragmentation data acquired in full scan is processed by Thermo Scientific TraceFinder™ software. This specific software performs a thorough interrogation of the database by making use of the built-in database and mass spectral library of over 1400 compounds, retention times, isotope pattern matching, elemental composition determinations to identify and confirm drugs and metabolites in the analyzed samples. Moreover, mzCloud Mass Spectral Library was used as mass spectra international library for unknown peak identification (Advanced Mass Spectral Database; www.mzcloud.org, accessed on 1 April 2021).
4.6. Analytical Performance
To check the robustness and the reliability of the developed analytical methods, 10 different proficiency urine testing samples from UNODC International Quality Assurance Program (some with no analytes, some with one and some with more substances), whose previous qualitative and quantitative GC–MS results were available, were re-analyzed using the present methods.
Moreover, we also tested 10 urine samples fortified with 1 ng/mL 40 different most popular NPS and main metabolites prepared within the framework of an Italian Project (“NPS-LABVEQ” project) founded by Italian antidrug policy department aimed to allow pharmacotoxicological laboratories along the Italian peninsula to identify these substances in biological and non-biological matrices with different NPS [ref. 34]. Finally, 20 blank urine samples from laboratory personnel were also tested to check for false positives during the different batches.
5. Conclusions
This study presents a comprehensive gas chromatography-mass spectrometry (GC-MS) and liquid chromatography (UHPLC)–high-resolution mass spectrometry (HRMS) general screening procedure for classic drugs and new psychoactive substances in urine of consumers involving an easy, quick and low-cost sample preparation. This screening method based on two different chromatographic and mass spectrometry methodologies can be applied to disclose suspected drugs of abuse related fatalities or acute intoxications occurring in emergency departments and drug addiction services.
References
- New Psychoactive Substances (NPS)
- European Drug Report 2020: Trends and Developments
- E. Marchei, R. Pacifici, G. Mannocchi, E. Marinelli, F.P. Busardò, S. Pichini. New synthetic opioids in biological and non-biological matrices: A review of current analytical methods. Trac Trends Anal. Chem., 2018. [DOI]
- R. Solimini, S. Pichini, R. Pacifici, F.P. Busardò, R. Giorgetti. Pharmacotoxicology of Non-fentanyl Derived New Synthetic Opioids. Front. Pharmacol., 2018. [DOI | PubMed]
- P. Armenian, K.T. Vo, J. Barr-Walker, K.L. Lynch. Fentanyl, fentanyl analogs and novel synthetic opioids: A comprehensive review. Neuropharmacology, 2018. [DOI | PubMed]
- S. Pichini, R. Pacifici, E. Marinelli, F.P. Busardò. European Drug Users at Risk from Illicit Fentanyls Mix. Front. Pharmacol., 2017. [DOI | PubMed]
- M.P. Prekupec, P.A. Mansky, M.H. Baumann. Misuse of Novel Synthetic Opioids: A Deadly New Trend. J. Addict. Med., 2017. [DOI | PubMed]
- S. Pichini, R. Solimini, P. Berretta, R. Pacifici, F.P. Busardò. Acute Intoxications and Fatalities from Illicit Fentanyl and Analogues: An Update. Ther. Drug Monit., 2018. [DOI | PubMed]
- I. Ojanperä, M. Gergov, I. Rasanen, P. Lunetta, S. Toivonen, E. Tiainen, E. Vuori. Blood Levels of 3-Methylfentanyl in 3 Fatal Poisoning Cases. Am. J. Forensic Med. Pathol., 2006. [DOI | PubMed]
- S. Zaami, E. Marinelli, M.R. Varì. New Trends of Substance Abuse during COVID-19 Pandemic: An International Perspective. Front. Psychiatry, 2020. [DOI | PubMed]
- L. Giommoni. Why we should all be more careful in drawing conclusions about how COVID-19 is changing drug markets. Int. J. Drug Policy, 2020. [DOI | PubMed]
- New Psychoactive Substances: Global Markets, Glocal Threats and the COVID-19 Pandemic
- A. Di Trana, J. Carlier, P. Berretta, S. Zaami, G. Ricci. Consequences of COVID-19 Lockdown on the Misuse and Marketing of Addictive Substances and New Psychoactive Substances. Front. Psychiatry, 2020. [DOI | PubMed]
- JUST-2017-AG-DRUG (GRANT AGREEMENT NUMBER-806996-JUSTSO)
- H. Fels, T. Dame, H. Sachs, F. Musshoff. Liquid chromatography-quadrupole-time-of-flight mass spectrometry screening procedure for urine samples in forensic casework compared to gas chromatography-mass spectrometry. Drug Test. Anal., 2016. [DOI | PubMed]
