Evaluation of behavior in veal calves fed milk containing different levels of hempseed cake (Cannabis sativa L.)
Abstract
The present study aimed to evaluate the effect on behavioral patterns of veal calves fed with increasing levels of hempseed cake (HSC) diluted in the milk replacer. In total, 48 Belgian Blue veal calves (12 females and 36 males), with a body weight (BW) of 62.0 kg and age of 42.6 days, were offered the same type and quantity of solid and liquid feed two times a day but randomly assigned to one of the three different HSC inclusion levels: 0% (CTR), 3% (T3), and 6% (T6). The study lasted for 6 months until slaughter. During this time, their behavior was recorded using video cameras provided with a surveillance system. The results indicated that HSC had negligible effect on calves’ behavior and that calves, in general, spend most of their time resting and ruminating as they normally do with conventional diets. Hempseed cake inclusion (T3 and T6) increased (P < 0.05) the appetite for solid food and licking behavior during the late afternoon. T3 female calves increased (P < 0.05) their movement in the late afternoon. Male calves decreased (P < 0.05) their positive interaction, movement, and cross-sucking in the late afternoon as the inclusion of HSC increased. The inclusion of HSC into veal calves’ diet did not negatively affect the animal’s behavior; therefore, it can be suggested as a novel ingredient.
Article type: Research Article
Keywords: animal behavior, calves, hempseed cake, hemp, nutrition
Affiliations: Department of Comparative Biomedicine and Food Science (BCA), University of Padova, Legnaro, Italy; Department of Agronomy, Food, Natural resources, Animals and Environment, University of Padova, Legnaro, Italy
License: Copyright © 2023 Arango, Guzzo, Trabacchin, Raffrenato, Sartori and Bailoni. CC BY 4.0 This is an open-access article distributed under the terms of the Creative Commons Attribution License (CC BY). The use, distribution or reproduction in other forums is permitted, provided the original author(s) and the copyright owner(s) are credited and that the original publication in this journal is cited, in accordance with accepted academic practice. No use, distribution or reproduction is permitted which does not comply with these terms.
Article links: DOI: 10.3389/fvets.2023.1295949 | PubMed: 38179327 | PMC: PMC10765540
Relevance: Core topic: mentioned in title and keywords
Full text: PDF (1.0 MB)
1 Introduction
Cannabis sativa L., commonly known as hemp, has been primarily grown for its fiber (ref. 1), but over the last 10 years, it has also been attracting some interest in the animal feeding sector. Hemp by-products, such as oil, seeds, and cake, have large amounts of polyunsaturated essential fatty acids, particularly linoleic and alpha-linolenic, which make them suitable ingredients for the formulation of animal feeds. Fish and farm animals such as laying hens, broiler chickens, pigs, sheep, and other ruminants are continuously being tested in order to establish the range of inclusion levels that ensures animal health and also leads to optimal performances (ref. 2).
An interesting farm production system is that of white veal meat. Italy is the fifth major producer of this type of meat in the European Union, owning a population of 378,459 calves in 2022 (ref. 3). White veal calves must be younger than 8 months old at slaughter and are raised to obtain pale meat based on a low-iron milk replacer with the addition of concentrate (ref. 4). For this purpose, the use of hempseed cake (HSC) in their diets could represent a good protein source.
Although industrial hemp is characterized by having trace amounts (<0.30%) of tetrahydrocannabinol (THC) (ref. 5), which has psychotropic effects, it cannot cause intoxication. Cannabidiol (CBD) is the second bioactive compound in hemp, and it is known for having remarkable applications without psychoactive effects (ref. 6). In fact, CBD extract from C. sativa has been tested in dogs and seems to reduce aggressive behavior (ref. 7). Moreover, chronic treatment with non-psychotropic C. sativa caused no alterations in body weight, movement, or anxiety in mice, while increasing pro-social behavior (ref. 8). Considering that research on the behavioral effects of hemp is fairly recent, no studies have focused on farm animals to date. In addition, since consumers, at present, are increasingly concerned about animal welfare issues (ref. 9), it is always necessary to test new feed sources in order to understand any possible behavioral changes before the feed becomes part of the calves’ diet. This study aimed to evaluate the effect on behavior patterns of veal calves fed with increasing levels of hempseed cake diluted in the milk replacer.
2 Materials and methods
All procedures were performed according to the Italian legislation on animal care and approved by the Ethical Committee for the care and use of experimental animals at the University of Padova, which operates within the European Directive 86/609/CEE regarding the protection of animals used for experimental and other scientific purposes (approval number 74/2022).
