Development of a Novel Microwave Distillation Technique for the Isolation of Cannabis sativa L. Essential Oil and Gas Chromatography Analyses for the Comprehensive Characterization of Terpenes and Terpenoids, Including Their Enantio-Distribution
Abstract
A microwave distillation method was optimized for the extraction and isolation of cannabis essential oil from fresh and dried hemp inflorescences. The developed method enabled us to obtain a distilled product rich in terpenes and terpenoid compounds, responsible of the typical and unique smell of the cannabis plant. The distillate from different hemp cultivars, including Kompolti, Futura 75, Carmagnola, Felina 32 and Finola were characterized by using a gas chromatograph equipped with both mass spectrometer and flame ionization detectors. In a single chromatographic run, the identity and absolute amounts of distilled compounds were determined. Peak assignment was established using a reliable approach based on the usage of two identification parameters, named reverse match, and linear retention index filter. Absolute quantification (mg g−1) of the analytes was performed using an internal standard method applying the flame ionization detector (FID) response factors according to each chemical family. An enantio-GC-MS method was also developed in order to evaluate the enantiomeric distribution of chiral compounds, an analytical approach commonly utilized for establishing the authenticity of suspicious samples.
Article type: Research Article
Keywords: cannabis EO, hemp, microwave hydro-distillation, GC-MS/FID, enantio-GC
Affiliations: Chromaleont s.r.l., c/o Department of Chemical, Biological, Pharmaceutical and Environmental Sciences, University of Messina, Viale Palatucci, Polo Universitario Annunziata, 98168 Messina, Italy; filippo.alibrando@chromaleont.it (F.A.); federica.vento@chromaleont.it (F.V.); emanuela.trovato@chromaleont.it (E.T.); pdugo@unime.it (P.D.); lmondello@unime.it (L.M.); Department of Mathematical and Computer Science, Physical Sciences and Earth Sciences, University of Messina, Viale Ferdinando Stagno d’Alcontres 31, 98166 Messina, Italy; mzoccali@unime.it; Department of Agriculture, Food and Environment (Di3A), University of Catania, via Valdisavoia 5, 95123 Catania, Italy; paolo.guarnaccia@unict.it; Department of Chemical, Biological, Pharmaceutical and Environmental Sciences, University of Messina, Viale Palatucci, Polo Universitario Annunziata, 98168 Messina, Italy; BeSep s.r.l., c/o Department of Chemical, Biological, Pharmaceutical and Environmental Sciences, University of Messina, Viale Palatucci, Polo Universitario Annunziata, 98168 Messina, Italy
License: © 2021 by the authors. CC BY 4.0 Licensee MDPI, Basel, Switzerland. This article is an open access article distributed under the terms and conditions of the Creative Commons Attribution (CC BY) license (http://creativecommons.org/licenses/by/4.0/).
Article links: DOI: 10.3390/molecules26061588 | PubMed: 33805665 | PMC: PMC8000122
Relevance: Relevant: mentioned in keywords or abstract
Full text: PDF (319 KB)
1. Introduction
Cannabis Sativa L. has gained much attention over the last decades due to the ability of this plant to biosynthesize phytocannabinoids, a class of terpenophenolic compounds whit a well-known pharmacological activity. Undoubtedly, the enormous interest around these compounds plays a fundamental role in the development of medical cannabis preparation [ref. 1]. Cannabis essential oils (EOs) have been attracting more and more attention from different industries. The typical and unique smell of this plant generates a particular interest around the global flavor and fragrance market, for which a detailed study on hydrocarbon terpenes and oxygenated derivatives in cannabis EO was necessary. In 1999, the European Commission’s Scientific Committee on Cosmetic Products and Non-Food Products (SCCNFP) identified a set of fragrance allergens with a well-recognized potential to cause contact allergy in susceptible individuals [ref. 2]. In such respect, the European Directive 2003/15/EC reported the cosmetic irritant list, for which their presence must be specified in the ingredient list of cosmetic products in order to avoid allergic reactions in consumers. Consequently, it becomes crucial to also analyze the terpene content in cannabis EO with the aim to provide detailed information in terms of quality and safety, especially in cosmetic fields, considering that cannabis EO is used in cream, ointment, gel, or applied over the skin [ref. 3].
Data in the literature have also highlighted a probable contribution of terpenes on the pharmaceutical properties of cannabis-based medical products, defining the synergic action of terpenes and cannabinoids as entourage effects [ref. 4]. In such respect, α-pinene has been described as an acetylcholinesterase inhibitor that counteracts the Δ9-tetrahydrocannabinol (δ9-THC) intoxicant effect [ref. 5]. Myrcene is one of the predominant monoterpene hydrocarbons detected in numerous cannabis varieties and it is believed to be responsible for the narcotic-like sedative effects of several cannabis preparations [ref. 3]. Additionally, (E)-caryophyllene, which represents the most abundant sesquiterpene hydrocarbon, interacts with the cannabinoid receptor type 2 and is responsible for the anti-inflammatory effects of some cannabis-based preparations [ref. 5]. Thus, apart from the aromatic properties, these compounds also show relevant therapeutic effects that emphasize the importance to investigate the terpene content of cannabis plants, especially those characterizing medical chemotypes used for therapeutic purposes [ref. 4].
From the botanical point of view, Cannabis Sativa L. is a dioecious, rarely monoecious, annual flowering plant, member of the Cannabaceae family [ref. 6]. Female inflorescences are densely covered with glandular trichomes containing resin, one of the most valuable cannabis products with its various psychoactive and medicinal properties [ref. 7]. The resin contains secondary metabolites including terpene molecules. Over 200 terpenes have already been identified in the flowers and leaves of the cannabis plant, which may represent up to 10% of the total trichome content [ref. 8]. They are repellent chemical constituents that the plant utilizes as defensive strategy against many insects [ref. 9]. The terpene fingerprint is a phenotypic trait that shows high variability both across different cannabis cultivars and between specimens of the same variety exposed to different environmental conditions [ref. 9]. For example, it has been demonstrated that the quantity of terpenes increases with light exposition and decreases with soil fertility [ref. 7]. In addition, the position of the inflorescence along the flowering stream influences the characteristic of the terpene profiles, according to the light exposition projected from above [ref. 10]. All these factors highlight arduous work of the analysts, complicated even by the fact that over the time numerous botanical varieties and different genetic manipulations have been produced. Nowadays, approximately 700 cultivars have ready been described [ref. 11].
Data in the literature report numerous methodologies applied for the production of cannabis EO from inflorescences. In 2003, Romano and Hazekamp [ref. 12] provided an extensive research study in which they compared the extraction performances of different solvents including ethanol, naphtha, petroleum ether, and olive oil. The use of olive oil as an extraction solvent was found to be the most performant in term of terpene quantity extracted, probably due to its highly non-polar and non-volatile character, which guaranteed the correct solubilization of terpenes, avoiding their loss by evaporation [ref. 12]. Steam-distillation (SD) and hydro-distillation (HD) have been also utilized for the extraction and isolation of cannabis EO. In this regard, Fiorini et al. [ref. 3] evaluated the effectiveness of these two different distillation techniques. HD technique, performed using a mantle system equipped with Clevenger-type apparatus, was revealed to be more efficient in the sesquiterpenes and cannabinoids enrichment of cannabis EO. On the other hand, the SD approach provided a crude oil richer in monoterpenes than HD. Similar results were obtained also by Romano and Hazekamp [ref. 12]. Ternelli et al. [ref. 13] introduced an innovative microwave apparatus to perform the distillation of cannabis EO. Microwave-assisted hydro-distillation (MAHD) has also been successfully applied by Fiorini et al. [ref. 14]. In this research, the optimal operative conditions such as microwave irradiation power, temperature, and distillation time were carefully optimized, confirming the high effectiveness of the MAHD methodology.
Gas chromatography (GC) is the mandatory separation technique useful for accurate terpene and terpenoids analysis. When coupled to mass spectrometry (MS), the GC methodology reveals the correct identity of the components of a mixture, providing analytical results which are highly reliable. However, in the case of monoterpene or sesquiterpene chemical classes, the fragmentation in ion source produces undistinguishable MS spectra, and difficulties arise in peak identification. In order to support the identification of compounds, a linear retention index (LRI) system is commonly used nowadays. Utilizing the information on retention time and MS fragmentation facilitates the peak assignment, avoiding mistaken identifications. The quantification of volatile compounds is widely performed through the use of a flame ionization detector (FID), one of the most used devices in the flavor and fragrance field due to its low cost and simplicity [ref. 15]. Enantio-GC analysis of terpenes and oxygenated derivatives is one of the most common analytical techniques used in control laboratories for revealing an eventual adulteration or manipulation and guarantees the genuineness of an EO. In nature, the chirality presents a highly typical distribution of enantiomers resulting as a useful tool for the detection of human interference [ref. 16]. The enantiomeric distribution of terpenes and terpenoids is investigated by using a chiral GC column coated with a cyclodextrin-based stationary phase. To the best of the authors’ knowledge, only two manuscripts are reported in the literature for cannabis EO chiral investigation [ref. 8,ref. 14].
In light of the studies reported so far, the authors decided to develop a microwave-based distillation method for isolating cannabis EOs from five different hemp cultivars (Kompolti, Futura 75, Carmagnola, Felina 32 and Finola) and provide a detailed study of their volatile compositions. Terpenes, terpenoids, and cannabinoid substances were revealed using simultaneous MS and FID detections. In order to investigate the enantiomeric distribution in natural cannabis EOs, an enantio-GC-MS method was successfully optimized, and the trends of the most abundant optically active compounds are discussed in this manuscript.
2. Results and Discussion
2.1. Optimization of the Distillation Method
The aim of this study was to develop a solventless distillation protocol for obtaining good quality aromatic cannabis EO from different cultivars. For this purpose, a microwave-based distillation instrument, named Milestone ETHOS-X, was utilized. Microwave–water interactions cause an increase in the vibrational kinetic energy of molecules and results in the dispersion of heat to the vegetable material, and in particular to its oleiferous structures. Thus, heating induces the distension and stretching of the glandular trichome until the oleiferous glands break. Consequentially, an oil is extracted from the vegetable material, and a rapid evaporation of oil–water emulsion occurs. As reported in the literature [ref. 17], the distillation temperature is strictly connected not only to the type of plant and to the parts of the vegetal material, such as stems, leaves, flowers, or fruits, but also to the selected microwave power.
In the first part of this study, a moderate amount of time was spent on optimizing the distillation method. Microwave power, temperature, and distillation time were the parameters evaluated, with the aim to reach the highest yield of distillation without compromising the organoleptic properties of the cannabis EO. The optimization of the distillation method was carried out using a dried hemp variety of Futura 75. The first drops of EO were obtained after about 10 min of distillation at 1200 W, when a temperature of about 47 °C was registered in the glass reactor. After reaching the distillation temperature, the microwave power was reduced up to 700 W to avoid an excessive heating effect which could cause toasting of the inflorescences. Lower values of power (W) were also tested, but the distillation yields were not comparable with those obtained using 700 W. For a global evaluation of the distillation efficiency, four different time periods were tested, maintaining constant the microwave power at 700 W, including 10 min, 20 min, 30 min and 40 min. Longer time periods were not considered in this study due to the darker and certainly less-pleasant olfactive properties of cannabis oil.
In term of percentage yield, the optimal conditions were obtained after 40 min of distillation time, counting a yield of 0.035% (w/w). Lower values of 0.024%, 0.025% and 0.019% were achieved after 30 min, 20 min and 10 min, respectively. Fresh inflorescences provided higher yields of cannabis EO than dried materials, which was in accordance with data reported in the literature [ref. 3]. Overall, Kompolti and Carmagnola were the fresh varieties more profitable in terms of oil production, producing yields of 0.274% and 0.210%, respectively. The obtained results were in good agreement with those published previously [ref. 14,ref. 18]. With respect to the dried inflorescences, the most abundant yields were obtained using Finola hemp inflorescences (0.109%). For a comprehensive evaluation, intra-day repeatability tests of the MAHD technique were also performed through analysis in triplicate of the same sample. The developed protocol showed a good data repeatability considering the relative standard deviation (RSD) of distillation yields of 16.63%.
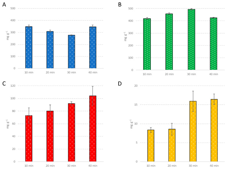
From the point of view of the chemical profile, the levels of monoterpenes, sesquiterpenes, oxygenated compounds, and cannabinoids were monitored at different time periods of distillation, as shown in Figure 1. Based on the obtained results, oxygenated compounds (especially sesquiterpenoids) and cannabinoids required longer distillation times for reaching the most abundant levels due to their higher molecular weights than terpenes. On the other hand, the faster approaches (10 min and 20 min) were revealed to be efficient in monoterpene and sesquiterpene cannabis EO enrichment. All single volatile components and chemical classes analyzed at different distillation programs are reported in Table S1.

On the basis of the observations reported so far, the microwave-based distillation method was optimized as follows: 1200 W for 10 min, and 700 W for 40 min. A clear and transparent oil distillate of light-yellow color, characterized by a good quality fragrance, was obtained. With respect to the traditional solvent-based extractions, the developed MADH method proved to be extremely advantageous not only in terms of practical aspects, but also in terms of cost and time-consumption. The operational simplicity combined to the lowest possible consumption of solvents and waste generation makes the method highly suitable for cannabis oil production.
2.2. Determination of Volatile Fraction in Cannabis EOs by Using GC-MS and GC-FID
Fresh and dried hemp inflorescences from different varieties, including Kompolti, Futura 75, Carmagnola, Felina 32, and Finola were extracted and isolated by using the previously optimized distillation program. The detailed compositions of each distilled oil were analyzed by using a gas chromatograph equipped with MS and FID detectors. Amounts of identified compounds, as well as chemical classes including hydrocarbons (monoterpenes, sesquiterpenes, diterpenes, and aliphatic) and oxygenated compounds (aldehydes, alcohols, esters, ketones, and cannabinoids), were investigated in detail (Table 1 and Table 2). The identity of components was revealed by using two different identification parameters. The first regarded the spectral MS similarity obtained when comparing the experimental spectra with those catalogued in commercial database, while the second parameter filtered the candidates on the correspondence of the LRIs listed in a dedicated library. This type of approach revealed, in an unequivocal manner, the identity of unknown compounds, ensuring an elevated degree of data reliability. In addition, the utilization of the double filter revealed the identity of compounds avoiding the utilization of authentic and pure standards for their confirmation. This concept assumes relevance both from the economic point of view and the unavailability of standards regularly detected in cannabis samples, e.g., selina-3,7-diene, α and γ-eudesmol, β and γ-selinene, and other terpenes [ref. 7]. A total of 165 compounds were identified, representing more than 90% of the entire volatile fraction. Absolute (mg g−1) and relative (FID area normalization) quantifications were carried out applying FID response factors (RFs) according to each chemical family. As reported in the literature, the FID system is defined as a “carbon counting device” [ref. 19] due to the fact that the response to hydrocarbons is proportional to the number of carbon atoms in the molecule. Variable responses are obtained for compounds containing heteroatoms. In fact, a carbon atom which is associated with a heteroatom (oxidized carbon) cannot produce a response to an FID detector; thus, this behavior is resolved by using a correction factor [ref. 20]. In such respect, FID peak areas of oxygenated compounds such as aldehydes, ketones and alcohols were corrected by a value of 1.3. In the case of epoxide and ester compounds, RFs of 1.5 and 1.6 were utilized, respectively. RF values were established on the base of previously consolidated procedures [ref. 21,ref. 22]. In the case of cannabinoids, for the first time, their contents have been determined with an FID detector by mean RFs. In such respect, cannabinoid standards were spiked with cannabigerorcin utilized as an internal standard (final concentration 100 mg L−1, except for Δ9-THC, 10 mg L−1) and injected consecutively for three runs. The formula used was:
where [analyte] represents the concentration of target cannabinoids (e.g., CBN or Δ9-THC), Areaanalyte is its absolute peak area, and [ISTD] and AreaISTD terms are the concentration and peak area of the cannabigerorcin internal standard, respectively. Experimental results demonstrated that the RFs of investigated cannabinoids, reported in Table 3, were counted as a value of 1.0. Absolute quantification was carried out by means of three different internal standards: nonane hydrocarbon (ISTD 1) was utilized to quantify the compounds eluted in the monoterpene region; nonadecane hydrocarbon (ISTD 2) for the quantification of components in the sesquiterpene region; and cannabigerorcin (ISTD 3) for determining the cannabinoid content in the last part of the GC chromatogram.
