Green Composites Based on Blends of Polypropylene with Liquid Wood Reinforced with Hemp Fibers: Thermomechanical Properties and the Effect of Recycling Cycles
Abstract
Green composites from polypropylene and lignin-based natural material were manufactured using a melt extrusion process. The lignin-based material used was the so called “liquid wood”. The PP/“Liquid Wood” blends were extruded with “liquid wood” content varying from 20 wt % to 80 wt %. The blends were thoroughly characterized by flexural, impact, and dynamic mechanical testing. The addition of the Liquid Wood resulted in a great improvement in terms of both the flexural modulus and strength but, on the other hand, a reduction of the impact strength was observed. For one blend composition, the composites reinforced with hemp fibers were also studied. The addition of hemp allowed us to further improve the mechanical properties. The composite with 20 wt % of hemp, subjected to up to three recycling cycles, showed good mechanical property retention and thermal stability after recycling.
Article type: Research Article
Keywords: Polymer-matrix composites (PMCs), mechanical properties, injection molding, recycling
Affiliations: Department of Civil Engineering and Architecture, University of Catania, Viale Andrea Doria 6, Catania 95125, Italy; claudio089@hotmail.it (C.T.); alatteri@unict.it (A.L.); larosa.angeladaniela@gmail.com (A.D.L.R.); Design and Production Engineering Department, Faculty of Engineering, Ain Shams University, 1 Assarayat St., Abbasiya, Al Waili, Cairo Governorate 1153, Egypt; ahmed.sabbagh@tu-clausthal.de; Institute of Polymer Materials and Plastics Engineering, Clausthal University of Technology, Agricolastr. 6, Clausthal-Zellerfeld 38678, Germany; ziegmann@puk.tu-clausthal.de; Institute for Polymers, Composites and Biomaterials, National Research Council, Via Campi Flegrei 34, Pozzuoli 80078, Italy; pietro.russo@unina.it
License: © 2017 by the authors. CC BY 4.0 Licensee MDPI, Basel, Switzerland. This article is an open access article distributed under the terms and conditions of the Creative Commons Attribution (CC BY) license (http://creativecommons.org/licenses/by/4.0/).
Article links: DOI: 10.3390/ma10090998 | PubMed: 28846607 | PMC: PMC5615653
Relevance: Relevant: mentioned in keywords or abstract
Full text: PDF (4.8 MB)
1. Introduction
Green composites from renewable resources are being increasingly studied because of their potential to provide benefits to companies, the natural environment, and end-customers due to dwindling petroleum resources [ref. 1,ref. 2,ref. 3,ref. 4,ref. 5].
Lignin is one of the most interesting natural substances that offers much potential for the development of green composites for multifunctional applications [ref. 6]. Lignin, produced as a byproduct of the paper/pulp industry and considered a waste, offers several advantages such as: a high number of reactive functional groups, high carbon content, good stability, and good mechanical properties due the presence of aromatic rings. All these properties make lignin a potential candidate for use as reinforcing material in polymer composites.
Researchers from Volkswagen proposed the use of lignin as low cost fillers for polypropylene in automotive applications [ref. 7]. The use of lignin as a modifier for polypropylene was investigated by several authors in the past [ref. 8,ref. 9]. Recently, the beneficial effect of lignin as an antioxidant for polypropylene has been researched [ref. 10]. Similar effects were reported for a Poly (lactic acid) (PLA) matrix modified with lignin [ref. 11]. In addition, lignin was reported to act as a natural adhesion promoter for natural fiber PLA composites [ref. 12].
Tecnaro, a German spin off of the Frauhofer Institute, introduced to the market a new sustainable thermoplastic material made exclusively from renewable resources based on lignin that looks like wood, but that can be processed by injection molding as for standard plastics. Tecnaro branded this product as Liquid Wood and named it Arboform. Nedelcu et al. [ref. 13,ref. 14,ref. 15] published several papers focusing on the characterization of the Liquid Wood. Sahoo et al. [ref. 16] reported a detailed study showing that Arboform F45 enhanced the tensile and flexural properties simultaneously when mixed with polybutylene succinate (PBS).