2.1 Housing system and experimental design
This trial was carried out at a commercial farm (BE farm, owned by Barban Elia, Castelfranco, TV, Italy) and aimed at evaluating the differences in behavioral patterns when Belgian blue calves were fed with increasing levels of hempseed cake in the milk replacer. Data for this study were obtained from 6 months of the fattening period of 48 Belgian Blue veal calves (12 females and 36 males). The number of male and female calves was chosen after sample size calculation using a Student’s T-test with a statistical power of 0.75 and a statistical significance of α = 0.05. The animals were randomly distributed in 12 pens (four calves per pen); after the random assignment, some changes were made to balance the pens for body weight (BW). There were nine pens (three per treatment) for male and three for female (one per treatment) calves. Each pen had a dimension of 3 × 2.5 m. The average age on arrival was 42.6 ± 9.5 days, and the average BW was 62.0 ± 4.5 kg. Animals were reared for 6 months until slaughter.
The diet consisted of solid and liquid feed (Table 1), and all animals received the same amount of each feed. The solid feed used was Fibra Flakes 314 PN concentrate (Veneta Fiocchi, Riese Pio X, TV, Italy). The liquid feed followed the typical program used for white veal calves by the farm, where the trial was conducted and consisted of six types of milk replacers (Sofivo, Maen Roch, France) that were offered throughout the experiment (Figure 1) until weaning, from 340 g on day 1 to 1,213 g before slaughter in the sixth month of the trial. The three experimental diets (CTR, T3, and T6) differed in the percentage of hempseed cake (as feed) diluted in the milk replacer and were based on the EFSA daily recommendation for hemp by-products in ruminants (ref. 2). The CTR group had no inclusion of HSC. T3 had an inclusion of 3% (as feed) of HSC, corresponding to 7.5 g on day 1 and 750 g before slaughter. T6 had 6% (as feed) of HSC inclusion, corresponding to 16 g on day 1 and 1,500 g before slaughter. The chemical composition (% of DM) of the HSC was 26.17 of CP, 11.89 of EE, 11.89 of CF, 0.014 of THC, and 27.31 of iron (mg/kg DM). Liquid feed was prepared freshly before each meal by mixing the milk replacer with water and then with the HSC. It was provided two times a day (at 6.00 a.m. and 5.00 p.m.) on individual teat buckets placed in each pen. Solid feed was always provided after the liquid feed and also twice a day in increasing amounts from 75 g on day 1 to 2,400 g at the end of the trial. Fresh water was offered ad libitum using a drinking cup placed in the corner of each pen.
Table 1: Chemical composition of the concentrate (CON) and the six milk replacers (MR) given to all the calves.
| Item | CON | MR1 | MR2 | MR3 | MR4 | MR5 | MR6 |
|---|---|---|---|---|---|---|---|
| Chemical composition, % of DM | |||||||
| Dry matter | 88.80 | 96.5 | 95.84 | 95.69 | 96.16 | 96.01 | 96.54 |
| Crude protein | 14.49 | 19.88 | 21.40 | 21.72 | 17.20 | 23.46 | 21.18 |
| Ether extract | 4.07 | 16.50 | 22.99 | 23.27 | 16.74 | 20.31 | 21.93 |
| Non-structural Carbohydrates | 77.98 | 56.67 | 48.31 | 47.81 | 58.48 | 49.14 | 50.45 |
| Ash | 3.46 | 6.95 | 7.30 | 7.21 | 7.59 | 7.09 | 6.44 |
| Iron (mg/kg) | 55.83 | 50.4 | 7.21 | 6.39 | 28.36 | 26.04 | 6.12 |
CON, concentrate; MR, milk replacer; MR1, Elvor Demarrage 50; MR2, Zoogamma M-21; MR3, Elvor Ingrasso 50; MR4, Unico Super I; MR5, Top 60; MR6, Elvor Finition 50 N.