Table 1: List of volatile compounds detected in cannabis essential oils (EOs) distilled from fresh and dried inflorescences of Kompolti and Futura 75 cultivars. Abbreviations: R.F.: response factor; match: database spectral matching; LRIexp: experimental LRI; LRIref: reference LRI. Quantitative results are expressed both in absolute manner (mg g−1) and in relative percentages (%). The compounds are also grouped in monoterpene, sesquiterpene, diterpene and aliphatic hydrocarbons and as well as oxygenated compounds including aldehyde, alcohol, ester, ketone, epoxide, and cannabinoid. The cannabis EO yields are also reported.
| ID | Name | ChemicalSubclass | R.F. | Match | LRIexp | LRIref | Fresh Kompolti | Dried Kompolti | Fresh Futura 75 | Dried Futura 75 | ||||
|---|---|---|---|---|---|---|---|---|---|---|---|---|---|---|
| mg g−1 | % | mg g−1 | % | mg g−1 | % | mg g−1 | % | |||||||
| 1 | Hashishene | Monoterpene | 1.0 | 947 | 921 | 921 | 0.19 ± 0.02 | 0.02 ± 0.00 | 1.35 ± 0.01 | 0.15 ± 0.00 | 2.78 ± 0.01 | 0.30 ± 0.00 | 0.71 ± 0.02 | 0.08 ± 0.00 |
| 2 | Tricyclene | Monoterpene | 1.0 | 931 | 924 | 923 | 0.06 ± 0.01 | 0.01 ± 0.00 | – | – | – | – | – | – |
| 3 | α-Thujene | Monoterpene | 1.0 | 991 | 927 | 927 | 0.40 ± 0.03 | 0.04 ± 0.00 | – | – | 0.53 ± 0.01 | 0.06 ± 0.00 | 0.39 ± 0.01 | 0.04 ± 0.00 |
| 4 | Thuja-2,4(10)-diene | Monoterpene | 1.0 | 950 | 954 | 953 | – | – | – | – | – | – | – | – |
| 5 | α-Pinene | Monoterpene | 1.0 | 980 | 935 | 933 | 270.14 ± 23.12 | 29.33 ± 0.04 | 21.43 ± 0.05 | 2.37 ± 0.02 | 181.89 ± 0.64 | 19.50 ± 0.32 | 117.81 ± 2.65 | 12.86 ± 0.08 |
| 6 | α-Fenchene | Monoterpene | 1.0 | 976 | 951 | 950 | 0.13 ± 0.01 | 0.01 ± 0.00 | 0.08 ± 0.01 | 0.01 ± 0.00 | 0.20 ± 0.01 | 0.02 ± 0.00 | 0.16 ± 0.00 | 0.02 ± 0.00 |
| 7 | Camphene | Monoterpene | 1.0 | 995 | 951 | 953 | 4.50 ± 0.38 | 0.49 ± 0.00 | 0.88 ± 0.01 | 0.10 ± 0.00 | 3.35 ± 0.01 | 0.36 ± 0.01 | 2.06 ± 0.04 | 0.22 ± 0.00 |
| 8 | Sabinene | Monoterpene | 1.0 | 886 | 974 | 972 | 0.20 ± 0.02 | 0.02 ± 0.00 | – | – | 0.72 ± 0.00 | 0.08 ± 0.00 | 0.24 ± 0.01 | 0.03 ± 0.00 |
| 9 | β-Pinene | Monoterpene | 1.0 | 986 | 980 | 978 | 104.13 ± 8.90 | 11.31 ± 0.01 | 5.71 ± 0.04 | 0.63 ± 0.00 | 54.17 ± 0.12 | 5.81 ± 0.09 | 22.54 ± 0.48 | 2.46 ± 0.01 |
| 10 | 6-methyl-Hept-5-en-2-one | Ketone | 1.3 | 920 | 986 | 986 | – | – | 0.33 ± 0.01 | 0.03 ± 0.00 | – | – | 0.24 ± 0.01 | 0.02 ± 0.00 |
| 11 | Myrcene | Monoterpene | 1.0 | 982 | 993 | 991 | 300.38 ± 25.44 | 32.62 ± 0.02 | 10.83 ± 0.10 | 1.20 ± 0.00 | 143.12 ± 0.37 | 15.34 ± 0.23 | 61.81 ± 1.24 | 6.75 ± 0.03 |
| 12 | m-Mentha-1(7), 8-diene | Monoterpene | 1.0 | 873 | 1002 | 1001 | 0.11 ± 0.01 | 0.01 ± 0.00 | – | – | – | – | – | – |
| 13 | n-Octanal | Aldehyde | 1.3 | 975 | 1006 | 1006 | – | – | – | – | – | – | – | – |
| 14 | α-Phellandrene | Monoterpene | 1.0 | 978 | 1008 | 1007 | 0.20 ± 0.02 | 0.02 ± 0.00 | 0.30 ± 0.01 | 0.03 ± 0.00 | 2.13 ± 0.02 | 0.23 ± 0.01 | 0.55 ± 0.01 | 0.06 ± 0.00 |
| 15 | δ3-Carene | Monoterpene | 1.0 | 986 | 1011 | 1009 | – | – | 0.83 ± 0.01 | 0.09 ± 0.00 | 6.02 ± 0.01 | 0.65 ± 0.01 | 27.03 ± 0.54 | 2.95 ± 0.01 |
| 16 | hexyl-Acetate | Ester | 1.6 | 981 | 1013 | 1012 | 0.16 ± 0.01 | 0.01 ± 0.00 | – | – | – | – | – | – |
| 17 | α-Terpinene | Monoterpene | 1.0 | 983 | 1019 | 1018 | 0.60 ± 0.08 | 0.07 ± 0.00 | 0.30 ± 0.01 | 0.03 ± 0.00 | 1.71 ± 0.01 | 0.18 ± 0.00 | 0.63 ± 0.01 | 0.07 ± 0.00 |
| 18 | p-Cymene | Monoterpene | 1.0 | 963 | 1026 | 1025 | 0.16 ± 0.02 | 0.02 ± 0.00 | 0.72 ± 0.01 | 0.08 ± 0.00 | 0.94 ± 0.00 | 0.10 ± 0.00 | 2.78 ± 0.05 | 0.30 ± 0.00 |
| 19 | Limonene | Monoterpene | 1.0 | 991 | 1031 | 1030 | 74.26 ± 6.26 | 8.06 ± 0.00 | 6.53 ± 0.31 | 0.71 ± 0.00 | 21.51 ± 0.05 | 2.31 ± 0.03 | 11.23 ± 0.22 | 1.23 ± 0.00 |
| 20 | β-Phellandrene | Monoterpene | 1.0 | 975 | 1032 | 1031 | 0.54 ± 0.03 | 0.06 ± 0.00 | 5.87 ± 0.03 | 0.63 ± 0.01 | – | – | ||
| 21 | Eucalyptol | Alcohol | 1.3 | 984 | 1034 | 1032 | 7.29 ± 0.68 | 0.61 ± 0.01 | 3.06 ± 0.04 | 0.26 ± 0.00 | – | – | 1.94 ± 0.04 | 0.16 ± 0.00 |
| 22 | (Z)-, β-Ocimene | Monoterpene | 1.0 | 951 | 1036 | 1035 | 0.10 ± 0.01 | 0.01 ± 0.00 | 0.08 ± 0.01 | 0.01 ± 0.00 | 4.72 ± 0.01 | 0.51 ± 0.01 | 7.75 ± 0.16 | 0.85 ± 0.00 |
| 23 | (E)-, β-Ocimene | Monoterpene | 1.0 | 980 | 1047 | 1046 | 0.02 ± 0.00 | 0.00 ± 0.00 | 2.08 ± 0.03 | 0.23 ± 0.00 | 33.59 ± 0.07 | 3.60 ± 0.04 | 23.05 ± 0.43 | 2.52 ± 0.01 |
| 24 | γ-Terpinene | Monoterpene | 1.0 | 985 | 1060 | 1058 | 1.22 ± 0.10 | 0.13 ± 0.00 | 0.48 ± 0.01 | 0.05 ± 0.00 | 1.67 ± 0.01 | 0.18 ± 0.00 | 0.81 ± 0.02 | 0.09 ± 0.00 |
| 25 | (Z)-Sabinene hydrate | Alcohol | 1.3 | 963 | 1072 | 1069 | 1.03 ± 0.08 | 0.09 ± 0.00 | 0.89 ± 0.01 | 0.08 ± 0.00 | 1.00 ± 0.01 | 0.08 ± 0.00 | 1.06 ± 0.01 | 0.09 ± 0.00 |
| 26 | Octanol | Alcohol | 1.3 | 920 | 1072 | 1076 | – | – | – | – | – | – | – | – |
| 27 | Terpinolene | Monoterpene | 1.0 | 992 | 1088 | 1086 | 1.45 ± 0.12 | 0.16 ± 0.00 | 1.22 ± 0.02 | 0.14 ± 0.00 | 58.46 ± 0.19 | 6.27 ± 0.07 | 4.74 ± 0.09 | 0.52 ± 0.00 |
| 28 | Fenchone | Ketone | 1.3 | 990 | 1091 | 1090 | 0.90 ± 0.08 | 0.08 ± 0.00 | 0.18 ± 0.05 | 0.02 ± 0.00 | – | – | – | – |
| 29 | p-Cymenene | Monoterpene | 1.0 | 964 | 1093 | 1093 | – | – | 0.53 ± 0.03 | 0.06 ± 0.00 | 0.68 ± 0.01 | 0.07 ± 0.00 | 0.13 ± 0.01 | 0.01 ± 0.00 |
| 30 | Linalool | Alcohol | 1.3 | 994 | 1102 | 1101 | 12.17 ± 0.99 | 1.02 ± 0.00 | 2.86 ± 0.04 | 0.24 ± 0.00 | 1.83 ± 0.01 | 0.15 ± 0.00 | 2.42 ± 0.04 | 0.20 ± 0.00 |
| 31 | (E)-Sabinene hydrate | Alcohol | 1.3 | 976 | 1104 | 1099 | 0.38 ± 0.05 | 0.03 ± 0.00 | 0.39 ± 0.05 | 0.03 ± 0.00 | – | – | 0.42 ± 0.02 | 0.03 ± 0.00 |
| 32 | n-Nonanal | Aldehyde | 1.3 | 972 | 1107 | 1107 | 0.29 ± 0.04 | 0.02 ± 0.00 | 1.46 ± 0.03 | 0.12 ± 0.00 | 0.50 ± 0.01 | 0.04 ± 0.00 | 0.62 ± 0.02 | 0.05 ± 0.00 |
| 33 | Fenchyl alcohol | Alcohol | 1.3 | 996 | 1122 | 1123 | 4.61 ± 0.37 | 0.39 ± 0.00 | 4.09 ± 0.09 | 0.35 ± 0.01 | 1.21 ± 0.02 | 0.10 ± 0.00 | 1.22 ± 0.02 | 0.10 ± 0.00 |
| 34 | (E)-, p-Mentha-2,8-dien-1-ol | Alcohol | 1.3 | 954 | 1125 | 1122 | – | – | – | – | 0.18 ± 0.00 | 0.02 ± 0.00 | – | – |
| 35 | (Z)-, p-Menth-2-en-1-ol | Alcohol | 1.3 | 915 | 1129 | 1124 | 2.95 ± 0.24 | 0.25 ± 0.00 | 2.57 ± 0.03 | 0.22 ± 0.00 | – | – | – | – |
| 36 | allo-Ocim-(4E,6Z)-ene | Monoterpene | 1.0 | 977 | 1130 | 1128 | – | – | – | – | 1.48 ± 0.02 | 0.16 ± 0.00 | 1.40 ± 0.03 | 0.15 ± 0.00 |
| 37 | Limona ketone | Ketone | 1.3 | 967 | 1128 | 1131 | – | – | – | – | – | – | – | – |
| 38 | (Z)-, p-Mentha-2,8-dien-1-ol | Alcohol | 1.3 | 980 | 1139 | 1138 | – | – | 1.86 ± 0.02 | 0.16 ± 0.00 | – | – | 0.45 ± 0.08 | 0.03 ± 0.00 |
| 39 | (E)-Myroxide | Epoxide | 1.5 | 973 | 1141 | 1141 | – | – | – | – | – | – | 0.52 ± 0.05 | 0.04 ± 0.00 |
| 40 | (E)-Pinocarveol | Alcohol | 1.3 | 992 | 1144 | 1141 | – | – | 3.50 ± 0.21 | 0.30 ± 0.02 | – | – | 0.13 ± 0.01 | 0.01 ± 0.00 |
| 41 | Ipsdienol | Alcohol | 1.3 | 985 | 1145 | 1146 | 1.63 ± 0.13 | 0.14 ± 0.00 | – | – | – | – | – | – |
| 42 | Myrcenone | Ketone | 1.3 | 924 | 1148 | 1149 | 0.62 ± 0.05 | 0.05 ± 0.00 | – | – | 0.11 ± 0.01 | 0.01 ± 0.00 | – | – |
| 43 | neo-Isopulegol | Alcohol | 1.3 | 914 | 1150 | 1148 | 0.21 ± 0.02 | 0.02 ± 0.00 | – | – | – | – | – | – |
| 44 | (Z)-Pinene hydrate | Alcohol | 1.3 | 943 | 1149 | 1144 | – | – | – | – | – | – | – | – |
| 45 | Camphene hydrate | Alcohol | 1.3 | 977 | 1158 | 1156 | 0.21 ± 0.02 | 0.02 ± 0.00 | – | – | – | – | – | – |
| 46 | (E)-Verbenol | Alcohol | 1.3 | 940 | 1149 | 1145 | – | – | 0.31 ± 0.01 | 0.03 ± 0.00 | 0.29 ± 0.03 | 0.02 ± 0.00 | 0.16 ± 0.01 | 0.01 ± 0.00 |
| 47 | β-Pinene oxide | Epoxide | 1.5 | 926 | 1153 | 1156 | – | – | 0.64 ± 0.01 | 0.05 ± 0.00 | 0.74 ± 0.01 | 0.05 ± 0.00 | 0.18 ± 0.01 | 0.01 ± 0.00 |
| 48 | Camphene hydrate | Alcohol | 1.3 | 910 | 1158 | 1156 | – | – | 0.42 ± 0.01 | 0.04 ± 0.00 | – | – | – | – |
| 49 | Menthone | ketone | 1.3 | 981 | 1159 | 1158 | – | – | – | – | – | – | 1.55 ± 0.03 | 0.13 ± 0.00 |
| 50 | (E)-Pinocamphone | ketone | 1.3 | 934 | 1163 | 1160 | – | – | 0.25 ± 0.01 | 0.02 ± 0.00 | – | – | – | – |
| 51 | Pinocarvone | ketone | 1.3 | 981 | 1166 | 1164 | – | – | 1.09 ± 0.02 | 0.09 ± 0.00 | 0.26 ± 0.01 | 0.02 ± 0.00 | – | – |
| 52 | Borneol | Alcohol | 1.3 | 998 | 1175 | 1173 | 2.14 ± 0.17 | 0.18 ± 0.00 | 2.66 ± 0.03 | 0.23 ± 0.00 | 0.92 ± 0.01 | 0.08 ± 0.00 | – | – |
| 53 | Menthol | Alcohol | 1.3 | 986 | 1180 | 1184 | – | – | – | – | – | – | 1.56 ± 0.06 | 0.13 ± 0.00 |
| 54 | Terpinen-4-ol | Alcohol | 1.3 | 982 | 1183 | 1184 | 1.09 ± 0.10 | 0.09 ± 0.00 | 0.99 ± 0.02 | 0.08 ± 0.00 | 0.85 ± 0.01 | 0.07 ± 0.00 | 0.85 ± 0.07 | 0.07 ± 0.01 |
| 55 | p-Cymen-8-ol | Alcohol | 1.3 | 913 | 1190 | 1189 | – | – | 0.95 ± 0.01 | 0.08 ± 0.00 | 0.85 ± 0.01 | 0.07 ± 0.00 | 1.18 ± 0.07 | 0.10 ± 0.01 |
| 56 | hexyl-Butyrate | Ester | 1.6 | 988 | 1193 | 1195 | 0.53 ± 0.05 | 0.04 ± 0.00 | – | – | 1.20 ± 0.03 | 0.08 ± 0.00 | 0.52 ± 0.07 | 0.04 ± 0.01 |