Blends of various polypropylene/Liquid wood ratios were recently studied in terms of their thermal and tensile properties [ref. 17]. The study revealed the reinforcing effect of liquid wood, grade Arboform LV100, on polypropylene. The same liquid wood grade was studied in comparison to PLA/lignin blends showing the effect of lignin addition on the thermal stability of polylactide acid (PLA) during processing [ref. 18].
The present paper aims to investigate several blends obtained by the compounding of an automotive grade polypropylene with Liquid Wood grade Arboform LV100. The addition of short hemp fibers as reinforcement was also evaluated. In addition, for one percentage of hemp reinforcement (i.e., 20 wt %), the effect of recycling was studied. The aim of the study is to evaluate the effect of Liquid Wood in blends based on polypropylene from a technological perspective. To the best of our knowledge, no study has been reported in the literature dealing with the use of Liquid Wood blended with industrial polymers. In addition, in order to strengthen the industrial relevance of the study the effect of hemp reinforcement and recycling cycles was addressed in the paper.
2. Experimental
2.1. Materials and Method
2.1.1. Materials
Polypropylene (PP) grade EE050AE was supplied by Borealis AG (Austria). EE050AE is a reactor elastomer modified polypropylene compound intended for injection molding [density = 905 kg/m3, melt flow rate (230 °C/2.16 kg) = 11 g/10 min). Liquid Wood Arboform LV100 (LV) was supplied by Tecnaro GmbH, Germany [density = 1.30 g/cm3).
Maleic anhydride grafted polypropylene (MAPP) was used as a coupling agent suitable for wood and natural fiber composites with polypropylene and supplied by Sigma Aldrich (CAS 25722-45-6, C7H8O3, Mp = 156 °C, density 0.934 g/cm3, Mn = 3900 GPC, Mw = 9100 GPC, viscosity = 4000 poise). Hemp fibers, in the form of pellets, were supplied by BAFA, Germany. The hemp pellets were 5 mm long and had a diameter of 3 mm.
2.1.2. Blends Compounding and Specimens Manufacturing
All materials were dried overnight at 50 °C. Blends of various PP/LV ratios were prepared by thermal extrusion using a Berstorff ZE25Ax40D extruder, Germany. The sequence of compounding was as follows: PP and MAPP were previously mixed (3% of MAPP) and fed through an input hopper; then the LV (for samples from B00 to B100) and hemp fibers (for samples H10-H20) were inserted from the extruder opening side. The temperature pattern of the extruder was 220–210–200–195–190–195–200 °C from the input to output zones. The above cited content of MAPP was fixed according to the author’s previous studies [ref. 19].
All compounded pellets, pre-dried at 50 °C under vacuum for 24 h, were injection molded using an Arburg press (Allrounder 220 °C 600–250, Arburg, Lossburg, Germany) with a temperature profile of 185–190–195–200 °C in a room temperature mold at a maximum clamping force of 600 kN.
For the H20 formulation, the samples were regrinded and reprocessed in the injection mold. For each cycle, the samples were first dried and then re-processed under the same conditions.
All the blend formulations are reported in Table 1.
Table 1: Blend formulations. For all the samples, 3% of PP-MAPP was added.
| Sample | PP + MAPP (3%) | LV | Hemp | Recycling | Notes |
|---|---|---|---|---|---|
| B0 | 100 | 0 | 0 | 0 | – |
| B20 | 80 | 20 | 0 | 0 | – |
| B40 | 60 | 40 | 0 | 0 | – |
| B60 | 40 | 60 | 0 | 0 | – |
| B80 | 20 | 80 | 0 | 0 | – |
| B100 | 0 | 100 | 0 | 0 | – |
| H10 | 54 | 36 | 10 | 0 | (PP+MAPP)/LV = 60/40 |
| H20 | 48 | 32 | 20 | 0 | (PP+MAPP)/LV = 60/40 |
| H20-1 | 48 | 32 | 20 | 1 | 1 thermal cycle |
| H20-2 | 48 | 32 | 20 | 2 | 2 thermal cycles |
| H20-3 | 48 | 32 | 20 | 3 | 3 thermal cycles |
2.2. Characterization
2.2.1. Mechanical Testing
The tensile and flexural properties of the composites were measured by a Universal testing machine, Zwick 2.5 kN (Ulma, Germany), according to standards ASTM D638 and ASTM D790, respectively. Samples for mechanical testing were conditioned at 23 °C/50% relative humidity for at least 88 hours according to ISO 291 for measurements at room condition. System control and data analysis were conducted using Test Expert software.