- G. Mannocchi, A. Di Trana, A. Tini, S. Zaami, M. Gottardi, S. Pichini, F.P. Busardò. Development and validation of fast UHPLC-MS/MS screening method for 87 NPS and 32 other drugs of abuse in hair and nails: Application to real cases. Anal. Bioanal. Chem., 2020. [DOI | PubMed]
- A. Di Trana, G. Mannocchi, F. Pirani, N. La Maida, M. Gottardi, S. Pichini, F.P. Busardò. A Comprehensive HPLC–MS-MS Screening Method for 77 New Psychoactive Substances, 24 Classic Drugs and 18 Related Metabolites in Blood, Urine and Oral Fluid. J. Anal. Toxicol., 2020. [DOI | PubMed]
- F. Xian, C.L. Hendrickson, A.G. Marshall. High resolution mass spectrometry. Anal. Chem., 2012. [DOI | PubMed]
- M.D. Cas, E. Casagni, S. Arnoldi, V. Gambaro, G. Roda. Screening of new psychoactive substances (NPS) by gas-chromatography/time of flight mass spectrometry (GC/MS-TOF) and application to 63 cases of judicial seizure. Forensic Sci. Int. Synerg., 2019. [DOI | PubMed]
- M. Grappa, C. Kaufmann, F. Streitb, L. Binderb. Systematic forensic toxicological analysis by liquid-chromatography-quadrupole-time-of-flight mass spectrometry in serum and comparison to gas chromatography-mass spectrometry. Forensic Sci. Int., 2018. [DOI | PubMed]
- A. Ameline, D. Garnier, L. Gheddar, C. Richeval, J.-M. Gaulier, J.-S. Raul, P. Kintz. Identification and analytical characterization of seven NPS, by combination of 1H NMR spectroscopy, GC–MS and UPLC–MS/MS®, to resolve a complex toxicological fatal case. Forensic Sci. Int., 2019. [DOI | PubMed]
- N. La Maida, M. Pellegrini, E. Papaseit, C. Pérez-Mañá, L. Poyatos, M. Ventura, L. Galindo, F.P. Busardò, S. Pichini, M. Farré. Determination of the Synthetic Cannabinoids JWH-122, JWH-210, UR-144 in Oral Fluid of Consumers by GC-MS and Quantification of Parent Compounds and Metabolites by UHPLC-MS/MS. Int. J. Mol. Sci., 2020. [DOI]
- E.F. McCance-Katz, L.E. Sullivan, S. Nallani. Drug Interactions of Clinical Importance among the Opioids, Methadone and Buprenorphine, and Other Frequently Prescribed Medications: A Review. Am. J. Addict., 2009. [DOI | PubMed]
- S. Pichini, A. Di Trana, M. Torrens, N. Scherbaum, S. Zaami. Editorial: New Trends of Substance Abuse: Looking for New Psychotropic Effects of Chem Sex Drugs, Cognitive Enhancers, and New Psychoactive Substances. Front. Psychiatry, 2020. [DOI | PubMed]
- S. Zaami. New psychoactive substances: Concerted efforts and common legislative answers for stemming a growing health hazard. Eur. Rev. Med. Pharmacol. Sci., 2019. [PubMed]
- S. Graziano, L. Anzillotti, G. Mannocchi, S. Pichini, F.P. Busardò. Screening methods for rapid determination of new psychoactive substances (NPS) in conventional and non-conventional biological matrices. J. Pharm. Biomed. Anal., 2019. [DOI | PubMed]
- H. Oberacher, K. Arnhard. Compound identification in forensic toxicological analysis with untargeted LC–MS-based techniques. Bioanalysis, 2015. [DOI | PubMed]
- A.H. Wu. Mechanism of interferences for gas chromatography/mass spectrometry analysis of urine for drugs of abuse. Ann. Clin. Lab. Sci., 1995. [PubMed]
- F. Guale, S. Shahreza, J.P. Walterscheid, H.-H. Chen, C. Arndt, A.T. Kelly, A. Mozayani. Validation of LC–TOF-MS Screening for Drugs, Metabolites, and Collateral Compounds in Forensic Toxicology Specimens. J. Anal. Toxicol., 2013. [DOI | PubMed]
- M. Pellegrini, E. Marchei, E. Papaseit, M. Farré, S. Zaami. UHPLC-HRMS and GC-MS Screening of a Selection of Synthetic Cannabinoids and Metabolites in Urine of Consumers. Medicina, 2020. [DOI | PubMed]
- A. Salomone, D. Di Corcia, P. Negri, M. Kolia, E. Amante, E. Gerace, M. Vincenti. Targeted and untargeted detection of fentanyl analogues and their metabolites in hair by means of UHPLC-QTOF-HRMS. Anal. Bioanal. Chem, 2020. [DOI | PubMed]
- E. Tyrkkö, A. Pelander, I. Ojanperä. Differentiation of structural isomers in a target drug database by LC/Q-TOFMS using fragmentation prediction. Drug Test. Anal., 2010. [DOI | PubMed]
- S. Zaami, F.P. Busardò, S. Pichini, R. Pacifici, E. Marinelli. The value of toxicological and forensic analyses in the global challenge to health risks caused by new psychoactive substances. Eur. Rev. Med. Pharmacol. Sci., 2019. [PubMed]
- R. Tittarelli, N.M. Di Luca, R. Pacifici, S. Pichini, A. Del Rio, F.P. Busardò. Commentary—Heroin purity and adulteration: An updated snapshot from the Italian Early Warning System. Eur. Rev. Med. Pharmacol. Sci, 2020. [PubMed]