| 57 | α-Terpineol | Alcohol | 1.3 | 993 | 1198 | 1195 | 3.50 ± 0.28 | 0.29 ± 0.00 | 2.46 ± 0.02 | 0.21 ± 0.00 | 0.93 ± 0.01 | 0.08 ± 0.00 | 1.02 ± 0.06 | 0.09 ± 0.01 |
| 58 | Myrtenol | Alcohol | 1.3 | 860 | 1200 | 1202 | – | – | 0.95 ± 0.02 | 0.08 ± 0.00 | – | – | – | – |
| 59 | octyl-Acetate | Ester | 1.6 | 970 | 1212 | 1214 | – | – | – | – | – | – | – | – |
| 60 | (E)-Piperitol | Alcohol | 1.3 | 936 | 1213 | 1209 | – | – | 0.34 ± 0.04 | 0.03 ± 0.00 | – | – | – | – |
| 61 | endo-Fenchyl acetate | Ester | 1.6 | 897 | 1220 | 1221 | – | – | – | – | – | – | – | – |
| 62 | (E)-Carveol | Alcohol | 1.3 | 934 | 1223 | 1223 | – | – | 0.56 ± 0.01 | 0.05 ± 0.00 | – | – | – | – |
| 63 | Citronellol | Alcohol | 1.3 | 992 | 1229 | 1232 | 0.89 ± 0.07 | 0.07 ± 0.00 | 0.61 ± 0.01 | 0.05 ± 0.00 | 0.72 ± 0.01 | 0.06 ± 0.00 | 0.63 ± 0.03 | 0.05 ± 0.00 |
| 64 | Dec-(4Z)-en-1-ol | Alcohol | 1.3 | 976 | 1256 | 1258 | 0.18 ± 0.02 | 0.02 ± 0.00 | – | – | – | – | – | – |
| 65 | Dec-(4E)-en-1-ol | Alcohol | 1.3 | 994 | 1259 | 1262 | – | – | – | – | – | – | – | – |
| 66 | Decyl alcohol | Alcohol | 1.3 | 952 | 1275 | 1278 | – | – | – | – | – | – | – | – |
| 67 | Bornyl Acetate | Ester | 1.6 | 975 | 1286 | 1285 | – | – | 0.45 ± 0.01 | 0.03 ± 0.00 | – | – | – | – |
| 68 | Cogeijerene | Sesquiterpene | 1.0 | 920 | 1288 | 1286 | – | – | – | – | – | – | – | – |
| 69 | n-Tridecane | Aliphatic | 1.0 | 950 | 1301 | 1300 | – | – | – | – | – | – | – | – |
| 70 | α-Cubebene | Sesquiterpene | 1.0 | 968 | 1350 | 1347 | – | – | – | – | – | – | – | – |
| 71 | Eugenol | Alcohol | 1.3 | 933 | 1356 | 1357 | – | – | 0.55 ± 0.01 | 0.04 ± 0.00 | – | – | – | – |
| 72 | α-Ylangene | Sesquiterpene | 1.0 | 964 | 1372 | 1371 | – | – | 2.94 ± 0.05 | 0.34 ± 0.00 | 0.93 ± 0.07 | 0.10 ± 0.00 | 1.82 ± 0.01 | 0.20 ± 0.00 |
| 73 | α-Copaene | Sesquiterpene | 1.0 | 956 | 1372 | 1375 | 0.12 ± 0.01 | 0.01 ± 0.00 | 0.62 ± 0.02 | 0.07 ± 0.00 | 0.47 ± 0.06 | 0.05 ± 0.00 | 0.39 ± 0.01 | 0.04 ± 0.00 |
| 74 | hexyl-Hexanoate | Ester | 1.6 | 985 | 1387 | 1390 | – | – | – | – | 1.62 ± 0.11 | 0.17 ± 0.00 | 0.22 ± 0.02 | 0.02 ± 0.00 |
| 75 | 7-epi-Sesquithujene | Sesquiterpene | 1.0 | 942 | 1389 | 1387 | – | – | – | – | 0.79 ± 0.08 | 0.08 ± 0.00 | 0.15 ± 0.03 | 0.02 ± 0.00 |
| 76 | Sativene | Sesquiterpene | 1.0 | 905 | 1397 | 1394 | 0.30 ± 0.02 | 0.03 ± 0.00 | 0.80 ± 0.02 | 0.09 ± 0.00 | 0.35 ± 0.05 | 0.04 ± 0.00 | 0.62 ± 0.01 | 0.07 ± 0.00 |
| 77 | α-Funebrene | Sesquiterpene | 1.0 | 909 | 1404 | 1403 | – | – | 0.28 ± 0.01 | 0.03 ± 0.00 | 0.35 ± 0.04 | 0.04 ± 0.00 | 0.36 ± 0.01 | 0.04 ± 0.00 |
| 78 | (Z)-Caryophyllene | Sesquiterpene | 1.0 | 953 | 1407 | 1413 | – | – | 5.13 ± 0.09 | 0.59 ± 0.00 | 2.31 ± 0.13 | 0.24 ± 0.00 | 2.78 ± 0.01 | 0.30 ± 0.00 |
| 79 | α-Gurjunene | Sesquiterpene | 1.0 | 986 | 1410 | 1406 | – | – | 0.58 ± 0.01 | 0.07 ± 0.00 | 0.51 ± 0.04 | 0.05 ± 0.00 | 0.34 ± 0.01 | 0.04 ± 0.00 |
| 80 | α-, (Z)-Bergamotene | Sesquiterpene | 1.0 | 978 | 1415 | 1416 | 0.20 ± 0.01 | 0.02 ± 0.00 | 1.65 ± 0.03 | 0.19 ± 0.00 | 2.66 ± 0.14 | 0.28 ± 0.00 | 2.09 ± 0.01 | 0.23 ± 0.00 |
| 81 | (E)-Caryophyllene | Sesquiterpene | 1.0 | 995 | 1423 | 1424 | 32.03 ± 1.68 | 3.11 ± 0.02 | 251.13 ± 4.33 | 28.78 ± 0.03 | 130.88 ± 6.65 | 13.69 ± 0.19 | 220.88 ± 1.16 | 23.99 ± 0.02 |
| 82 | γ-Elemene | Sesquiterpene | 1.0 | 965 | 1432 | 1432 | 7.50 ± 0.40 | 0.73 ± 0.00 | 0.73 ± 0.03 | 0.08 ± 0.00 | 3.11 ± 0.12 | 0.33 ± 0.01 | 0.63 ± 0.01 | 0.07 ± 0.00 |
| 83 | α-, (E)-Bergamotene | Sesquiterpene | 1.0 | 994 | 1435 | 1432 | 1.85 ± 0.10 | 0.18 ± 0.00 | 9.02 ± 0.16 | 1.03 ± 0.00 | 21.38 ± 1.04 | 2.24 ± 0.04 | 15.83 ± 0.08 | 1.72 ± 0.00 |
| 84 | α-Guaiene | Sesquiterpene | 1.0 | 950 | 1438 | 1438 | 0.12 ± 0.01 | 0.01 ± 0.00 | 1.77 ± 0.03 | 0.20 ± 0.00 | – | – | 1.07 ± 0.02 | 0.12 ± 0.00 |
| 85 | Aromadendrene | Sesquiterpene | 1.0 | 986 | 1442 | 1438 | – | – | 0.62 ± 0.05 | 0.07 ± 0.01 | – | – | – | – |
| 86 | Guaia-6,9-diene | Sesquiterpene | 1.0 | 969 | 1444 | 1444 | – | – | 2.06 ± 0.09 | 0.24 ± 0.01 | 1.66 ± 0.09 | 0.17 ± 0.00 | 1.49 ± 0.01 | 0.16 ± 0.00 |
| 87 | (E)-Geranylacetone | ketone | 1.3 | 948 | 1450 | 1450 | – | – | 2.06 ± 0.04 | 0.18 ± 0.00 | – | – | 1.34 ± 0.02 | 0.09 ± 0.00 |
| 88 | (E)-, β-Farnesene | Sesquiterpene | 1.0 | 992 | 1454 | 1452 | 3.78 ± 0.19 | 0.37 ± 0.00 | 8.61 ± 0.15 | 0.99 ± 0.00 | 34.63 ± 1.54 | 3.62 ± 0.07 | 16.36 ± 0.09 | 1.78 ± 0.00 |
| 89 | α-Humulene | Sesquiterpene | 1.0 | 996 | 1458 | 1454 | 9.21 ± 0.48 | 0.89 ± 0.01 | 85.27 ± 1.55 | 9.77 ± 0.02 | 44.99 ± 2.08 | 4.71 ± 0.09 | 66.14 ± 0.35 | 7.18 ± 0.01 |
| 90 | 9-epi-(E)-Caryophyllene | Sesquiterpene | 1.0 | 981 | 1463 | 1464 | 0.30 ± 0.02 | 0.03 ± 0.00 | 9.64 ± 0.17 | 1.10 ± 0.00 | 6.14 ± 0.31 | 0.64 ± 0.01 | 4.72 ± 0.03 | 0.51 ± 0.00 |
| 91 | β-Acoradiene | Sesquiterpene | 1.0 | 915 | 1471 | 1467 | – | – | 0.35 ± 0.02 | 0.04 ± 0.00 | – | – | ||
| 92 | Drima-7,9(11)-diene | Sesquiterpene | 1.0 | 980 | 1473 | 1473 | – | – | 1.23 ± 0.06 | 0.14 ± 0.01 | 0.71 ± 0.04 | 0.07 ± 0.01 | – | – |
| 93 | Selina-4,11-diene | Sesquiterpene | 1.0 | 983 | 1476 | 1476 | – | – | 1.05 ± 0.08 | 0.12 ± 0.01 | 1.13 ± 0.10 | 0.12 ± 0.00 | 1.31 ± 0.09 | 0.14 ± 0.01 |
| 94 | β-Chamigrene | Sesquiterpene | 1.0 | 959 | 1477 | 1479 | – | – | – | – | – | – | ||
| 95 | γ-Muurolene | Sesquiterpene | 1.0 | 981 | 1478 | 1478 | 0.54 ± 0.03 | 0.05 ± 0.00 | 0.93 ± 0.14 | 0.11 ± 0.01 | – | – | – | – |
| 96 | α-Neocallitropsene | Sesquiterpene | 1.0 | 938 | 1479 | 1480 | 0.28 ± 0.02 | 0.03 ± 0.00 | – | – | 1.73 ± 0.08 | 0.18 ± 0.00 | 1.12 ± 0.08 | 0.12 ± 0.01 |
| 97 | γ-Gurjunene | Sesquiterpene | 1.0 | 957 | 1480 | 1476 | – | – | 1.06 ± 0.05 | 0.12 ± 0.01 | – | – | – | – |
| 98 | γ-Curcumene | Sesquiterpene | 1.0 | 960 | 1480 | 1482 | – | – | – | – | – | – | – | – |
| 99 | α-Amorphene | Sesquiterpene | 1.0 | 963 | 1482 | 1482 | – | – | 5.25 ± 0.30 | 0.60 ± 0.03 | 1.19 ± 0.06 | 0.12 ± 0.00 | – | – |
| 100 | α-Curcumene | Sesquiterpene | 1.0 | 968 | 1483 | 1480 | – | – | – | – | – | – | 4.88 ± 0.03 | 0.53 ± 0.00 |
| 101 | Aristolochene | Sesquiterpene | 1.0 | 921 | 1487 | 1490 | – | – | 10.73 ± 0.16 | 1.23 ± 0.01 | – | – | – | – |
| 102 | Eremophilene | Sesquiterpene | 1.0 | 939 | 1486 | 1491 | 0.35 ± 0.02 | 0.03 ± 0.00 | 3.39 ± 0.07 | 0.39 ± 0.00 | 4.01 ± 0.19 | 0.42 ± 0.01 | 7.63 ± 0.15 | 0.83 ± 0.02 |
| 103 | β-, (E)-Bergamotene | Sesquiterpene | 1.0 | 935 | 1487 | 1483 | – | – | – | – | 1.44 ± 0.06 | 0.15 ± 0.00 | ||
| 104 | β-Selinene | Sesquiterpene | 1.0 | 988 | 1492 | 1492 | 0.79 ± 0.04 | 0.08 ± 0.00 | 25.53 ± 0.47 | 2.93 ± 0.00 | 8.75 ± 0.34 | 0.92 ± 0.02 | 20.19 ± 0.16 | 2.19 ± 0.01 |
| 105 | Valencene | Sesquiterpene | 1.0 | 983 | 1489 | 1492 | 0.35 ± 0.02 | 0.03 ± 0.00 | 6.68 ± 0.12 | 0.77 ± 0.00 | 2.56 ± 0.15 | 0.27 ± 0.00 | 3.46 ± 0.06 | 0.38 ± 0.01 |
| 106 | α-Selinene | Sesquiterpene | 1.0 | 985 | 1499 | 1501 | 1.15 ± 0.06 | 0.11 ± 0.00 | 17.87 ± 0.32 | 2.05 ± 0.00 | 7.24 ± 0.32 | 0.76 ± 0.02 | 15.40 ± 0.07 | 1.67 ± 0.00 |
| 107 | (Z)-, α-Bisabolene | Sesquiterpene | 1.0 | 933 | 1502 | 1503 | 0.16 ± 0.01 | 0.02 ± 0.00 | – | – | – | – | – | – |
| 108 | ε-Amorphene | Sesquiterpene | 1.0 | 961 | 1503 | 1502 | – | – | – | – | 1.63 ± 0.07 | 0.17 ± 0.00 | – | – |
| 109 | α-Bulnesene | Sesquiterpene | 1.0 | 990 | 1505 | 1505 | – | – | 4.33 ± 0.08 | 0.50 ± 0.00 | – | – | 1.99 ± 0.06 | 0.22 ± 0.01 |
| 110 | (E,E)-, α-Farnesene | Sesquiterpene | 1.0 | 995 | 1506 | 1504 | – | – | – | – | 1.89 ± 0.08 | 0.20 ± 0.00 | – | – |
| 111 | β-Bisabolene | Sesquiterpene | 1.0 | 995 | 1510 | 1508 | 6.83 ± 0.34 | 0.66 ± 0.00 | 3.58 ± 0.09 | 0.41 ± 0.00 | 2.57 ± 0.11 | 0.27 ± 0.01 | 6.81 ± 0.03 | 0.74 ± 0.00 |
| 112 | (Z)-, γ-Bisabolene | Sesquiterpene | 1.0 | 952 | 1512 | 1511 | – | – | 0.84 ± 0.03 | 0.10 ± 0.00 | 1.48 ± 0.06 | 0.15 ± 0.00 | – | – |
| 113 | Sesquicineole | Epoxide | 1.5 | 912 | 1516 | 1514 | 0.73 ± 0.05 | 0.05 ± 0.00 | – | – | – | – | 1.54 ± 0.01 | 0.11 ± 0.00 |
| 114 | γ-Cadinene | Sesquiterpene | 1.0 | 974 | 1517 | 1512 | – | – | 2.28 ± 0.05 | 0.26 ± 0.00 | 0.64 ± 0.05 | 0.07 ± 0.00 | – | – |
| 115 | δ-Cadinene | Sesquiterpene | 1.0 | 967 | 1522 | 1518 | – | – | – | – | – | – | – | – |
| 116 | β-Sesquiphellandrene | Sesquiterpene | 1.0 | 991 | 1526 | 1523 | 0.31 ± 0.02 | 0.03 ± 0.00 | 0.68 ± 0.02 | 0.08 ± 0.00 | 0.75 ± 0.03 | 0.08 ± 0.00 | 0.47 ± 0.01 | 0.05 ± 0.00 |
| 117 | Selina-4(15),7(11)-diene | Sesquiterpene | 1.0 | 985 | 1541 | 1540 | 7.80 ± 1.12 | 0.75 ± 0.08 | 23.18 ± 0.40 | 2.66 ± 0.01 | 11.74 ± 0.46 | 1.23 ± 0.03 | 25.97 ± 0.12 | 2.82 ± 0.00 |
| 118 | (E)-, α-Bisabolene | Sesquiterpene | 1.0 | 953 | 1543 | 1540 | 8.45 ± 0.45 | 0.82 ± 0.07 | – | – | – | – | – | – |
| 119 | Selina-3,7(11)-diene | Sesquiterpene | 1.0 | 994 | 1546 | 1546 | 10.86 ± 0.56 | 1.05 ± 0.01 | 18.36 ± 0.32 | 2.10 ± 0.00 | 14.07 ± 0.53 | 1.47 ± 0.04 | 20.99 ± 0.10 | 2.28 ± 0.01 |