Un-notched Charpy samples were also injection molded and adapted according to ISO 291. Specimens with a cross section of 2 × 4 mm2 (10–15 for each formulation) were tested according to ISO 179-1 on the wide side with a 1 J striker for Charpy testing using a Zwick Type 5113 pendulum Impact Tester (Ulma, Germany) with an arm length of 225 mm.
Differences in mechanical results, for the composite samples, were statistically analyzed by one-way analysis of variance (ANOVA) using Minitab 17 software. To identify which groups were significantly different from other groups, a means comparison was done using the Fisher’s test with a 95% confidence level.
2.2.2. Dynamic Mechanical Analysis (DMA)
The viscoelastic behavior of the materials was investigated using a DMA device (TRITEC by Triton Technology, Grantham, UK) by single cantilever geometry and using samples of size (20 × 10 × 3) mm. The tests were carried out at 1 Hz with a 2 °C/min heating rate ranging from −100 to 130 °C, using liquid nitrogen for sub-ambient scans.
2.2.3. Scanning Electron Microscopy (SEM)
Fractured tensile specimens were examined by Scanning Electron Microscopy (SEM: Zeiss EVO, Cambridge (UK)). The surface was gold sputtered before SEM analysis.
2.2.4. Dynamic Scanning Calorimetry on Reinforced Recycled Samples
Calorimetric measurements on reinforced samples were carried out in a Mettler DSC 1 Star System (Novate Milanese (MI), Italy), calibrated in enthalpy and temperature according to the procedure suggested by the manufacturer and reported elsewhere [ref. 17,ref. 20]. For glass transition (Tg) and onset melting (Tonset) temperature determinations, samples of about 6.0 × 10−3 g, held in sealed aluminum crucibles, were heated in the −25–250 °C temperature range with a scanning rate of 10 °C·min−1.
2.2.5. Thermogravimetric Analysis on Reinforced Recycled Samples
A Mettler Thermogravimetric Analyzer TGA 1 Star System (Novate Milanese (MI), Italy) was used for thermal degradations. Samples of about 6 × 10−3 g were put into open alumina crucibles and heated in the temperature range 25–800 °C, at a heating rate of 10 °C·min−1, in flowing nitrogen (0.02 L·min−1). Thermogravimetric (TG) data were used to plot the percentage of non-degraded sample, (1 − D)%, as a function of temperature, where D = (Wo − W)/Wo, and Wo and W were the weights at the starting point and during scanning. The temperature calibration of equipment was made according to the method suggested by Mettler and reported elsewhere. A thermogravimetric (TG) run with an empty pan (blank) was preliminarily performed in the same experimental conditions used for the samples. The obtained blank curve was subtracted from those of the samples, in order to correct the error in the weight determination due to the reduction of the buoyancy force on increasing temperature [ref. 21].
3. Results and Discussion
The effect of the blend’s composition on the mechanical properties was analyzed first. The flexural, impact, and dynamic mechanical behavior of the blends with different content of Liquid Wood is described. On the basis of this result, one blend composition was selected and compounded with short hemp fibers. Finally, the behavior of the blend modified with hemp fibers after several recycling cycles is discussed.
3.1. Mechanical Properties of the Unreinforced Blends
All the blends with liquid wood content varying from 20 wt % to 80 wt % were tested under flexural mode. The results for flexural strength and modulus are summarized in Figure 1. Flexural strength and modulus increased by increasing the percentages of Liquid Wood. The flexural strength rose from 23.2 MPa, for the unmodified PP, to 34.2 MPa by adding 60 wt % of Liquid Wood, while the flexural modulus varied from 831 MPa to 4820 MPa for the same blends. Similar behavior, but in tensile testing, was reported for these blends [ref. 17].

ANOVA analysis confirmed these observations. The tensile strength and modulus means were significantly different for the different contents of Liquid Wood (p-value of 0.000). The same findings were found for the flexural testing, in which the strength and modulus means were statistically different for all the Liquid Wood contents with p-value of 0.000.
Apparently, the achieved results are in contrast with previous findings for PP/lignin blends [ref. 8]. However, the Liquid Wood, grade LV, was determined to be 77 mass% PLA, 5 mass% of soda lignin, 15.4 mass% of softwood, and 2.6 mass% of trace components [ref. 22]. As reported by Reddy et al. [ref. 23] and Choudhary et al. [ref. 24], PP/PLA blends can show enhanced mechanical properties, despite the incompatibility of the pure polymers, when proper compatibilizers, like MAPP, are used. Moreover, Graupner et al. [ref. 25] showed that the non-polar groups of lignin can interact with PLA and PP by van der Waals’ forces. Therefore, the Liquid Wood used in the present study is thought to act as an efficient reinforcing agent for the studied PP blends thanks to the presence of PLA and MAPP in the final formulation. Similar results were reported by Sahoo et al. [ref. 16] when using Arboform F45.
The results of impact testing for all the blends are reported in Figure 2. The impact strength of the composites decreased drastically with the addition of Liquid Wood. Similar trends were shown by Sahoo et al. [ref. 16] with Arboform F45. For the impact strength, there is no beneficial effect in using the Liquid Wood because all of its major components, i.e., PLA, softwood, and lignin, are brittle materials compared to the elastomer modified PP. Therefore, for improving the impact resistance, Liquid Wood is not an optimal choice.

The results of the DMA tests performed on the Liquid Wood sample from −75 °C up to 100 °C are reported in Figure 3. The storage modulus (E′) curve shows a small shoulder around 0 °C, a strong decay at 55 °C, and an increase at 80 °C, followed by a sudden decrease. Similar traces were obtained for PLA samples by Ren et al. [ref. 26] for plasticized PLA. The modulus decay is due to the α-relaxation temperature associated with the glass transition temperature (Tg), as confirmed by the tan δ curve. The sudden increase of the storage modulus over the Tg is due to the cold crystallization phenomena [ref. 27]. Interestingly, the tan δ curve revealed the presence of a clear peak centered at −50 °C and of a shoulder at about 0 °C. Similar peaks were recently reported by Cazacu et al. [ref. 28] in a study focused on PLA modified by the addition of modified ammonium lignosulfonate. This result suggests a complexity of the formulation for the commercial Liquid Wood which deserves further study, but is outside of the scope of this paper.

The storage modulus increased with the increasing content of liquid wood in the glassy region (Figure 4). Above 65 °C, the opposite trend was found for the blends with more than 20 wt % of Liquid Wood. This behavior is the consequence of the strong decay of the storage modulus for PLA, which is the main component (77 wt %) of the Liquid Wood formulation used in this study.

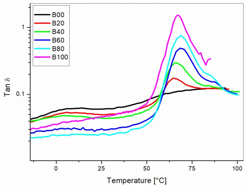
The tan δ curves showed a main relaxation peak centered around 65–68 °C for all the blends (Figure 5). This peak is due to the Tg of the PLA of the Liquid wood. A small shift for the main peak can be observed by varying the content of Liquid Wood in the formulation. This phenomenon can be ascribed to the interaction between the blend’s components promoted by the coupling agent MAPP. In addition to that, at a temperature lower than 50 °C, the tan δ of the pure PP sample was higher than all the blends, while the opposite behavior was registered for a higher temperature. This behavior was the consequence of the higher damping for the Liquid Wood formulation.