| 120 | Germacrene B | Sesquiterpene | 1.0 | 926 | 1552 | 1557 | – | – | – | – | – | – | – | – |
| 121 | epi-Longipinanol | Alcohol | 1.3 | 929 | 1554 | 1558 | – | – | 0.81 ± 0.02 | 0.07 ± 0.00 | 1.10 ± 0.06 | 0.09 ± 0.00 | 2.01 ± 0.03 | 0.17 ± 0.00 |
| 122 | Longicamphenylone | ketone | 1.3 | 896 | 1559 | 1560 | – | – | 3.60 ± 0.06 | 0.32 ± 0.00 | – | – | – | – |
| 123 | (E)-Nerolidol | Alcohol | 1.3 | 916 | 1563 | 1561 | 1.95 ± 0.13 | 0.15 ± 0.00 | 33.68 ± 0.59 | 2.97 ± 0.01 | 4.69 ± 0.14 | 0.38 ± 0.01 | 10.24 ± 0.03 | 0.86 ± 0.00 |
| 124 | Longipinanol | Alcohol | 1.3 | 948 | 1577 | 1572 | – | – | 2.56 ± 0.06 | 0.23 ± 0.00 | – | – | 1.68 ± 0.01 | 0.18 ± 0.00 |
| 125 | Caryolan-8-ol | Alcohol | 1.3 | 957 | 1580 | 1575 | – | – | 1.56 ± 0.05 | 0.14 ± 0.00 | – | – | – | – |
| 126 | Caryophyllene oxide | Epoxide | 1.5 | 991 | 1586 | 1587 | 0.71 ± 0.05 | 0.05 ± 0.00 | 94.97 ± 1.75 | 7.26 ± 0.02 | 21.89 ± 0.65 | 1.53 ± 0.05 | 61.70 ± 0.27 | 4.47 ± 0.01 |
| 127 | Fokienol | Alcohol | 1.3 | 915 | 1594 | 1596 | – | – | 1.43 ± 0.03 | 0.13 ± 0.00 | 1.02 ± 0.03 | 0.08 ± 0.00 | 1.10 ± 0.01 | 0.09 ± 0.00 |
| 128 | Guaiol | Alcohol | 1.3 | 993 | 1601 | 1600 | 9.25 ± 0.46 | 0.69 ± 0.00 | – | – | – | – | – | – |
| 129 | Javanol isomer II | Alcohol | 1.3 | 922 | 1610 | 1612 | – | – | 2.16 ± 0.05 | 0.19 ± 0.00 | – | – | – | – |
| 130 | 5-epi-7-epi-α-Eudesmol | Alcohol | 1.3 | 956 | 1611 | 1610 | 0.56 ± 0.03 | 0.04 ± 0.00 | – | – | – | – | ||
| 131 | Humulene epoxide II | Epoxide | 1.5 | 991 | 1615 | 1613 | – | – | 28.56 ± 0.47 | 2.18 ± 0.01 | 7.39 ± 0.20 | 0.52 ± 0.02 | 18.90 ± 0.08 | 1.37 ± 0.00 |
| 132 | epi-γ-Eudesmol | Alcohol | 1.3 | 989 | 1627 | 1624 | 8.38 ± 0.42 | 0.63 ± 0.00 | 15.47 ± 0.24 | 1.36 ± 0.00 | – | – | – | – |
| 133 | γ-Eudesmol | Alcohol | 1.3 | 987 | 1628 | 1632 | – | – | – | – | – | – | – | – |
| 134 | Eremoligenol | Alcohol | 1.3 | 961 | 1636 | 1632 | – | – | – | – | 3.84 ± 0.10 | 0.31 ± 0.01 | 5.75 ± 0.03 | 0.48 ± 0.00 |
| 135 | Caryophylla-4(12),8(13)-dien-5-β-ol | Alcohol | 1.3 | 909 | 1639 | 1636 | – | – | 15.22 ± 1.02 | 1.34 ± 0.07 | – | – | 5.15 ± 0.03 | 0.43 ± 0.00 |
| 136 | Caryophylla-4(12),8(13)-dien-5-α-ol | Alcohol | 1.3 | 968 | 1643 | 1642 | – | – | 11.38 ± 0.19 | 1.00 ± 0.00 | 2.45 ± 0.06 | 0.20 ± 0.01 | – | – |
| 137 | Agarospirol | Alcohol | 1.3 | 958 | 1645 | 1646 | 0.31 ± 0.02 | 0.02 ± 0.00 | – | – | – | – | – | – |
| 138 | Hinesol | Alcohol | 1.3 | 974 | 1645 | 1645 | – | – | – | – | – | – | – | – |
| 139 | allo-Aromandendrene epoxide | Epoxide | 1.5 | 946 | 1649 | 1644 | – | – | 1.48 ± 0.03 | 0.11 ± 0.00 | – | – | – | – |
| 140 | Pogostol | Alcohol | 1.3 | 896 | 1649 | 1650 | 0.81 ± 0.04 | 0.06 ± 0.00 | – | – | – | – | – | – |
| 141 | β-Eudesmol | Alcohol | 1.3 | 933 | 1661 | 1656 | 8.35 ± 0.41 | 0.62 ± 0.00 | – | – | – | – | – | – |
| 142 | 14-hydroxy-(Z)-Caryophyllene | Alcohol | 1.3 | 951 | 1662 | 1664 | – | – | 17.81 ± 0.30 | 1.57 ± 0.01 | 1.71 ± 0.05 | 0.14 ± 0.01 | 8.13 ± 0.03 | 0.68 ± 0.00 |
| 143 | neo-Intermedeol | Alcohol | 1.3 | 932 | 1662 | 1661 | – | – | – | – | – | – | – | – |
| 144 | 7-epi-α-Eudesmol | Alcohol | 1.3 | 960 | 1667 | 1665 | 0.31 ± 0.01 | 0.02 ± 0.00 | – | – | – | – | – | – |
| 145 | Intermedeol | Alcohol | 1.3 | 967 | 1670 | 1668 | – | – | 1.86 ± 0.05 | 0.16 ± 0.00 | – | – | 1.49 ± 0.01 | 0.12 ± 0.00 |
| 146 | Bulnesol | Alcohol | 1.3 | 991 | 1670 | 1670 | 5.83 ± 0.28 | 0.44 ± 0.00 | – | – | – | – | – | – |
| 147 | Khusinol | Alcohol | 1.3 | 918 | 1677 | 1677 | – | – | 14.11 ± 0.23 | 1.24 ± 0.00 | 2.02 ± 0.03 | 0.16 ± 0.01 | 7.02 ± 0.05 | 0.59 ± 0.00 |
| 148 | α-Bisabolol | Alcohol | 1.3 | 983 | 1689 | 1688 | 14.01 ± 0.65 | 1.05 ± 0.01 | 6.83 ± 0.10 | 0.60 ± 0.00 | 1.16 ± 0.03 | 0.09 ± 0.00 | 13.80 ± 0.02 | 1.15 ± 0.00 |
| 149 | Juniper camphor | Alcohol | 1.3 | 928 | 1701 | 1696 | 0.30 ± 0.03 | 0.02 ± 0.00 | – | – | – | – | – | – |
| 150 | Caryophyllene acetate isomer I | Ester | 1.6 | 917 | 1704 | 1701 | – | – | 6.72 ± 0.11 | 0.48 ± 0.00 | 1.71 ± 0.02 | 0.11 ± 0.01 | 2.64 ± 0.02 | 0.18 ± 0.00 |
| 151 | iso-Longifolol | Alcohol | 1.3 | 933 | 1726 | 1727 | – | – | – | – | – | – | 0.95 ± 0.01 | 0.08 ± 0.00 |
| 152 | Nootkatone | Ketone | 1.3 | 974 | 1810 | 1806 | – | – | – | – | – | – | 0.77 ± 0.01 | 0.06 ± 0.00 |
| 153 | Phytone | Ketone | 1.3 | 991 | 1843 | 1841 | – | – | 2.69 ± 0.04 | 0.24 ± 0.00 | – | – | 2.42 ± 0.01 | 0.20 ± 0.00 |
| 154 | m-Camphorene | Diterpene | 1.0 | 979 | 1950 | 1946 | 0.31 ± 0.01 | 0.03 ± 0.00 | 0.67 ± 0.01 | 0.08 ± 0.00 | 0.22 ± 0.01 | 0.02 ± 0.00 | 0.52 ± 0.01 | 0.06 ± 0.00 |
| 155 | p-Camphorene | Diterpene | 1.0 | 983 | 1986 | 1984 | – | – | 0.54 ± 0.01 | 0.06 ± 0.00 | – | – | 0.35 ± 0.00 | 0.04 ± 0.00 |
| 156 | Phytol | Alcohol | 1.3 | 956 | 2111 | 2111 | – | – | – | – | – | – | 2.33 ± 0.03 | 0.20 ± 0.00 |
| 157 | Cannabidivarin (CBDV) | Cannabinoid | 1.0 | 897 | 2215 | 2216 | – | – | 0.55 ± 0.01 | 0.05 ± 0.00 | – | – | – | – |
| 158 | Cannabicitran (CBT) | Cannabinoid | 1.0 | 954 | 2281 | 2284 | – | – | 1.19 ± 0.02 | 0.11 ± 0.00 | – | – | 2.60 ± 0.36 | 0.13 ± 0.00 |
| 159 | Cannabicyclol (CBL) | Cannabinoid | 1.0 | 890 | 2373 | 2374 | – | – | 0.18 ± 0.01 | 0.02 ± 0.00 | – | – | – | – |
| 160 | Cannabidiol (CBD) | Cannabinoid | 1.0 | 983 | 2424 | 2421 | 2.11 ± 0.06 | 0.15 ± 0.00 | 19.77 ± 0.22 | 1.75 ± 0.03 | 5.33 ± 0.28 | 0.16 ± 0.01 | 8.90 ± 1.20 | 0.44 ± 0.00 |
| 161 | Cannabichromene (CBC) | Cannabinoid | 1.0 | 892 | 2433 | 2435 | – | – | 0.50 ± 0.01 | 0.04 ± 0.00 | – | – | 0.41 ± 0.05 | 0.02 ± 0.00 |
| 162 | δ8-Tetrahydrocannabinol (Δ8-THC) | Cannabinoid | 1.0 | 890 | 2501 | 2501 | – | – | 0.12 ± 0.01 | 0.01 ± 0.00 | – | – | 0.28 ± 0.04 | 0.01 ± 0.00 |
| 163 | δ9-Tetrahydrocannabinol (Δ9-THC) | Cannabinoid | 1.0 | 910 | 2525 | 2527 | – | – | 0.18 ± 0.00 | 0.02 ± 0.00 | – | – | 0.56 ± 0.08 | 0.03 ± 0.00 |
| 164 | n-Heptacosane | Aliphatic | 1.0 | 953 | 2701 | 2700 | – | – | 0.30 ± 0.01 | 0.03 ± 0.00 | – | – | 0.26 ± 0.01 | 0.03 ± 0.00 |
| 165 | n-Nonacosane | Aliphatic | 1.0 | 958 | 2902 | 2900 | – | – | 0.30 ± 0.01 | 0.03 ± 0.00 | – | – | 0.29 ± 0.00 | 0.03 ± 0.00 |
| NOT IDENTIFIED | – | – | – | – | – | 12.26 ± 0.37 | 1.21 ± 0.00 | 78.47 ± 1.13 | 8.99 ± 0.08 | 2.78 ± 0.01 | 0.30 ± 0.00 | 63.26 ± 0.80 | 6.87 ± 0.08 | |
| TOTAL | – | – | – | – | – | 946.09 ± 60.65 | 100.00 | 963.70 ± 14.06 | 100.00 ± 0.00 | – | – | 973.20 ± 5.05 | 100.00 ± 0.00 | |
| HYDROCARBON Compounds | – | – | – | – | – | 851.75 ± 59.81 | 91.41 ± 0.03 | 563.45 ± 8.66 | 64.35 ± 0.05 | 0.53 ± 0.01 | 0.06 ± 0.00 | 733.05 ± 5.06 | 79.77 ± 0.09 | |
| Monoterpenes | – | – | – | – | – | 758.22 ± 64.53 | 82.33 ± 0.07 | 53.86 ± 0.55 | 5.95 ± 0.04 | 285.80 ± 6.01 | 31.19 ± 0.15 | |||
| Sesquiterpenes | – | – | – | – | – | 93.23 ± 4.83 | 9.05 ± 0.05 | 507.78 ± 9.11 | 58.19 ± 0.01 | 181.89 ± 0.64 | 19.50 ± 0.32 | 445.83 ± 2.18 | 48.43 ± 0.07 | |
| Diterpenes | – | – | – | – | – | 0.31 ± 0.01 | 0.03 ± 0.00 | 1.21 ± 0.02 | 0.14 ± 0.00 | 0.20 ± 0.01 | 0.02 ± 0.00 | 0.87 ± 0.01 | 0.09 ± 0.00 | |
| Aliphatic | – | – | – | – | – | 0.00 ± 0.00 | 0.00 ± 0.00 | 0.60 ± 0.01 | 0.07 ± 0.00 | 3.35 ± 0.01 | 0.36 ± 0.01 | 0.55 ± 0.01 | 0.06 ± 0.00 | |
| OXIGENATED Compounds | – | – | – | – | – | 94.34 ± 0.92 | 7.38 ± 0.02 | 321.78 ± 4.39 | 26.66 ± 0.06 | 0.72 ± 0.00 | 0.08 ± 0.00 | 176.90 ± 1.08 | 13.36 ± 0.01 | |
| Aldehydes | – | – | – | – | – | 0.29 ± 0.04 | 0.02 ± 0.00 | 1.46 ± 0.03 | 0.12 ± 0.00 | 54.17 ± 0.12 | 5.81 ± 0.09 | 0.62 ± 0.02 | 0.05 ± 0.00 | |
| Alcohols | – | – | – | – | – | 88.32 ± 0.85 | 6.93 ± 0.02 | 154.84 ± 2.23 | 13.55 ± 0.07 | 71.01 ± 0.41 | 5.94 ± 0.01 | |||
| Esters | – | – | – | – | – | 0.69 ± 0.06 | 0.05 ± 0.00 | 7.16 ± 0.11 | 0.51 ± 0.00 | 143.12 ± 0.37 | 15.34 ± 0.23 | 4.72 ± 0.11 | 0.32 ± 0.01 | |
| Ketones | – | – | – | – | – | 1.51 ± 0.13 | 0.13 ± 0.00 | 10.19 ± 0.06 | 0.89 ± 0.01 | 4.97 ± 0.05 | 0.42 ± 0.00 | |||
| Epoxides | – | – | – | – | – | 1.44 ± 0.09 | 0.09 ± 0.00 | 125.65 ± 2.22 | 9.60 ± 0.02 | 82.84 ± 0.34 | 6.00 ± 0.01 | |||
| Cannabinoids | – | – | – | – | – | 2.11 ± 0.06 | 0.15 ± 0.00 | 22.48 ± 0.23 | 1.99 ± 0.03 | 2.13 ± 0.02 | 0.23 ± 0.01 | 12.74 ± 1.73 | 0.63 ± 0.01 | |
| Distillation Yield | – | – | – | – | – | 0.274 | 0.015 | 0.148 | 0.035 | |||||
Table 2: List of volatile compounds detected in cannabis essential oils (EOs) distilled from inflorescences of Carmagnola (fresh), Felina 32 (dried) and Finola (fresh) cultivars. Abbreviations: R.F.: response factor; match: database spectral matching; LRIexp: experimental LRI; LRIref: reference LRI. Quantitative results are expressed both in absolute manner (mg g−1) and in relative percentages (%). The compounds are also grouped in monoterpene, sesquiterpene, diterpene and aliphatic hydrocarbons and as well as oxygenated compounds including aldehyde, alcohol, ester, ketone, epoxide, and cannabinoid. The cannabis EO yields are also reported.