3.2. Mechanical Properties of the Reinforced Blends
The 60/40 PP/LV100 composition was selected as the basis for the preparation of hemp-reinforced composites. In particular, short hemp fibers were added in two percentages, namely, 10 wt % and 20 wt %, and the effect on the tensile and flexural properties are summarized in Figure 6 and Figure 7, respectively. Fiber addition was effective at increasing the modulus, both in tensile and flexural mode. The composites with 10 wt % and 20 wt % of hemp fibers reached a tensile modulus of 2440 MPa and 2530 MPa, respectively. These values are 26% and 30% higher than the modulus of the unmodified blends. When tested in flexural mode, the modulus increases were of 111% and 123% for 10 wt % and 20 wt % of hemp fibers, respectively.


ANOVA analysis confirmed these observations. The tensile strength means were not significantly different for the different contents of hemp fibers (p-value of 0.646), while, for flexural mode, the strength means were not statistically different for the pairwise 0–10 and 0–20 (p-values of 0.074 and 0.244, respectively). The tensile modulus means showed a p-value of 0.004, thus exhibiting a statistically significant difference. The flexural modulus showed a p-value of 0.000, confirming the statistically significant difference among the data measured.
The surfaces of the tensile fractured specimens with 10 wt % and 20 wt % hemp fibers are shown in Figure 8. Fibers pulling out of the matrix were found and good matrix/fiber adhesion was evident. The discrete adhesion is due to: the use of a commercial grade PP optimized for use with natural fibers; to the presence of MAPP in the formulated system; and to the presence of lignin. The effect of MAPP on the adhesion of natural fiber is well known [ref. 19]. However, as noted by Graupner et al. [ref. 12,ref. 25], a chemical interaction between lignin, cellulose, and PLA might also occur. The improved adhesion arose because the nonpolar groups of lignin can interact with PLA and PP by van-der-Waals forces. In addition, PLA might also interact with lignin by its ester groups and MAPP can interact with cellulose with the anhydride. This adhesion level justified the absence of a worsening effect on the tensile strength. However, it would be interesting, in the future, to investigate methods to improve the adhesion further.

The impact strength (Figure 9) showed no variation at 10 wt % of hemp and only a slight improvement for the formulation with 20 wt % of reinforcement. Natural fibers showed negative effects on the impact strength of PLA [ref. 29]. For PP composites reinforced with natural fibers, improvements in the impact strength were reported when a proper amount of coupling agent was added [ref. 30]. For the formulations studied in this paper, the simultaneous presence of PLA, PP, and MAPP in the matrix balanced all the effects, resulting in the impact strength being non-significantly influenced by the hemp reinforcement.

Composites were also tested by DMA. The results are summarized in Figure 10. The tan δ curves showed decreasing values for the height of the α-relaxation peak with an increasing amount of hemp reinforcement. The reduction of tan δ with the addition of fibers was the consequence of the rougher surface of the natural fibers, which decreased the friction and the sliding between the matrix and the reinforcing fibers [ref. 31]. Only a minor shift of the tan δ peak was measured, which meant that the hemp fibers did not significantly affect the α-relaxation phenomena. The decrease of the tan δ is relevant for the damping behavior of the composites.

3.3. Effect of the Recycling Cycles on Reinforced Blends
The increasing use of natural reinforced thermoplastics and the relatively high cost of PLA has encouraged the development of appropriate recycling schemes [ref. 32,ref. 33]. The recycling of non-metallic automotive parts and of polyolefin is also of high interest in mass production fields [ref. 34,ref. 35,ref. 36,ref. 37,ref. 38]. With a view to evaluate the thermomechanical recycling potentials for the composites developed here, the H20 formulation was subjected to three recycling cycles.
The mechanical properties of the recycled samples are summarized in Figure 11 and Figure 12 for tensile and flexural testing, respectively. The collected data showed a slight decrease in the tensile modulus and strength after the first two recycling cycles, with an adverse effect being more pronounced after the third cycle. The tensile modulus dropped from 2530 MPa to 2240 MPa, while the tensile strength decreased from 35.80 MPa to 31.5 MPa. Similar decreases were observed for the impact strength in Figure 13.



The decay of the mechanical properties is of the same order as those observed for PLA reinforced with natural fibers [ref. 39]. PP is expected to be more stable during recycling owing to its chemical structure [ref. 40]. However, the composites used in this study, despite being based on a PP matrix, suffered, under recycling, from the presence of PLA and lignin which, by interacting negatively, gave rise to samples with a reduced thermal reprocessing stability [ref. 18].
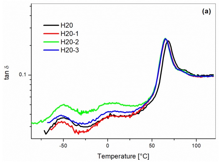
DMA results (Figure 14) confirmed the same trends observed by the mechanical testing. The tan δ traces didn’t show any significant changes after three processing cycles (Figure 14a). The storage modulus versus temperature curves showed a decay in the glassy region after the second cycle (Figure 14b).

As shown in Figure 15, remarkable differences among the DSC trace of the sample and the recycled ones are only visible for the exothermic peak, which showed a reduced intensity as the recycling steps progressed. No significant differences are recordable for the glass transition temperature of the tested samples in accordance with the DMA data. The melting onset temperature remained practically constant, whilst a slightly reduction of the enthalpy of fusion was observed for the H20-3 sample as a consequence of the progressive chain breakage for the PLA component [ref. 41].

The same initial decomposition temperature was recorded for the H20 sample and the recycled one with thermogravimetric analysis (Figure 16). This behavior, coupled with the results from DSC and DMA investigations, allowed us to conclude that the recycling steps used had minor effects on the thermal stability of the studied compounds.

4. Conclusions
The purpose of this work was to evaluate the mechanical properties of PP-based blends modified by the addition of Liquid Wood. Composites reinforced with short hemp fibers were also tested.
The mechanical property characterization outlined the reinforcing effect of Liquid Wood. The results achieved outperformed those of PP/lignin blends reported previously in the literature. This effect was due to the peculiar formulation of the Liquid Wood based on a complex mixture of PLA, softwood, and lignin. The properties achieved, despite the reduction in the impact strength observed, allow us to consider the formulated blends as suitable systems for automotive applications [ref. 42,ref. 43]. The use of the low cost PP is thought to be an advantage to reduce the cost of the overall formulation, while maintaining an environmental benefit with the use of the sustainable Liquid Wood.
The addition of short hemp fibers resulted in a further increase of mechanical properties. In addition to that, the recycling studies evidenced that the developed microcomposites can sustain at least two reprocessing cycles without a significant loss of properties. This is a further advantage that can promote the industrial use of the studied system.
References
- F.P. La Mantia, M. Morreale. Green composites: A brief review. Compos. Part A, 2011. [DOI]
- G. Koronis, A. Silva, M. Fontul. Green composites: A review of adequate materials for automotive applications. Compos. Part B, 2013. [DOI]
- K.G. Satyanarayana, G.G.C. Arizaga, F. Wypych. Biodegradable composites based on lignocellulosic fibers—An overview. Prog. Polym. Sci., 2009. [DOI]
- M.J. John, S. Thomas. Biofibres and biocomposites. Carbohydr. Polym., 2008. [DOI]