| ID | Name | Chemical Subclass | R.F. | Match | LRIexp | LRIref | Fresh Carmagnola | Dried Felina 32 | Fresh Finola | |||
|---|---|---|---|---|---|---|---|---|---|---|---|---|
| mg g−1 | % | mg g−1 | % | mg g−1 | % | |||||||
| 1 | Hashishene | Monoterpene | 1.0 | 947 | 921 | 921 | 0.44 ± 0.01 | 0.05 ± 0.00 | 2.21 ± 0.05 | 0.24 ± 0.00 | 1.70 ± 0.07 | 0.17 ± 0.00 |
| 2 | Tricyclene | Monoterpene | 1.0 | 931 | 924 | 923 | – | – | – | – | – | – |
| 3 | α-Thujene | Monoterpene | 1.0 | 991 | 927 | 927 | 0.31 ± 0.01 | 0.03 ± 0.00 | 0.24 ± 0.01 | 0.03 ± 0.00 | – | – |
| 4 | Thuja-2,4(10)-diene | Monoterpene | 1.0 | 950 | 954 | 953 | – | – | 73.31 ± 1.60 | 8.08 ± 0.03 | – | – |
| 5 | α-Pinene | Monoterpene | 1.0 | 980 | 935 | 933 | 5.91 ± 0.07 | 0.65 ± 0.01 | 0.22 ± 0.01 | 0.02 ± 0.00 | 28.40 ± 1.23 | 2.93 ± 0.02 |
| 6 | α-Fenchene | Monoterpene | 1.0 | 976 | 951 | 950 | – | – | 2.46 ± 0.06 | 0.27 ± 0.00 | – | – |
| 7 | Camphene | Monoterpene | 1.0 | 995 | 951 | 953 | 1.51 ± 0.02 | 0.17 ± 0.00 | 0.16 ± 0.01 | 0.02 ± 0.00 | 1.10 ± 0.04 | 0.11 ± 0.00 |
| 8 | Sabinene | Monoterpene | 1.0 | 886 | 974 | 972 | – | – | – | – | ||
| 9 | β-Pinene | Monoterpene | 1.0 | 986 | 980 | 978 | 10.19 ± 0.10 | 1.12 ± 0.01 | 17.02 ± 0.36 | 1.88 ± 0.01 | 11.52 ± 0.51 | 1.19 ± 0.01 |
| 10 | 6-methyl-Hept-5-en-2-one | Ketone | 1.3 | 920 | 986 | 986 | – | – | 0.38 ± 0.01 | 0.03 ± 0.00 | 0.70 ± 0.03 | 0.06 ± 0.00 |
| 11 | Myrcene | Monoterpene | 1.0 | 982 | 993 | 991 | 299.43 ± 2.28 | 32.81 ± 0.19 | 16.90 ± 0.36 | 1.86 ± 0.01 | 54.73 ± 2.43 | 5.64 ± 0.03 |
| 12 | m-Mentha-1(7), 8-diene | Monoterpene | 1.0 | 873 | 1002 | 1001 | 0.20 ± 0.01 | 0.02 ± 0.00 | – | – | – | – |
| 13 | n-Octanal | Aldehyde | 1.3 | 975 | 1006 | 1006 | – | – | – | – | 0.65 ± 0.03 | 0.05 ± 0.00 |
| 14 | α-Phellandrene | Monoterpene | 1.0 | 978 | 1008 | 1007 | 0.12 ± 0.02 | 0.01 ± 0.00 | 0.64 ± 0.01 | 0.07 ± 0.00 | – | – |
| 15 | δ3-Carene | Monoterpene | 1.0 | 986 | 1011 | 1009 | – | – | 1.04 ± 0.02 | 0.11 ± 0.00 | – | – |
| 16 | hexyl-Acetate | Ester | 1.6 | 981 | 1013 | 1012 | 0.37 ± 0.02 | 0.03 ± 0.00 | – | – | – | – |
| 17 | α-Terpinene | Monoterpene | 1.0 | 983 | 1019 | 1018 | 1.02 ± 0.01 | 0.11 ± 0.00 | 0.84 ± 0.01 | 0.09 ± 0.00 | 0.11 ± 0.01 | 0.01 ± 0.00 |
| 18 | p-Cymene | Monoterpene | 1.0 | 963 | 1026 | 1025 | 0.91 ± 0.01 | 0.10 ± 0.00 | 3.28 ± 0.06 | 0.36 ± 0.00 | 0.41 ± 0.02 | 0.03 ± 0.00 |
| 19 | Limonene | Monoterpene | 1.0 | 991 | 1031 | 1030 | 99.54 ± 0.83 | 10.90 ± 0.06 | 11.62 ± 0.25 | 1.28 ± 0.00 | 20.18 ± 0.91 | 2.08 ± 0.01 |
| 20 | β-Phellandrene | Monoterpene | 1.0 | 975 | 1032 | 1031 | – | – | – | – | – | – |
| 21 | Eucalyptol | Alcohol | 1.3 | 984 | 1034 | 1032 | 14.47 ± 0.13 | 1.22 ± 0.01 | 1.69 ± 0.03 | 0.14 ± 0.00 | – | – |
| 22 | (Z)-, β-Ocimene | Monoterpene | 1.0 | 951 | 1036 | 1035 | 0.19 ± 0.01 | 0.02 ± 0.00 | 3.91 ± 0.08 | 0.43 ± 0.00 | 0.45 ± 0.02 | 0.05 ± 0.00 |
| 23 | (E)-, β-Ocimene | Monoterpene | 1.0 | 980 | 1047 | 1046 | – | – | 2.46 ± 0.05 | 0.27 ± 0.00 | 0.13 ± 0.01 | 0.01 ± 0.00 |
| 24 | γ-Terpinene | Monoterpene | 1.0 | 985 | 1060 | 1058 | 2.78 ± 0.02 | 0.30 ± 0.00 | 1.06 ± 0.02 | 0.12 ± 0.00 | 0.20 ± 0.01 | 0.02 ± 0.00 |
| 25 | (Z)-Sabinene hydrate | Alcohol | 1.3 | 963 | 1072 | 1069 | 0.74 ± 0.16 | 0.06 ± 0.01 | 0.65 ± 0.01 | 0.06 ± 0.00 | – | – |
| 26 | Octanol | Alcohol | 1.3 | 920 | 1072 | 1076 | 1.11 ± 0.16 | 0.09 ± 0.01 | – | – | 3.45 ± 0.15 | 0.27 ± 0.00 |
| 27 | Terpinolene | Monoterpene | 1.0 | 992 | 1088 | 1086 | 1.70 ± 0.01 | 0.19 ± 0.00 | 3.29 ± 0.06 | 0.36 ± 0.00 | 0.38 ± 0.02 | 0.04 ± 0.00 |
| 28 | Fenchone | Ketone | 1.3 | 990 | 1091 | 1090 | 1.35 ± 0.02 | 0.11 ± 0.00 | – | – | 2.40 ± 0.11 | 0.19 ± 0.00 |
| 29 | p-Cymenene | Monoterpene | 1.0 | 964 | 1093 | 1093 | – | – | 1.66 ± 0.03 | 0.18 ± 0.00 | – | – |
| 30 | Linalool | Alcohol | 1.3 | 994 | 1102 | 1101 | 63.25 ± 0.38 | 5.33 ± 0.02 | 2.00 ± 0.04 | 0.17 ± 0.00 | 7.72 ± 0.37 | 0.61 ± 0.00 |
| 31 | (E)-Sabinene hydrate | Alcohol | 1.3 | 976 | 1104 | 1099 | 0.52 ± 0.07 | 0.04 ± 0.01 | 0.43 ± 0.01 | 0.04 ± 0.00 | – | – |
| 32 | n-Nonanal | Aldehyde | 1.3 | 972 | 1107 | 1107 | 1.01 ± 0.08 | 0.08 ± 0.01 | 1.19 ± 0.01 | 0.10 ± 0.00 | 2.58 ± 0.13 | 0.20 ± 0.00 |
| 33 | Fenchyl alcohol | Alcohol | 1.3 | 996 | 1122 | 1123 | 6.92 ± 0.04 | 0.58 ± 0.00 | 2.85 ± 0.05 | 0.24 ± 0.00 | 16.05 ± 0.74 | 1.27 ± 0.00 |
| 34 | (E)-, p-Mentha-2,8-dien-1-ol | Alcohol | 1.3 | 954 | 1125 | 1122 | – | – | – | – | 0.13 ± 0.00 | 0.01 ± 0.00 |
| 35 | (Z)-, p-Menth-2-en-1-ol | Alcohol | 1.3 | 915 | 1129 | 1124 | 4.08 ± 0.03 | 0.34 ± 0.00 | 1.95 ± 0.05 | 0.17 ± 0.00 | 11.58 ± 0.52 | 0.92 ± 0.00 |
| 36 | allo-Ocim-(4E,6Z)-ene | Monoterpene | 1.0 | 977 | 1130 | 1128 | – | – | – | – | – | – |
| 37 | Limona ketone | Ketone | 1.3 | 967 | 1128 | 1131 | – | – | – | – | 1.06 ± 0.02 | 0.08 ± 0.00 |
| 38 | (Z)-, p-Mentha-2,8-dien-1-ol | Alcohol | 1.3 | 980 | 1139 | 1138 | – | – | 0.82 ± 0.01 | 0.07 ± 0.00 | 0.99 ± 0.04 | 0.08 ± 0.00 |
| 39 | (E)-Myroxide | Epoxide | 1.5 | 973 | 1141 | 1141 | – | – | – | – | – | – |
| 40 | (E)-Pinocarveol | Alcohol | 1.3 | 992 | 1144 | 1141 | – | – | 2.31 ± 0.03 | 0.20 ± 0.00 | – | – |
| 41 | Ipsdienol | Alcohol | 1.3 | 985 | 1145 | 1146 | 1.76 ± 0.02 | 0.15 ± 0.00 | – | – | 0.58 ± 0.03 | 0.05 ± 0.00 |
| 42 | Myrcenone | Ketone | 1.3 | 924 | 1148 | 1149 | 0.67 ± 0.02 | 0.06 ± 0.00 | – | – | – | – |
| 43 | neo-Isopulegol | Alcohol | 1.3 | 914 | 1150 | 1148 | 0.37 ± 0.01 | 0.03 ± 0.00 | – | – | 1.37 ± 0.07 | 0.11 ± 0.00 |
| 44 | (Z)-Pinene hydrate | Alcohol | 1.3 | 943 | 1149 | 1144 | – | – | – | – | – | – |
| 45 | Camphene hydrate | Alcohol | 1.3 | 977 | 1158 | 1156 | 0.30 ± 0.01 | 0.03 ± 0.00 | – | – | 1.64 ± 0.08 | 0.13 ± 0.00 |
| 46 | (E)-Verbenol | Alcohol | 1.3 | 940 | 1149 | 1145 | – | – | 0.35 ± 0.00 | 0.03 ± 0.00 | – | – |
| 47 | β-Pinene oxide | Epoxide | 1.5 | 926 | 1153 | 1156 | – | – | – | – | – | – |
| 48 | Camphene hydrate | Alcohol | 1.3 | 910 | 1158 | 1156 | – | – | 0.27 ± 0.00 | 0.02 ± 0.00 | – | – |
| 49 | Menthone | ketone | 1.3 | 981 | 1159 | 1158 | – | – | – | – | – | – |
| 50 | (E)-Pinocamphone | ketone | 1.3 | 934 | 1163 | 1160 | – | – | 0.28 ± 0.00 | 0.02 ± 0.00 | – | – |
| 51 | Pinocarvone | ketone | 1.3 | 981 | 1166 | 1164 | – | – | 0.77 ± 0.01 | 0.06 ± 0.00 | – | – |
| 52 | Borneol | Alcohol | 1.3 | 998 | 1175 | 1173 | 2.74 ± 0.03 | 0.23 ± 0.00 | 1.79 ± 0.03 | 0.15 ± 0.00 | 4.69 ± 0.22 | 0.37 ± 0.00 |
| 53 | Menthol | Alcohol | 1.3 | 986 | 1180 | 1184 | – | – | – | – | – | – |
| 54 | Terpinen-4-ol | Alcohol | 1.3 | 982 | 1183 | 1184 | 1.98 ± 0.02 | 0.17 ± 0.00 | 0.93 ± 0.01 | 0.08 ± 0.00 | 0.49 ± 0.02 | 0.04 ± 0.00 |
| 55 | p-Cymen-8-ol | Alcohol | 1.3 | 913 | 1190 | 1189 | – | – | 1.08 ± 0.02 | 0.09 ± 0.00 | – | – |
| 56 | hexyl-Butyrate | Ester | 1.6 | 988 | 1193 | 1195 | 0.78 ± 0.02 | 0.05 ± 0.00 | – | – | – | – |
| 57 | α-Terpineol | Alcohol | 1.3 | 993 | 1198 | 1195 | 8.85 ± 0.07 | 0.75 ± 0.00 | 1.59 ± 0.03 | 0.14 ± 0.00 | 10.68 ± 0.51 | 0.85 ± 0.00 |
| 58 | Myrtenol | Alcohol | 1.3 | 860 | 1200 | 1202 | – | – | 1.08 ± 0.01 | 0.09 ± 0.00 | – | – |
| 59 | octyl-Acetate | Ester | 1.6 | 970 | 1212 | 1214 | 0.63 ± 0.03 | 0.04 ± 0.00 | – | – | – | – |
| 60 | (E)-Piperitol | Alcohol | 1.3 | 936 | 1213 | 1209 | – | – | – | – | – | – |
| 61 | endo-Fenchyl acetate | Ester | 1.6 | 897 | 1220 | 1221 | – | – | – | – | 0.20 ± 0.00 | 0.01 ± 0.00 |
| 62 | (E)-Carveol | Alcohol | 1.3 | 934 | 1223 | 1223 | – | – | 0.28 ± 0.00 | 0.02 ± 0.00 | 0.25 ± 0.02 | 0.02 ± 0.00 |
| 63 | Citronellol | Alcohol | 1.3 | 992 | 1229 | 1232 | – | – | 0.34 ± 0.00 | 0.03 ± 0.00 | 3.10 ± 0.16 | 0.25 ± 0.00 |
| 64 | Dec-(4Z)-en-1-ol | Alcohol | 1.3 | 976 | 1256 | 1258 | 1.03 ± 0.01 | 0.09 ± 0.00 | – | – | 0.83 ± 0.04 | 0.07 ± 0.00 |
| 65 | Dec-(4E)-en-1-ol | Alcohol | 1.3 | 994 | 1259 | 1262 | – | – | – | – | 1.88 ± 0.10 | 0.15 ± 0.00 |
| 66 | Decyl alcohol | Alcohol | 1.3 | 952 | 1275 | 1278 | – | – | – | – | 0.41 ± 0.02 | 0.03 ± 0.00 |
| 67 | Bornyl Acetate | Ester | 1.6 | 975 | 1286 | 1285 | 0.18 ± 0.00 | 0.01 ± 0.00 | 0.36 ± 0.01 | 0.03 ± 0.00 | 0.54 ± 0.02 | 0.03 ± 0.00 |
| 68 | Cogeijerene | Sesquiterpene | 1.0 | 920 | 1288 | 1286 | – | – | 0.17 ± 0.01 | 0.02 ± 0.00 | – | – |
| 69 | n-Tridecane | Aliphatic | 1.0 | 950 | 1301 | 1300 | – | – | 0.30 ± 0.01 | 0.03 ± 0.00 | – | – |
| 70 | α-Cubebene | Sesquiterpene | 1.0 | 968 | 1350 | 1347 | – | – | – | – | 0.22 ± 0.01 | 0.02 ± 0.00 |
| 71 | Eugenol | Alcohol | 1.3 | 933 | 1356 | 1357 | – | – | 0.72 ± 0.01 | 0.06 ± 0.00 | – | – |
| 72 | α-Ylangene | Sesquiterpene | 1.0 | 964 | 1372 | 1371 | – | – | 2.83 ± 0.08 | 0.32 ± 0.00 | 0.50 ± 0.01 | 0.05 ± 0.00 |
| 73 | α-Copaene | Sesquiterpene | 1.0 | 956 | 1372 | 1375 | – | – | 0.71 ± 0.04 | 0.08 ± 0.00 | 0.49 ± 0.01 | 0.05 ± 0.00 |
| 74 | hexyl-Hexanoate | Ester | 1.6 | 985 | 1387 | 1390 | 1.07 ± 0.01 | 0.07 ± 0.00 | – | – | 0.32 ± 0.01 | 0.02 ± 0.00 |
| 75 | 7-epi-Sesquithujene | Sesquiterpene | 1.0 | 942 | 1389 | 1387 | – | – | 0.12 ± 0.01 | 0.01 ± 0.00 | 0.54 ± 0.01 | 0.06 ± 0.00 |
| 76 | Sativene | Sesquiterpene | 1.0 | 905 | 1397 | 1394 | – | – | 0.86 ± 0.04 | 0.10 ± 0.00 | 1.54 ± 0.02 | 0.16 ± 0.00 |
| 77 | α-Funebrene | Sesquiterpene | 1.0 | 909 | 1404 | 1403 | 0.26 ± 0.02 | 0.03 ± 0.00 | 0.34 ± 0.01 | 0.04 ± 0.00 | 0.29 ± 0.01 | 0.03 ± 0.00 |
| 78 | (Z)-Caryophyllene | Sesquiterpene | 1.0 | 953 | 1407 | 1413 | 0.28 ± 0.01 | 0.03 ± 0.00 | 5.37 ± 0.13 | 0.60 ± 0.00 | 1.39 ± 0.01 | 0.15 ± 0.00 |
| 79 | α-Gurjunene | Sesquiterpene | 1.0 | 986 | 1410 | 1406 | 0.28 ± 0.01 | 0.03 ± 0.00 | 0.73 ± 0.02 | 0.08 ± 0.00 | – | – |
| 80 | α-, (Z)-Bergamotene | Sesquiterpene | 1.0 | 978 | 1415 | 1416 | 2.07 ± 0.10 | 0.23 ± 0.00 | 2.38 ± 0.06 | 0.27 ± 0.00 | 0.75 ± 0.01 | 0.08 ± 0.00 |
| 81 | (E)-Caryophyllene | Sesquiterpene | 1.0 | 995 | 1423 | 1424 | 132.31 ± 6.31 | 14.57 ± 0.02 | 236.88 ± 5.47 | 26.50 ± 0.01 | 290.18 ± 3.69 | 30.66 ± 0.02 |
| 82 | γ-Elemene | Sesquiterpene | 1.0 | 965 | 1432 | 1432 | – | – | 0.63 ± 0.01 | 0.07 ± 0.00 | 0.71 ± 0.02 | 0.08 ± 0.00 |
| 83 | α-, (E)-Bergamotene | Sesquiterpene | 1.0 | 994 | 1435 | 1432 | 9.03 ± 0.42 | 0.99 ± 0.00 | 14.02 ± 0.33 | 1.57 ± 0.00 | 11.83 ± 0.12 | 1.25 ± 0.00 |
| 84 | α-Guaiene | Sesquiterpene | 1.0 | 950 | 1438 | 1438 | 0.49 ± 0.02 | 0.05 ± 0.00 | 0.72 ± 0.02 | 0.08 ± 0.00 | 38.25 ± 0.46 | 4.04 ± 0.01 |
| 85 | Aromadendrene | Sesquiterpene | 1.0 | 986 | 1442 | 1438 | 0.34 ± 0.02 | 0.04 ± 0.00 | – | – | – | – |
| 86 | Guaia-6,9-diene | Sesquiterpene | 1.0 | 969 | 1444 | 1444 | – | – | 2.42 ± 0.08 | 0.27 ± 0.00 | 0.20 ± 0.01 | 0.02 ± 0.00 |
| 87 | (E)-Geranylacetone | ketone | 1.3 | 948 | 1450 | 1450 | – | – | 2.08 ± 0.01 | 0.18 ± 0.00 | – | – |
| 88 | (E)-, β-Farnesene | Sesquiterpene | 1.0 | 992 | 1454 | 1452 | 16.48 ± 0.74 | 1.82 ± 0.01 | 9.57 ± 0.23 | 1.07 ± 0.00 | 9.44 ± 0.11 | 1.00 ± 0.00 |
| 89 | α-Humulene | Sesquiterpene | 1.0 | 996 | 1458 | 1454 | 39.07 ± 1.81 | 4.30 ± 0.01 | 78.88 ± 1.82 | 8.82 ± 0.00 | 77.90 ± 0.96 | 8.23 ± 0.01 |