- A.K. Mohanty, M. Misra, L.T. Drzal. Sustainable Bio-Composites from renewable resources: Opportunities and challenges in the green materials world. J. Polym. Environ., 2002. [DOI]
- V.K. Thakur, M.K. Thakur, P. Raghavan, M.R. Kessler. Progress in Green Polymer Composites from Lignin for Multifunctional Applications: A Review. ACS Sustain. Chem. Eng., 2014. [DOI]
- H. Mainka. Lignin powder as a filler for thermoplastic automotive lightweight components. Annu. Tech. Conf. ANTEC Conf. Proc., 2015
- G. Toriz, F. Denes, R.A. Young. Lignin-Polypropylene Composites. Part 1: Composites From Unmodified Lignin and Polypropylene. Polym. Compos., 2002. [DOI]
- G. Cazacu, M. Cristina, L. Profire, A.I. Kowarski, M. Mihaes, C. Vasile. Lignin role in a complex polyolefin blend. Ind. Crop. Prod., 2004. [DOI]
- R. Gadioli, W.R. Waldman, M.A. de Paoli. Lignin as a green primary antioxidant for polypropylene Renan. J. Appl. Polym. Sci., 2016. [DOI]
- S. Domenek, A. Louaifi, A. Guinault, S. Baumberger. Potential of Lignins as Antioxidant Additive in Active Biodegradable Packaging Materials. J. Polym. Environ., 2013. [DOI]
- N. Graupner. Application of lignin as natural adhesion promoter in cotton fibre-reinforced poly(lactic acid) (PLA) composites. J. Mater. Sci., 2008. [DOI]
- D. Nedelcu, R. Comaneci. Microstructure, mechanical properties and technology of samples obtained by injection from arboblend V2 nature. Indian J. Eng. Mater. Sci., 2014
- D. Nedelcu, C. Ciofu, N.M. Lohanb. Microindentation and differential scanning calorimetry of “liquid wood”. Compos. Part B Eng., 2013. [DOI]
- D. Nedelcu. Investigation on microstructure and mechanical properties of samples obtained by injection from Arbofill. Compos. Part B Eng., 2013. [DOI]
- S. Sahoo, M. Misra, A.K. Mohanty. Enhanced properties of lignin-based biodegradable polymer composites using injection moulding process. Compos. Part A Appl. Sci. Manuf., 2011. [DOI]
- I. Blanco, G. Cicala, A. Latteri, G. Saccullo, A. Mohammed, M.E. Gerhard. Thermal characterization of a series of lignin-based polypropylene blends. J. Therm. Anal. Calorim., 2017. [DOI]
- G. Cicala, G. Saccullo, I. Blanco, S. Samal, S. Battiato, S. Dattilo, B. Saake. Polylactide/lignin blends. J. Therm. Anal. Calorim., 2017. [DOI]
- A. El-Sabbagh. Effect of coupling agent on natural fibre in natural fibre/polypropylene composites on mechanical and thermal behaviour. Compos. Part B Eng., 2014. [DOI]
- L. Abate, I. Blanco, G. Cicala, G. Recca, A. Scamporrino. The Influence of Chain-Ends on the Thermal and Rheological Properties of Some 40/60 PES/PEES Copolymers. Polym. Eng. Sci., 2009. [DOI]
- I. Blanco, L. Abate, F.A. Bottino, G. Cicala, A. Latteri. Dumbbell-shaped polyhedral oligomeric silsesquioxanes/polystyrene nanocomposites: The influence of the bridge rigidity on the resistance to thermal degradation. Polym. Compos., 2015. [DOI]
- G. Cicala, A. Latteri, G. Saccullo, G. Recca, L. Sciortino, S. Lebioda, B. Saake. Investigation on Structure and Thermomechanical Processing of Biobased Polymer Blends. J. Polym. Environ., 2017. [DOI]
- J.P. Reddy, M. Misra, A. Mohanty. Injection Moulded Biocomposites from Oat Hull and Polypropylene/Polylactide Blend: Fabrication and Performance Evaluation. Adv. Mech. Eng., 2015. [DOI]
- P. Choudhary, S. Mohanty, S.K. Nayak, L. Unnikrishnan. Poly (l-lactide)/Polypropylene Blends: Evaluation of Mechanical, Thermal, and Morphological Characteristics. Appl. Polym., 2011. [DOI]
- N. Graupner, H. Fischer, G. Ziegmann, J. Müssig. Improvement and analysis of fibre/matrix adhesion of regenerated cellulose fibre reinforced PP-, MAPP- and PLA-composites by the use of Eucalyptus globulus lignin. Compos. Part B, 2014. [DOI]
- Z. Ren, L. Dong, Y. Yang. Dynamic mechanical and thermal properties of plasticized poly (lactic acid). J. Appl. Polym. Sci., 2006. [DOI]
- T. Tábi, I.E. Sajó, F. Szabó, A.S. Luyt, J.G. Kovács. Crystalline structure of annealed polylactic acid and its relation to processing. Express Polym. Lett., 2010. [DOI]
- G. Cazacu, R.N. Darie-Nita, O. Chirila, M. Totolin, M. Asandulesa, D.E. Ciolacu, J. Ludwiczak, C. Vasile. Environmentally Friendly Polylactic Acid/Modified Lignosulfonate Biocomposites. J. Polym. Environ., 2016. [DOI]
- K. Oksman, M. Skrifvars, J.F. Selin. Natural fibres as reinforcement in polylactic acid (PLA) composites. Compos. Sci. Technol., 2003. [DOI]
- R. Karnani, M. Krishnan, R. Narayan. Biofiber-reinforced polypropylene composites. Polym. Eng. Sci., 1997. [DOI]
- F. Duc, P.E. Bourban, C.J.G. Plummer, J.A.E. Månson. Damping of thermoset and thermoplastic flax fibre composites. Compos. Part A Appl. Sci. Manuf., 2014. [DOI]
- M.F. Cosate de Andrade, P.M.S. Souza, O. Cavalett, A.R. Morales. Life Cycle Assessment of Poly (Lactic Acid) (PLA): Comparison Between Chemical Recycling, Mechanical Recycling and Composting. J. Polym. Environ., 2016. [DOI]
- D. Akesson, T. Vrignaud, C. Tissot, M. Skrifvars. Mechanical Recycling of PLA Filled with a High Level of Cellulose Fibres. J. Polym. Environ., 2016. [DOI]
- F. Colangelo, F. Messina, L. Di Palma, R. Cioffi. Recycling of non-metallic automotive shredder residues and coal fly-ash in cold-bonded aggregates for sustainable concrete. Compos. Part B Eng., 2017. [DOI]
- F. Colangelo, R. Cioffi, B. Liguori, F. Iucolano. Recycled polyolefins waste as aggregates for lightweight concrete. Compos. Part B Eng., 2016. [DOI]
- F. Iucolano, B. Liguori, D. Caputo, F. Colangelo, R. Cioffi. Recycled plastic aggregate in mortars composition: Effect on physical and mechanical properties. Mater. Des., 2013. [DOI]
- A. Valenza, F.P. La Mantia. Recycling of polymer waste: Part 1-Photo-oxidized polypropylene. Polym. Degrad. Stab., 1987. [DOI]
- M. Morreale, A. Liga, M.C. Mistretta, L. Ascione, F.P. La Mantia. Mechanical, thermomechanical and reprocessing behavior of green composites from biodegradable polymer and wood flour. Materials, 2015. [DOI | PubMed]
- A. Le Duigou, I. Pillin, A. Bourmaud, P. Davies, C. Baley. Effect of recycling on mechanical behaviour of biocompostable flax/poly (l-lactide) composites. Compos. Part A Appl. Sci. Manuf., 2008. [DOI]
- V. Srebrenkoska, G.B. Gaceva, M. Avella, M.E. Errico, G. Gentile. Recycling of polypropylene-based eco-composites. Polym. Int., 2008. [DOI]
- P.E. Le Marec, L. Ferry, J.-C. Quantin, J.-C. Bénézet, F. Bonfils, S. Guilbert, A. Bergereta. Influence of melt processing conditions on poly (lactic acid) degradation: Molar mass distribution and crystallization. Polym. Degrad. Stab., 2014. [DOI]
- N. Graupner, A.S. Herrmann, J. Müssig. Natural and man-made cellulose fibre-reinforced poly (lactic acid) (PLA ) composites: An overview about mechanical characteristics and application areas. Compos. Part A, 2009. [DOI]
- A. Ashori. Wood-plastic composites as promising green-composites for automotive industries!. Bioresour. Technol., 2008. [DOI | PubMed]