| 90 | 9-epi-(E)-Caryophyllene | Sesquiterpene | 1.0 | 981 | 1463 | 1464 | 2.84 ± 0.13 | 0.31 ± 0.00 | 10.22 ± 0.24 | 1.14 ± 0.00 | 1.13 ± 0.01 | 0.12 ± 0.00 |
| 91 | β-Acoradiene | Sesquiterpene | 1.0 | 915 | 1471 | 1467 | – | – | 0.31 ± 0.01 | 0.04 ± 0.00 | 0.61 ± 0.01 | 0.06 ± 0.00 |
| 92 | Drima-7,9(11)-diene | Sesquiterpene | 1.0 | 980 | 1473 | 1473 | – | – | 0.92 ± 0.04 | 0.10 ± 0.00 | – | – |
| 93 | Selina-4,11-diene | Sesquiterpene | 1.0 | 983 | 1476 | 1476 | – | – | 1.09 ± 0.06 | 0.12 ± 0.01 | – | – |
| 94 | β-Chamigrene | Sesquiterpene | 1.0 | 959 | 1477 | 1479 | – | – | – | – | 4.45 ± 0.05 | 0.47 ± 0.00 |
| 95 | γ-Muurolene | Sesquiterpene | 1.0 | 981 | 1478 | 1478 | – | – | 0.44 ± 0.01 | 0.05 ± 0.00 | – | – |
| 96 | α-Neocallitropsene | Sesquiterpene | 1.0 | 938 | 1479 | 1480 | – | – | 1.51 ± 0.13 | 0.17 ± 0.01 | – | – |
| 97 | γ-Gurjunene | Sesquiterpene | 1.0 | 957 | 1480 | 1476 | – | – | – | – | 2.19 ± 0.02 | 0.23 ± 0.00 |
| 98 | γ-Curcumene | Sesquiterpene | 1.0 | 960 | 1480 | 1482 | 0.52 ± 0.02 | 0.06 ± 0.00 | 4.96 ± 0.12 | 0.55 ± 0.00 | – | – |
| 99 | α-Amorphene | Sesquiterpene | 1.0 | 963 | 1482 | 1482 | – | – | – | – | – | – |
| 100 | α-Curcumene | Sesquiterpene | 1.0 | 968 | 1483 | 1480 | 0.32 ± 0.02 | 0.04 ± 0.00 | – | – | 0.94 ± 0.01 | 0.10 ± 0.00 |
| 101 | Aristolochene | Sesquiterpene | 1.0 | 921 | 1487 | 1490 | – | – | – | – | – | – |
| 102 | Eremophilene | Sesquiterpene | 1.0 | 939 | 1486 | 1491 | – | – | 8.44 ± 0.18 | 0.94 ± 0.00 | 6.39 ± 0.05 | 0.67 ± 0.00 |
| 103 | β-, (E)-Bergamotene | Sesquiterpene | 1.0 | 935 | 1487 | 1483 | 0.63 ± 0.03 | 0.07 ± 0.00 | – | – | – | – |
| 104 | β-Selinene | Sesquiterpene | 1.0 | 988 | 1492 | 1492 | 0.91 ± 0.04 | 0.10 ± 0.00 | 22.04 ± 0.62 | 2.46 ± 0.01 | 12.19 ± 0.16 | 1.29 ± 0.00 |
| 105 | Valencene | Sesquiterpene | 1.0 | 983 | 1489 | 1492 | 0.47 ± 0.02 | 0.05 ± 0.00 | 4.98 ± 0.08 | 0.56 ± 0.00 | 1.52 ± 0.01 | 0.16 ± 0.00 |
| 106 | α-Selinene | Sesquiterpene | 1.0 | 985 | 1499 | 1501 | 0.80 ± 0.03 | 0.09 ± 0.00 | 15.55 ± 0.30 | 1.74 ± 0.01 | 13.68 ± 0.16 | 1.45 ± 0.00 |
| 107 | (Z)-, α-Bisabolene | Sesquiterpene | 1.0 | 933 | 1502 | 1503 | 0.54 ± 0.03 | 0.06 ± 0.00 | – | – | 2.11 ± 0.23 | 0.22 ± 0.02 |
| 108 | ε-Amorphene | Sesquiterpene | 1.0 | 961 | 1503 | 1502 | – | – | 0.68 ± 0.05 | 0.08 ± 0.00 | – | – |
| 109 | α-Bulnesene | Sesquiterpene | 1.0 | 990 | 1505 | 1505 | – | – | 1.28 ± 0.01 | 0.14 ± 0.00 | 75.38 ± 1.10 | 7.97 ± 0.03 |
| 110 | (E,E)-, α-Farnesene | Sesquiterpene | 1.0 | 995 | 1506 | 1504 | 5.71 ± 0.23 | 0.63 ± 0.01 | – | – | – | – |
| 111 | β-Bisabolene | Sesquiterpene | 1.0 | 995 | 1510 | 1508 | 13.51 ± 0.57 | 1.49 ± 0.01 | 2.52 ± 0.06 | 0.28 ± 0.00 | 17.46 ± 0.25 | 1.85 ± 0.02 |
| 112 | (Z)-, γ-Bisabolene | Sesquiterpene | 1.0 | 952 | 1512 | 1511 | – | – | 1.04 ± 0.04 | 0.12 ± 0.00 | – | – |
| 113 | Sesquicineole | Epoxide | 1.5 | 912 | 1516 | 1514 | 3.28 ± 0.14 | 0.24 ± 0.00 | – | – | 3.24 ± 0.05 | 0.23 ± 0.00 |
| 114 | γ-Cadinene | Sesquiterpene | 1.0 | 974 | 1517 | 1512 | – | – | – | – | – | – |
| 115 | δ-Cadinene | Sesquiterpene | 1.0 | 967 | 1522 | 1518 | 0.37 ± 0.01 | 0.04 ± 0.00 | 1.19 ± 0.10 | 0.13 ± 0.01 | – | – |
| 116 | β-Sesquiphellandrene | Sesquiterpene | 1.0 | 991 | 1526 | 1523 | 2.23 ± 0.09 | 0.25 ± 0.00 | 0.56 ± 0.02 | 0.06 ± 0.00 | 1.32 ± 0.01 | 0.14 ± 0.00 |
| 117 | Selina-4(15),7(11)-diene | Sesquiterpene | 1.0 | 985 | 1541 | 1540 | – | – | 18.09 ± 0.40 | 2.02 ± 0.00 | 33.04 ± 1.28 | 3.49 ± 0.17 |
| 118 | (E)-, α-Bisabolene | Sesquiterpene | 1.0 | 953 | 1543 | 1540 | 13.00 ± 0.55 | 1.43 ± 0.01 | – | – | 30.14 ± 1.91 | 3.18 ± 0.17 |
| 119 | Selina-3,7(11)-diene | Sesquiterpene | 1.0 | 994 | 1546 | 1546 | 0.55 ± 0.03 | 0.06 ± 0.00 | 14.21 ± 0.34 | 1.59 ± 0.00 | 40.18 ± 0.48 | 4.25 ± 0.00 |
| 120 | Germacrene B | Sesquiterpene | 1.0 | 926 | 1552 | 1557 | 0.36 ± 0.01 | 0.04 ± 0.00 | – | – | – | – |
| 121 | epi-Longipinanol | Alcohol | 1.3 | 929 | 1554 | 1558 | 0.55 ± 0.03 | 0.05 ± 0.00 | 3.18 ± 0.06 | 0.27 ± 0.00 | – | – |
| 122 | Longicamphenylone | ketone | 1.3 | 896 | 1559 | 1560 | – | – | – | – | – | – |
| 123 | (E)-Nerolidol | Alcohol | 1.3 | 916 | 1563 | 1561 | 10.53 ± 0.40 | 0.89 ± 0.01 | 22.99 ± 0.52 | 1.98 ± 0.00 | 5.31 ± 0.05 | 0.43 ± 0.00 |
| 124 | Longipinanol | Alcohol | 1.3 | 948 | 1577 | 1572 | 0.34 ± 0.02 | 0.04 ± 0.00 | 2.23 ± 0.04 | 0.19 ± 0.00 | 0.49 ± 0.10 | 0.04 ± 0.00 |
| 125 | Caryolan-8-ol | Alcohol | 1.3 | 957 | 1580 | 1575 | – | – | – | – | – | – |
| 126 | Caryophyllene oxide | Epoxide | 1.5 | 991 | 1586 | 1587 | 4.26 ± 0.18 | 0.31 ± 0.00 | 88.75 ± 2.03 | 6.62 ± 0.00 | 21.64 ± 0.28 | 1.52 ± 0.00 |
| 127 | Fokienol | Alcohol | 1.3 | 915 | 1594 | 1596 | – | – | – | – | – | – |
| 128 | Guaiol | Alcohol | 1.3 | 993 | 1601 | 1600 | 34.95 ± 1.31 | 2.96 ± 0.04 | – | – | – | – |
| 129 | Javanol isomer II | Alcohol | 1.3 | 922 | 1610 | 1612 | – | – | – | – | – | – |
| 130 | 5-epi-7-epi-α-Eudesmol | Alcohol | 1.3 | 956 | 1611 | 1610 | 2.71 ± 0.10 | 0.23 ± 0.00 | – | – | – | – |
| 131 | Humulene epoxide II | Epoxide | 1.5 | 991 | 1615 | 1613 | 1.44 ± 0.07 | 0.11 ± 0.00 | 27.35 ± 0.58 | 2.04 ± 0.00 | 6.26 ± 0.09 | 0.44 ± 0.00 |
| 132 | epi-γ-Eudesmol | Alcohol | 1.3 | 989 | 1627 | 1624 | – | – | 13.81 ± 0.33 | 1.19 ± 0.00 | – | – |
| 133 | γ-Eudesmol | Alcohol | 1.3 | 987 | 1628 | 1632 | 31.75 ± 1.20 | 2.69 ± 0.03 | – | – | – | – |
| 134 | Eremoligenol | Alcohol | 1.3 | 961 | 1636 | 1632 | 6.47 ± 0.25 | 0.55 ± 0.01 | – | – | – | – |
| 135 | Caryophylla-4(12),8(13)-dien-5-β-ol | Alcohol | 1.3 | 909 | 1639 | 1636 | – | – | – | – | – | – |
| 136 | Caryophylla-4(12),8(13)-dien-5-α-ol | Alcohol | 1.3 | 968 | 1643 | 1642 | – | – | 15.06 ± 0.36 | 1.30 ± 0.00 | 1.66 ± 0.02 | 0.14 ± 0.00 |
| 137 | Agarospirol | Alcohol | 1.3 | 958 | 1645 | 1646 | 1.77 ± 0.07 | 0.15 ± 0.00 | – | – | – | – |
| 138 | Hinesol | Alcohol | 1.3 | 974 | 1645 | 1645 | 1.25 ± 0.05 | 0.11 ± 0.00 | – | – | – | – |
| 139 | allo-Aromandendrene epoxide | Epoxide | 1.5 | 946 | 1649 | 1644 | – | – | 19.04 ± 0.30 | 1.42 ± 0.01 | – | – |
| 140 | Pogostol | Alcohol | 1.3 | 896 | 1649 | 1650 | 3.05 ± 0.09 | 0.26 ± 0.00 | – | – | – | – |
| 141 | β-Eudesmol | Alcohol | 1.3 | 933 | 1661 | 1656 | 30.97 ± 1.10 | 2.62 ± 0.04 | – | – | – | – |
| 142 | 14-hydroxy-(Z)-Caryophyllene | Alcohol | 1.3 | 951 | 1662 | 1664 | – | – | 21.47 ± 0.46 | 1.85 ± 0.00 | 2.89 ± 0.06 | 0.23 ± 0.00 |
| 143 | neo-Intermedeol | Alcohol | 1.3 | 932 | 1662 | 1661 | – | – | – | – | 2.27 ± 0.06 | 0.18 ± 0.00 |
| 144 | 7-epi-α-Eudesmol | Alcohol | 1.3 | 960 | 1667 | 1665 | 1.27 ± 0.05 | 0.11 ± 0.00 | – | – | – | – |
| 145 | Intermedeol | Alcohol | 1.3 | 967 | 1670 | 1668 | – | – | 1.95 ± 0.06 | 0.17 ± 0.00 | 1.03 ± 0.01 | 0.08 ± 0.00 |
| 146 | Bulnesol | Alcohol | 1.3 | 991 | 1670 | 1670 | 22.29 ± 0.76 | 1.89 ± 0.04 | – | – | – | – |
| 147 | Khusinol | Alcohol | 1.3 | 918 | 1677 | 1677 | – | – | 13.86 ± 0.26 | 1.19 ± 0.01 | 2.62 ± 0.05 | 0.21 ± 0.00 |
| 148 | α-Bisabolol | Alcohol | 1.3 | 983 | 1689 | 1688 | 24.80 ± 0.83 | 2.10 ± 0.04 | 4.85 ± 0.11 | 0.42 ± 0.00 | 29.22 ± 0.41 | 2.38 ± 0.00 |
| 149 | Juniper camphor | Alcohol | 1.3 | 928 | 1701 | 1696 | – | – | 0.79 ± 0.01 | 0.07 ± 0.00 | – | – |
| 150 | Caryophyllene acetate isomer I | Ester | 1.6 | 917 | 1704 | 1701 | – | – | 5.60 ± 0.12 | 0.39 ± 0.00 | 0.90 ± 0.02 | 0.06 ± 0.00 |
| 151 | iso-Longifolol | Alcohol | 1.3 | 933 | 1726 | 1727 | – | – | – | – | 0.24 ± 0.01 | 0.02 ± 0.00 |
| 152 | Nootkatone | Ketone | 1.3 | 974 | 1810 | 1806 | – | – | – | – | – | – |
| 153 | Phytone | Ketone | 1.3 | 991 | 1843 | 1841 | – | – | 2.08 ± 0.06 | 0.18 ± 0.00 | 0.65 ± 0.01 | 0.05 ± 0.00 |
| 154 | m-Camphorene | Diterpene | 1.0 | 979 | 1950 | 1946 | 0.29 ± 0.01 | 0.03 ± 0.00 | 0.27 ± 0.01 | 0.03 ± 0.00 | 0.36 ± 0.01 | 0.04 ± 0.00 |
| 155 | p-Camphorene | Diterpene | 1.0 | 983 | 1986 | 1984 | 0.11 ± 0.00 | 0.01 ± 0.00 | 0.34 ± 0.01 | 0.04 ± 0.00 | 0.21 ± 0.01 | 0.02 ± 0.00 |
| 156 | Phytol | Alcohol | 1.3 | 956 | 2111 | 2111 | – | – | 1.23 ± 0.03 | 0.14 ± 0.01 | – | – |
| 157 | Cannabidivarin (CBDV) | Cannabinoid | 1.0 | 897 | 2215 | 2216 | – | – | 0.74 ± 0.04 | 0.06 ± 0.00 | – | – |
| 158 | Cannabicitran (CBT) | Cannabinoid | 1.0 | 954 | 2281 | 2284 | – | – | 1.03 ± 0.05 | 0.08 ± 0.00 | – | – |
| 159 | Cannabicyclol (CBL) | Cannabinoid | 1.0 | 890 | 2373 | 2374 | – | – | 0.25 ± 0.02 | 0.02 ± 0.00 | – | – |
| 160 | Cannabidiol (CBD) | Cannabinoid | 1.0 | 983 | 2424 | 2421 | 2.24 ± 0.29 | 0.12 ± 0.01 | 20.06 ± 1.00 | 1.60 ± 0.01 | 4.67 ± 0.07 | 0.36 ± 0.00 |
| 161 | Cannabichromene (CBC) | Cannabinoid | 1.0 | 892 | 2433 | 2435 | – | – | 0.47 ± 0.06 | 0.04 ± 0.00 | – | – |
| 162 | δ8-Tetrahydrocannabinol (Δ8-THC) | Cannabinoid | 1.0 | 890 | 2501 | 2501 | – | – | 0.16 ± 0.01 | 0.01 ± 0.00 | – | – |
| 163 | δ9-Tetrahydrocannabinol (Δ9-THC) | Cannabinoid | 1.0 | 910 | 2525 | 2527 | – | – | 0.26 ± 0.01 | 0.02 ± 0.00 | – | – |
| 164 | n-Heptacosane | Aliphatic | 1.0 | 953 | 2701 | 2700 | – | – | 0.23 ± 0.01 | 0.03 ± 0.00 | – | – |
| 165 | n-Nonacosane | Aliphatic | 1.0 | 958 | 2902 | 2900 | – | – | 0.37 ± 0.01 | 0.04 ± 0.00 | – | – |
| NOT IDENTIFIED | – | – | – | – | – | 15.07 ± 0.43 | 1.66 ± 0.02 | 75.61 ± 1.94 | 8.45 ± 0.02 | 37.05 ± 0.34 | 3.88 ± 0.02 | |
| TOTAL | – | – | – | – | – | 981.41 ± 22.53 | 100.00 ± 0.00 | 980.04 ± 22.72 | 100.00 ± 0.00 | 991.07 ± 8.77 | 100.00 ± 0.00 | |
| HYDROCARBON Compounds | – | – | – | – | – | 668.63 ± 14.51 | 73.39 ± 0.19 | 610.32 ± 13.90 | 68.04 ± 0.04 | 796.68 ± 7.16 | 83.86 ± 0.01 | |
| Monoterpenes | – | – | – | – | – | 424.22 ± 3.34 | 46.48 ± 0.27 | 142.26 ± 3.05 | 15.68 ± 0.06 | 119.17 ± 5.25 | 12.27 ± 0.08 | |
| Sesquiterpenes | – | – | – | – | – | 244.00 ± 11.25 | 26.87 ± 0.08 | 466.57 ± 10.80 | 52.19 ± 0.02 | 676.94 ± 8.24 | 71.53 ± 0.07 | |
| Diterpenes | – | – | – | – | – | 0.40 ± 0.01 | 0.04 ± 0.00 | 0.61 ± 0.02 | 0.07 ± 0.00 | 0.57 ± 0.01 | 0.06 ± 0.00 | |
| Aliphatic | – | – | – | – | – | 0.00 ± 0.00 | 0.00 ± 0.00 | 0.89 ± 0.03 | 0.10 ± 0.00 | 0.00 ± 0.00 | 0.00 ± 0.00 | |
| OXIGENATED Compounds | – | – | – | – | – | 297.72 ± 7.68 | 24.95 ± 0.19 | 294.11 ± 6.88 | 23.51 ± 0.06 | 157.34 ± 2.86 | 12.26 ± 0.02 | |
| Aldehydes | – | – | – | – | – | 1.01 ± 0.08 | 0.08 ± 0.01 | 1.19 ± 0.01 | 0.10 ± 0.00 | 3.23 ± 0.16 | 0.26 ± 0.00 | |
| Alcohols | – | – | – | – | – | 280.45 ± 6.87 | 23.71 ± 0.18 | 123.30 ± 2.56 | 10.62 ± 0.02 | 111.55 ± 2.76 | 8.94 ± 0.01 | |
| Esters | – | – | – | – | – | 3.02 ± 0.05 | 0.21 ± 0.00 | 8.04 ± 0.15 | 0.60 ± 0.00 | 1.95 ± 0.01 | 0.13 ± 0.00 | |
| Ketones | – | – | – | – | – | 2.02 ± 0.03 | 0.17 ± 0.00 | 3.50 ± 0.07 | 0.30 ± 0.00 | 4.81 ± 0.15 | 0.38 ± 0.00 | |
| Epoxides | – | – | – | – | – | 8.98 ± 0.39 | 0.66 ± 0.01 | 135.13 ± 2.91 | 10.08 ± 0.02 | 31.13 ± 0.37 | 2.19 ± 0.00 | |
| Cannabinoids | – | – | – | – | – | 2.24 ± 0.29 | 0.12 ± 0.01 | 22.95 ± 1.17 | 1.83 ± 0.01 | 4.67 ± 0.07 | 0.36 ± 0.00 | |
| Distillation Yield | – | – | – | – | – | 0.200 | 0.016 | 0.109 | ||||
Table 3: Measurements of response factors (RFs) for different cannabinoid compounds.
| Compounds | Rep. 1 | Rep. 2 | Rep. 3 | Mean ± SD | RF |
|---|---|---|---|---|---|
| Cannabidivarin (CBDV) | 0.992 | 0.998 | 0.992 | 0.994 ± 0.003 | 1.0 |
| Cannabicitran (CBT) | 0.917 | 0.966 | 0.974 | 0.952 ± 0.031 | 1.0 |
| Cannabicyclol (CBL) | 0.982 | 0.980 | 0.978 | 0.980 ± 0.002 | 1.0 |
| Cannabidiol (CBD) | 0.981 | 0.981 | 0.979 | 0.980 ± 0.002 | 1.0 |
| Cannabichromene (CBC) | 1.050 | 1.050 | 1.042 | 1.047 ± 0.002 | 1.0 |
| δ8-Tetrahydrocannabinol (Δ8-THC) | 1.062 | 0.996 | 0.997 | 1.018 ± 0.038 | 1.0 |
| δ9-Tetrahydrocannabinol (Δ9-THC) | 1.019 | 0.959 | 0.956 | 0.978 ± 0.036 | 1.0 |
In accordance with data reported in the literature [ref. 10,ref. 18,ref. 23], hydrocarbons were the predominant chemical class with concentrations ranging from 563.45 ± 8.66 mg g−1 (64.35 ± 0.05%) registered in dried hemp Kompolti variety to 851.75 ± 59.81 mg g−1 (91.41 ± 0.03%) in fresh inflorescences of the Kompolti variety. Overall, fresh varieties revealed the higher monoterpene content, while their loss was detected in dried inflorescences, indicating that the drying processes caused the evaporation of compounds with low boiling points and altered the real composition of the starting material. An expansion of the GC-MS chromatogram relative to the monoterpene region is shown in Figure 2. The main components in term of abundance were α-pinene (peak 5), β-pinene (peak 9), myrcene (peak 11), and limonene (peak 19).

On the other hand, the sesquiterpene family was abundant in dried samples, reaching the maximum value of 676.94 ± 8.24 mg g−1 (71.53 ± 0.07%) in the Finola variety inflorescences (Figure 3). (E)-Caryophyllene (peak 81) and α-humulene (peak 89) were the predominant compounds. Relevant quantities of α-, (E)-bergamotene, (peak 83), α-guaiene (peak 84) and (E)-, β-farnesene (peak 88) were also registered. It is also worth noting the presence of selina and selinene derivatives as particularly abundant. In such respect, β-selinene (peak 104), α-selinene (peak 106), selina-4(15),7(11)-diene (peak 117) and selina-3,7(11)-diene (peak 119) were identified in distilled cannabis EOs. The detection of these compounds was also reported by Benelli et al. [ref. 23] after the distillation of Cannabis Sativa cv. Felina 32. Additionally, Marchinini et al. [ref. 24] detected abundant quantities of these derivatives both in herb inflorescences and hashish samples using a comprehensive two-dimensional GC system coupled to mass spectrometer (GC × GC-MS).

A high variability was involved in the oxygenated compounds with concentrations ranging from 65.86 ± 1.11 mg g−1 (4.69 ± 0.13%) in fresh hemp variety Futura 75, to 321.78 ± 4.39 mg g−1 (26.66 ± 0.06%) in the dried Kompolti variety. Generally, alcohols and epoxides were the most abundant compounds. The former group was abundant, especially in fresh hemp cultivar Carmagnola, including linalool (peak 30 in Figure 2) as the main monoterpene alcohol, while guaiol, γ-eudesmol, β-eudesmol, bulnesol and α-bisabolol (peak 148 in Figure 3) were the predominant sesquiterpene alcohols. Among the alcohols, it is also worth highlighting the presence of (E)-nerolidol (peak 123 in Figure 3) whose content was abundant, especially in dried hemp cultivar Kompolti (33.68 ± 0.59 mg g−1). On the other hand, the epoxide family registered high levels especially in dried hemp inflorescences, according to the oxidation processes caused by drying treatments. Cariophyllene oxide (peak 126) and humulene epoxide (peak 131) were the main epoxides identified in analyzed varieties. In the case of the hemp Felina 32 variety, caryophyllene oxide reached a value as much as of 88.75 ± 2.03 mg g−1 (6.62 ± 0.00%), while lower levels were detected for humulene epoxide (27.35 ± 0.58 mg g−1 corresponding to 2.04 ± 0.00%).
Microwave-based distillation also allowed the isolation of cannabinoid compounds. In fact, a total of seven cannabinoids were identified in selected cannabis EOs. For a detailed elucidation of cannabinoids, pure standards of cannabidivarin (CBDV), cannabicitran (CBT), cannabicyclol (CBL), cannabidiol (CBD), cannabichromene (CBC), δ8-tetrahydrocannabinol (Δ8-THC) and δ9-tetrahydrocannabinol (Δ9-THC) were injected into the GC instrument and their MS spectra and reference LRI values were determined. From the quantitative point of view, cannabidiol (CBD, peak 160 in Figure 4) was the predominant cannabinoid, in accordance with the non-drug-type nature of analyzed samples. On the base of this result, the technique demonstrated to also be adept to distinguish Cannabis sativa varieties cultivated for fiber production (hemp) or medical and drug purposes (marijuana). Overall, a low content of cannabinoids was quantified in fresh samples (from 2.11 ± 0.06 mg g−1 to 5.33 ± 0.28 mg g−1), while higher levels were obtained in those dried (from 12.74 ± 1.73 mg g−1 to 22.95 ± 1.17 mg g−1). This behavior may be related to the higher content of water in fresh material which produces the lowest yields of cannabinoids due to their poor solubility [ref. 25]. In addition, no trace of cannabinoids in acid form was detected in analyzed samples. According to their thermal lability, the high temperature to which the molecules are exposed during drying processes, distillation (including MAHD), injection, and chromatographic runs causes the decarboxylation of the native acid cannabinoids into their neutral form [ref. 18]. δ9-THC (peak 163 in Figure 4), responsible for the psychoactive effects of the cannabis plant [ref. 26], was found in dried hemp inflorescences in quantities ranging from 0.18 ± 0.00 mg g−1 to 0.56 ± 0.08 mg g−1. An expansion of the GC-MS chromatogram of the cannabinoid region is illustrated in Figure 4.

2.3. Enantiomeric Distribution in Cannabis EO
The chirality concept assumes relevance in control laboratories if the enantiomeric distributions of target compounds are well-defined. In this case, it became possible establish the authenticity of suspicious samples. The enantio-GC strategy developed here can be considered the key to reveal eventual adulteration in cannabis EO. As frequently reported in the literature, the chiral investigations of terpenes and terpenoids are carried out by using cyclodextrin-based stationary phases, capable of separating both dextrorotary (+) and levorotary (−) forms of the enantiomers [ref. 15]. In order to guarantee the reliability of the analytical data and provide a highly valid chromatographic approach, commercial standards of known absolute configuration were initially injected in GC-MS. When not available, aromatic plant EOs, such as bergamot and cabreuva EOs, were analyzed for establishing the elution order of the individual enantiomers. To this purpose, a 30 m capillary column coated with a permethylated β-cyclodextrin stationary phase was used and a dedicated chiral MS database was constructed in the laboratory. In order to correctly characterize enantiomeric distribution, avoiding mistaken peak assignment, LRIs of the separated chiral species were calculated against a homologue series of C8–C20 saturated alkanes.
A total of 10 enantiomer couples were determined in cannabis EOs, and their relative abundances are reported in Table 4. The enantiomeric excesses of α-pinene, camphene, β-pinene, limonene, linalool and fenchyl alcohol were calculated monitoring their total ion current (TIC). In the case of borneol, (E)-caryophyllene, (E)-nerolidol and caryophyllene oxide, the TIC signals were characterized from numerous interferences and/or coelution caused by the high complexity of the analyzed sample, especially in the sesquiterpene region. Thus, the authors preferred to select only one m/z value, usually corresponding to the most abundant fragment, and create an extracted ion current (EIC) chromatogram to facilitate the data processing. In fact, EIC chromatograms improved the visualization of the signal produced, allowing the correct evaluation of both (+) and (−) forms. Applications of the enhanced EIC chromatogram are illustrated in Figure 5.
Table 4: Enantiomeric distribution of selected components in cannabis EOs from different cultivars. Abbreviations: match: database spectral similarity; enantio-LRIexp: chiral experimental LRI; enantio-LRIref: chiral reference LRI; MS signal: mass signal monitored.
| Enantiomer | Match | Enantio-LRIexp | Enantio-LRIref | MS Signal | Kompolti | Futura 75 | Carmagnola | Felina 32 | Finola | ||
|---|---|---|---|---|---|---|---|---|---|---|---|
| Fresh | Dried | Fresh | Dried | Fresh | Dried | Fresh | |||||
| (R)-(−)-a-Pinene | 941 | 1021 | 1020 | TIC | 4.03 | 8.72 | 5.91 | 6.01 | 94.02 | 8.31 | 12.11 |
| (S)-(+)-a-Pinene | 994 | 1026 | 1025 | 95.97 | 91.28 | 94.09 | 93.99 | 5.98 | 91.69 | 87.89 | |
| (S)-(−)-Camphene | 974 | 1060 | 1061 | TIC | 42.10 | 42.12 | 37.89 | 40.48 | 95.55 | 29.82 | 59.71 |
| (R)-(+)-Camphene | 940 | 1066 | 1067 | 57.90 | 57.88 | 62.11 | 59.52 | 4.45 | 70.18 | 40.29 | |
| (R)-(+)-β-Pinene | 984 | 1080 | 1083 | TIC | 83.70 | 79.95 | 85.61 | 83.51 | 97.34 | 83.15 | 68.07 |
| (S)-(−)-β-Pinene | 956 | 1085 | 1086 | 16.30 | 20.05 | 16.49 | 16.49 | 2.66 | 16.85 | 31.93 | |
| (S)-(−)-Limonene | 995 | 1100 | 1102 | TIC | 86.45 | 92.30 | – | 73.22 | 94.02 | 83.15 | 91.90 |
| (R)-(+)-Limonene | 991 | 1105 | 1106 | 13.55 | 7.70 | – | 26.78 | 5.98 | 16.85 | 8.10 | |
| (R)-(−)-Linalool | 965 | 1260 | 1261 | TIC | 5.79 | 27.60 | – | 21.78 | 2.20 | 32.23 | 20.5 |
| (S)-(+)-Linalool | 979 | 1263 | 1264 | 94.21 | 72.40 | – | 78.22 | 97.80 | 67.77 | 79.5 | |
| (R)-(+)-Fenchyl alcohol | 992 | 1357 | 1358 | TIC | 98.24 | 92.30 | – | 94.83 | 99.31 | 87.16 | 99.38 |
| (S)-(−)-Fenchyl alcohol | 932 | 1360 | 1362 | 1.76 | 7.70 | – | 5.17 | 0.69 | 12.84 | 0.62 | |
| (S)-(−)-Borneol | 977 | 1439 | 1439 | 95 m/z | 83.11 | 66.84 | 63.83 | 73.44 | 97.34 | 62.18 | 94.24 |
| (R)-(+)-Borneol | 971 | 1447 | 1450 | 16.89 | 33.16 | 36.17 | 26.56 | 2.66 | 37.82 | 5.76 | |
| (R)-(−)-(E)-Caryophyllene | 993 | 1501 | 1504 | 133 m/z | 100.00 | 100.00 | 100.00 | 100.00 | 100.00 | 100.00 | 100.00 |
| (R)-(−)-(E)-Nerolidol | 947 | 1715 | 1716 | 69 m/z | 4.98 | 0.56 | 2.63 | 1.50 | 0.75 | 0.76 | 2.76 |
| (S)-(+)-(E)-Nerolidol | 994 | 1718 | 1719 | 95.02 | 99.44 | 97.37 | 98.50 | 99.25 | 99.24 | 97.24 | |
| (S)-(+)-Caryophyllene oxide | 987 | 1739 | 1739 | 79 m/z | – | 1.90 | 0.98 | 8.57 | 8.50 | 0.99 | 1.78 |
| (R)-(−)-Caryophyllene oxide | 993 | 1746 | 1747 | – | 98.10 | 99.02 | 91.43 | 91.50 | 99.01 | 98.22 | |
In the fresh Futura 75 sample, the enantio-distribution of limonene was not determined due to a coelution of (+)-limonene with a component.

In accordance with the major parts of the plants, Cannabis sativa species showed a highly typical trend. The first part of enantio-GC chromatogram was characterized by the presence of monoterpenes including α-pinene, camphene, β-pinene and limonene. In elution order, α-pinene showed an excess of the dextrorotary form among cultivars, except for the hemp variety Carmagnola. The abundance of the (+) form was counted from a maximum value of 95.97% in Kompolti fresh inflorescences to a minimum value of 87.89% in the Finola variety. An inversion of the enantiomer distribution was observed in the case of the Carmagnola variety, with a value of the (−) isomer of 94.02%. A regular trend was registered in the case of camphene enantiomers. In such respect, a clear predominance of (+) or (−) forms was not found, and their abundance varied around 50%. However, a high enantiomer excess was registered in favor of (−)-camphene in hemp variety Carmagnola, indicating an irregular behavior compared to other cannabis samples. The values determined for the enantiomeric excess of β-pinene and limonene were constant between the investigated cultivars. In detail, the former component presented an abundance of the dextrorotary isomer with values ranging from 68.07% in Finola to 97.34% in Carmagnola, while the second compound was abundant in the levorotary form (from 73.22% in dried hemp variety Futura 75 to 94.02% in Carmagnola). In the intermediate region of the enantio-GC chromatogram, a group of alcohol compounds, including linalool, fenchyl alcohol and borneol, was investigated. The (+) form of linalool and fenchyl alcohol were abundant in distilled samples, showing a linear behavior inter-cultivar. Regarding borneol, the enantiomeric excess of the (−) form indicated a clear prevalence of levorotary isomer in cannabis plants. (E)-Caryophyllene, (E)-nerolidol, and caryophyllene oxide were eluted in the last part of the chromatogram grouped in the sesquiterpene region. Due to the absence of the (+) form of (E)-caryophyllene, not only as commercial standard but also as a compound rarely available in nature [ref. 27], its enantiomeric excess was tentatively determined. The exclusive commercially available (−)-(E)-caryophyllene standard allowed us to obtain information about its elution time, but no values regarding the resolving power of the chiral column were obtainable. From the obtained results, (E)-caryophyllene showed an enantiomeric excess of 100% in favor of the (−) form and no trace of the (+) isomer was detected in the enantio-GC-MS chromatogram. An identical result was obtained by Fiorini et al. [ref. 13]. For evaluating the enantiomeric distribution of (E)-nerolidol in Cannabis Sativa plants, an (E)-nerolidol racemic mixture and a Cabreuva (Myrocarpus fastigiatus) oil containing mainly (+)-(E)-nerolidol [ref. 28] were utilized. Enantio-GC analysis of the standard showed the capability of the column to separate both (−) and (+) forms of (E)-nerolidol, while Cabreuva EO analysis allowed us to establish the elution order of the enantiomers. The chiral results showed an excess of (+)-(E)-nerolidol with abundances ranging from 95.02% in fresh hemp cultivar Kompolti to 99.44% in dried Kompolti. The chiral separation of caryophyllene oxide was confirmed by the injection of the certified standard (−)-caryophyllene oxide, containing trace levels of (+) form. According to data in the literature [ref. 13], the enantio-GC-MS method confirmed the predominance of (−)-caryophyllene oxide in Cannabis sativa plant. Low levels of (+)-caryophyllene oxide (min value, 0.98%–max value, 8.57%) were reported for the first time.
3. Materials and Methods
3.1. Chemicals and Reagents
Dry and fresh hemp inflorescences of different cultivars registered in the EU Plant Variety Database [ref. 29], including 2 monoecious (Futura 75 and Felina 32) and 3 dioecious (Kompolti, Carmagnola and Finola) varieties were provided by Canapar Group, Ragusa, Italy. A genuine cold-pressed bergamot EO, used for determining the elution order of enantiomers of α-pinene, camphene and linalool, was kindly supplied by Simone Gatto s.r.l. (Messina, Italy). Cabreuva (Myrocarpus fastigiatus) EO, utilized for establishing the elution order of (+) and (−)-(E)-nerolidol, was purchased from Berjè (Carteret, NJ, USA). n-Heptane (for HPLC, ≥99%) was purchased from Merck Life Science (Merck KGaA, Darmstadt, Germany). Ultrapure water was obtained from Milli-Q advantage A10 system (Millipore, Bedford, MA, USA). Pure standards of cannabidivarin (CBDV), cannabidiol (CBD), δ8-tetrahydrocannabinol (Δ8-THC), cannabichromene (CBC) and δ9-tetrahydrocannabinol (Δ9-THC) were purchased from Merck Life Science, while cannabicyclol (CBL) and cannabicitran (CBT) standards were acquired from Cayman Chemical (Ann Arbor, MI, USA). Nonane (ISTD 1) and nonadecane (ISTD 2) hydrocarbons were purchased from Merck Life Science, while cannabigerorcin (ISTD 3) was from Cayman Chemical. Terpene and terpenoids standards of (1S)-((−))-β-pinene (≥97%, FCC, FG), (R)-(+)-limonene (97%), (1R)-(+)-fenchol (analytical standard), (1S)-(−)-borneol, (−)-(E)-caryophyllene (≥80%, FCC, FG) and (−)-caryophyllene oxide (95%) was purchased from Merck Life Science. (E)-Nerolidol (≥90%) standards was purchased from Extrasynthese (Genay, France). C7–C40 and C8–C20 saturated alkane standards (Merck Life Science) were used for the LRI calculations on SLB-5ms and β-Dex 120 chiral columns, respectively.
3.2. Distillation System
Masses of 400 g of hemp inflorescences were rehydrated using 1.2 L of ultrapure water (ratio 1:3 sample:water). After 30 min of mixing and soaking, the entire biomass was transferred in a 5 L ETHOS-X glass reactor and closed using a glass cover with an intermediate silicone o-ring and a PTFE) sealing kit. Afterwards, the reactor was placed into the Milestone “Ethos X” instrument (Milestone, Sorisole, Italy), equipped with two magnetrons capable of developing a maximum power of 1800 W and an infrared sensor for monitoring the internal heating. A Clevenger-type apparatus was connected outside the microwave instrument and allowed the condensation of the distillated oil through a circulating water system maintained at a temperature of 8 °C through a chiller. The cooling system allowed not only the EO isolation, but also a continuous reflux of the evaporated water to the reactor, restoring the water content to the hemp material. The distillation program was optimized as follows: 10 min at 1200 W and 40 min at 700 W. Finally, the distilled cannabis EO was collected from the distillation module by using a Pasteur pipette and transferred in glass autosampler vial. In order to favor the water–oil separation, the distillate was frozen.
3.3. Sample Preparation
A certified analytical balance (AX204 Mettler Toledo, d = 0.1 mg) was used to prepare internal standard solutions at known concentrations. In detail, 10 mg of pure standard nonane (ISTD 1) and nonadecane (ISTD 2) were weighed and solubilized in a 10 mL volumetric flask using n-heptane. Cannabigerorcin (ISTD 3) was solubilized in ethanol at a concentration of 1000 mg L−1.
For compound quantification (mg g−1), 50 μL of cannabigerorcin solution were inserted in an autosampler vial using a high-precision Hamilton syringe (volume 50 μL). The ethanolic solvent was turned away using a constant nitrogen flow. Then, 200 μL of nonane and nonadecane heptanic solution were collected and dispensed into the vial using a Hamilton syringe (volume 250 μL); subsequently, 10 mg of distilled cannabis EO was added to the vial and solubilized in 800 μL (1:100 dilution) n-heptane. The sample was homogenized using a vortex mixer and injected into the GC system. For a major data precision, each cannabis EO was prepared in three replicates.
3.4. GC-MS/FID Analysis
The separation, identification, and quantification of terpenes, terpenoids and cannabinoids in distilled cannabis EOs was carried out by using a Clarus 680 GC (PerkinElmer Inc., Waltham, MA, USA) coupled to Clarus SQ 8T single quad mass spectrometer and FID detector. For chromatographic separation, the GC system was equipped a low polarity capillary column, named SLB-5ms 30 m × 0.25 mm id × 0.25 µm df (Merck Life Science). A “Y” splitting unit was connected at the column outlet and it allowed to the eluate to be simultaneously split in the MS (40% of the total flow) and FID (60% of the total flow) detectors. Specifically, two uncoated segments were connected to the Y splitting unit: 1 m × 0.1 mm id, and 1.85 m × 0.1 mm id fused silica capillaries to MS and FID, respectively. The injector temperature was set at 280 °C. The temperature program was as follows: 50 °C to 350 °C at 3.0 °C min−1. Injection volume was of 1.0 µL with a split ratio of 1:10. Helium was used as a gas carrier at a constant linear velocity of 30 cm s−1 and an inlet pressure of 224 kPa. MS parameters were as follows: mass range 40–550 amu, source temperature: 220 °C, GC interface temperature: 250 °C, scan time: 0.2 sec. The FID temperature was set at 300 °C (sampling rate: 200 ms). FID detector gas flows were as follows: 45 mL min−1 for H2 and 450 mL min−1 for air. TurboMass software (version 6.1.2.2048, PerkinElmer) was used for data acquisition, while FID and MS data processing was carried out by using ChromatoPlus Spectra (version 8.1.3, Dani Analitica, Milan, Italy) from a previous conversion of a data file in cdf format. A homologous series C7–C40 saturated alkane standard mixture (Merck Life Science) in hexane (1000 g mL−1) was used for LRI calculations on the SLB-5ms column, useful for the identification of analytes. In this regard, the peak assignment was carried out through the utilization of two different identification parameters: reverse match (over 850) and LRI filter (±5). The FFNSC 4.0 mass spectral database (Chromaleont, Messina, Italy) was mainly used for the identification of terpene and terpenoid components, while the identity of cannabinoids was investigated by using a lab-constructed mass spectral library.
3.5. Enantio-GC-MS Analysis
Enantiomeric distribution of cannabis EOs was investigated by using a Clarus 680 GC (PerkinElmer Inc.) couples to a Clarus SQ 8T single quad mass spectrometer. The chiral separation was carried out using a cyclodextrin-based capillary column, named beta-DEX™ 120, 30 m × 0.25 mm id × 0.25 μm df (Merck Life Science). The temperature program was as follows: 50 °C to 220 °C at 2.0 °C min−1. The injection volume was of 1.0 µL with a split ratio of 1:10, and the injector temperature was 220 °C. Helium was used as the gas carrier at a constant linear velocity of 30 cm s−1 and an inlet pressure of 26.7 kPa. MS parameters were as follows: mass range 40–550 amu, source temperature: 220 °C, GC interface temperature: 250 °C, scan time: 0.2 s. TurboMass software (version 6.1.2.2048, PerkinElmer) was used for data collection, while MS data handling was carried out by using ChromatoPlus Spectra (version 8.1.3, Dani Analitica, Milan, Italy). A homologous series of C8–C20 alkane standard solution (Merck Life Science) in hexane (~40 mg L−1 each) was used for the LRI calculations of dextrorotary and laevorotary enantiomers. In a similar manner to that previously reported, the identification of the enantiomeric couples was performed using spectra reverse match (over 850) and LRI filter (±3) filters. A chiral lab-constructed mass spectral database including enantio-LRIs was used for identifying chiral compounds.
4. Conclusions
The present research has demonstrated that MAHD is an effective technique for the extraction and isolation of cannabis EO from fresh and dried hemp inflorescences. The developed protocol can represent a reliable and profitable method for those industries interested in the flavor and fragrance market of cannabis EO. Remarkable advantages in terms of operational simplicity, cost, and time-efficiency characterized the distillation procedure. At the same time, it is worth empathizing the ecological aspects of the methodology according to green chemistry principles such as minimizing toxicity, waste production and saving energy. In addition, the authors have reported a detailed study about the GC-MS/FID analysis adapted for establishing the fingerprint of terpene, terpenoid and cannabinoid compounds. Absolute quantification of single compounds was performed by using the internal standard method applying FID response factors in accordance with each chemical family, including those of cannabinoid. In order to reveal an eventual adulteration or human interferences, an enantio-GC method was optimized and the enantiomeric distribution of 10 chiral couples were well-defined.
References
- C. Citti, D. Braghiroli, M.A. Vandelli, G. Cannazza. Pharmaceutical and biomedical analysis of cannabinoids: A critical review. J. Pharm. Biomed. Anal., 2018. [DOI | PubMed]
- Health and Food Safety. SCCS Final Opinion on Fragrance Allergens in Cosmetic Products
- D. Fiorini, A. Molle, M. Nabissi, G. Santini, G. Benelli, F. Maggi. Valorizing industrial hemp (Cannabis sativa L.) by-products: Cannabidiol enrichment in the inflorescence essential oil optimizing sample pretreatment prior to distillation. Ind. Crops Prod., 2019. [DOI]
- L. Calvi, D. Pentimalli, S. Panseri, L. Giupponi, F. Gelmini, G. Beretta, D. Vitali, M. Bruno, E. Zilio, R. Pavlovic. Comprehensive quality evaluation of medical Cannabis sativa L. inflorescence and macerated oils based on HS-SPME coupled to GC-MS and LC-HRMS (q-exactive orbitrap®) approach. J. Pharm. Biomed. Anal., 2018. [PubMed]
- E.A. Ibrahim, M. Wang, M.M. Radwan, A.S. Wanas, C.G. Majumdar, B. Avula, Y.-H. Wang, I.A. Khan, S. Chandra, H. Lata. Analysis of Terpenes in Cannabis sativa L. Using GC/MS: Method Development, Validation, and Application. Planta Med., 2019. [DOI | PubMed]
- G. Micalizzi, F. Vento, F. Alibrando, D. Donnarumma, P. Dugo, L. Mondello. Cannabis Sativa L.: A comprehensive review on the analytical methodologies for cannabinoids and terpenes characterization. J. Chromatogr. A, 2020. [DOI | PubMed]
- S.A. Bonini, M. Premoli, S. Tambaro, A. Kumar, G. Maccarinelli, M. Memo, A. Mastinu. Cannabis sativa: A comprehensive ethnopharmacological review of a medicinal plant with a long history. J. Ethnopharmacol., 2018. [DOI | PubMed]
- J.K. Booth, J.E. Page, J. Bohlmann. Terpene synthases from Cannabis sativa. PLoS ONE, 2017. [DOI]
- S. Farag, O. Kayser. The cannabis plant: Botanical aspects. Handbook of Cannabis and Related Pathologies, Biology, Pharmacology, Diagnosis, and Treatment, 2017
- R. Ascrizzi, L. Ceccarini, S. Tavarini, G. Flamini, L.G. Angelini. Valorisation of hemp inflorescence after seed harvest: Cultivation site and harvest time influence agronomic characteristics and essential oil yield and composition. Ind. Crops. Prod., 2019. [DOI]
- F.A. Franchina, L.M. Dubois, J.F. Focant. In-Depth Cannabis Multiclass Metabolite Profiling Using Sorptive Extraction and Multidimensional Gas Chromatography with Low- and High-Resolution Mass Spectrometry. Anal Chem., 2020. [DOI | PubMed]
- L.L. Romano, A. Hazekamp. Cannabis Oil: Chemical evaluation of an upcoming cannabis-based medicine. Cannabinoids, 2013
- M. Ternelli, V. Brighenti, L. Anceschi, M. Poto, D. Bertelli, M. Licata, F. Pellati. Innovative methods for the preparation of medical Cannabis oils with a high content in both cannabinoids and terpenes. J. Pharm. Biomed. Anal., 2020. [DOI | PubMed]
- D. Fiorini, S. Scortichini, G. Bonacucina, N.G. Greco, E. Mazzara, R. Petrelli, J. Torresi, F. Maggi, M. Cespi. Cannabidiol-enriched hemp essential oil obtained by an optimized microwave-assisted extraction using a central composite design. Ind. Crops Prod., 2020. [DOI]
- A. Leghissa, Z.L. Hildenbrand, K.A. Schug. A review of methods for the chemical characterization of cannabis natural products. J. Sep. Sci., 2018. [DOI | PubMed]
- L. Mondello, R. Costa, D. Sciarrone, G. Dugo. The chiral compound of citrus oils. Citrus Oils. Composition, Advanced Analytical Techniques, Contaminants, and Biological Activity, 2010
- M. Lo Presti, S. Ragusa, A. Trozzi, P. Dugo, F. Visinoni, A. Fazio, G. Dugo, L. Mondello. A comparison between different techniques for the isolation of rosemary essential oil. J. Sep. Sci., 2005. [DOI | PubMed]
- A. Bertoli, S. Tozzi, L. Pistelli, L.G. Angelini. Fibre hemp inflorescences: From crop-residues to essential oil production. Ind. Crops Prod., 2010. [DOI]
- T. Holm. Aspects of the mechanism of the flame ionization detector. J. Chromatogr. A, 1999. [DOI]
- M. Kàlli, Z. Veres, J. Balla. Responce of flame ionization detectors of different homologuous series. Chromatographia, 2001. [DOI]
- D. Sciarrone, D. Giuffrida, A. Rotondo, G. Micalizzi, M. Zoccali, S. Pantò, P. Donato, R.G. Rodrigues-das-Dores, L. Mondello. Quali-quantitative characterization of the volatile constituents in Cordia verbenacea D.C. essential oil exploiting advanced chromatographic approaches and nuclear magnetic resonance analysis. J. Chromatogr. A., 2017. [DOI | PubMed]
- R. Costa, P. Dugo, M. Navarra, V. Raymo, G. Dugo, L. Mondello. Study on the chemical composition variability of some processed bergamot (Citrus bergamia) essential oils. Flavour Fragr. J., 2010. [DOI]
- G. Benelli, R. Pavela, R. Petrelli, L. Cappellacci, G. Santini, D. Fiorini, S. Sut, S. Dall’Acqua, A. Canale, F. Maggi. The essential oil from industrial hemp (Cannabis sativa L.) by-products as an effective tool for insect pest management in organic crops. Ind. Crops Prod., 2018. [DOI]
- M. Marchini, C. Charvoz, L. Dujourdy, N. Baldovini, J.-J. Filippi. Multidimensional analysis of cannabis volatile constituents: Identification of 5,5-dimethyl-1- vinylbicyclo[2.1.1]hexane as a volatile marker of hashish, the resin of Cannabis sativa L.. J. Chromatogr. A, 2014. [DOI | PubMed]
- C.-W. Chang, C.-C. Yen, M.-T. Wu, M.-C. Hsu, Y.-T. Wu. Microwave-Assisted Extraction of Cannabinoids in Hemp Nut Using Response Surface Methodology: Optimization and Comparative Study. Molecules, 2017. [DOI | PubMed]
- C. Citti, P. Linciano, F. Russo, L. Luongo, M. Iannotta, S. Maione, A. Laganà, A.L. Capriotti, F. Forni, M.A. Vandelli. A novel phytocannabinoid isolated from Cannabis sativa L. with an in vivo cannabimimetic activity higher than Δ9-tetrahydrocannabinol: Δ9-Tetrahydrocannabiphorol. Sci. Rep., 2019. [DOI | PubMed]
- C. Fricke, A. Rieck, I.-H. Hardt, W.A. Konig, H. Muhle. Identification of (+)-β-caryophyllene in essential oils of liverworts by enantioselective gas chromatography. Phytochemistry, 1995. [DOI]
- S.K. Nguikwie, M.A. Nyegue, F. Ndoye-Foe Belinga, R.A. Ngono Ngane, B. Romestand, A. Kouzayha, H. Casabianca, P.H. Amvam Zollo, C. Menut. The Chemical Composition and Antibacterial Activities of the Essential Oils from Three Aframomum Species from Cameroon, and Their Potential as Sources of (E)-(R)-Nerolidol. Nat. Prod. Commun., 2013. [DOI]
- EU Plant Variety Database: Agricultural Species—Varieties