2.2 Behavioral observations
The behavior of the calves was recorded using a video surveillance system [H.264 Standalone Digital Video Recorder (DVR); Atlantis, Atlantis-land, MI, Italy]. A total of 12 cameras were fixed on the ceiling in front of each pen in order to cover the whole area. The cameras recorded 24 h of 3 days per week from the beginning of the trial, but only 1 day per week (the same day each week) was chosen for this study. The videos were analyzed by two different viewers using the Playback Software program (Atlantis, Atlantis-land, MI, Italy), which allowed them to observe the behavior of the animals during the entire target day. In total, 432 h were analyzed (216 h per viewer). They were taken for 18 days, starting approximately a month after the administration of the experimental diets. The ethogram was built by looking at three sample hours of the whole day and considering the behaviors found in the veal calves during the trial. Behaviors were classified according to the literature (ref. 10), and a total of 24 behaviors were identified (Table 2). Each behavior was ascribed to one of the following categories: ingestion (three behaviors), resting (three), ruminating (three), movement (four), environmental interaction (three), positive interaction (four), negative interaction (three), and self-grooming (one). A letter (A, B, C, or D) was assigned to each calf within a pen for unique identification. After a previous validation of the scan sampling interval, every 5 min, the behavior of each calf was registered in an Excel spreadsheet. To appreciate the variability of the behaviors over the 24 h of a day, the day was divided into six time intervals (timings) of 4 h each: night (NI, 12.00 midnight−4.00 a.m.), early morning (EM, 4.00 a.m.−8.00 a.m.), late morning (LM, 8.00 a.m.−12 noon), early afternoon (EA, 12.00 noon−4.00 p.m.), late afternoon (LA, 4.00 p.m.−8.00 p.m.), and evening (EV, 8.00 p.m.−12.00 midnight). Each behavior was considered as a trait and was expressed as the percentage of recordings of such behavior collected from an individual within a target timing. Specifically, the number of occurrences of a specific behavior recorded for each calf within a specific timing of a target day was divided by the total number of recording occurrences within a timing and then multiplied by 100. In such a way, each individual behavior was expressed as a percentage of recordings within the respective timing. The final dataset included 5,184 records of each individual single behavior within a day of observation and specific timing.
Table 2: Ethogram of calves’ behavior within categories and main description of each behavior.
| Behavioral categories | Behavior | Description |
|---|---|---|
| Ingestion | Eating solid | Ingestion of the solid feed from the feeder |
| Eating liquid | Ingestion of the milk replacer | |
| Drinking | Drinking from the drinking cup in the corner of the pen | |
| Resting | Sternal recumbency | Resting or sleeping with the legs curled under the body and the head up |
| Lateral recumbency | Resting or sleeping with the legs and head outstretched | |
| Rest standing | Standing inactive in a relaxed posture; head lowered, eyes partially or totally closed | |
| Ruminating | Standing ruminating | Chewing motions of teeth while standing on all four legs |
| Lateral ruminating | Ruminating with the legs and head outstretched | |
| Sternal ruminating | Ruminating with the legs curled under the body and the head up | |
| Movement | General agitation | Walking beside the feeder from one side to another with or without a reason, mostly close to the feeding times |
| Standing/lying | Passing from standing to lying or vice versa | |
| Moving | Displacement slowly from one location to another inside the pen | |
| Running | Rapid movement with constant changes of direction inside the pen | |
| Environmental interaction | Olfactory investigation | Sniffing various parts of another individual’s head or body, which typically begins after a nose-to-nose approach |
| Object playing | Playing with an object inside the pen | |
| Licking | Licking the wall, the empty feeder, or some object inside the pen | |
| Positive interaction | Mutual grooming | Grooming and licking another individual using gentle gestures |
| Playing | Playing with another calf while making physical contact with their body parts, eventually pushing each other without force | |
| Pen interaction | Staying near the adjacent pen and exploring by licking the calves there | |
| Sexual behavior | Mounting; jumping to lift both forelegs onto the rump of another calf | |
| Negative interaction | Cross-sucking | Sucking or licking the perianal zone of another calf |
| Stereotypies | Repetitive or unnatural movements with a relative regularity without any apparent function (e.g., tongue playing/rolling and bar biting) | |
| Head butting | Two calves butting each other with their foreheads and sticking together for some seconds | |
| Self-grooming | A calf licking any part of itself | |
| Non-visible | Not visible from the camera or hidden behind other calves |
2.3 Statistical analysis
The trial focused on the expression of a specific behavior for each diet (CTR, T3, and T6). Each calf represented an experimental unit, and all behaviors were expressed as fractions of an hour. An effect size correlation of r = 0.081 was calculated by comparing control vs. treatment on some behaviors relevant to calf wellbeing, such as cross-sucking, using Cohen’s d statistics. A separate analysis for each behavior of an individual within each target timing of 4 h (6 timings × 4 h = 24 h) was performed as dependent variables of a mixed model [mixed procedure; SAS, SAS/STAT User’s Guide (SAS Institute: Cary, NC, USA, 2013)] in a linear model analysis as written below:
where Yijklm is the target individual behavior as a dependent variable and μ is the overall mean. The fixed effects were the day of observation (18 levels, corresponding to each target day), the diet (D: CTR, T3, and T6), the timing (T: EM, LM, EA, LA, E, and N), and sex (S: M or F). The interactions among D, T, and S were also considered. Random effects included the identity of each individual calf (ID) and the error (e). The effect of the two viewers was not included as a separate effect in the final model because it was already considered within the effect of the day, as each day was entirely observed by a single viewer. All the variables and their residuals were tested for normality using a Shapiro–Wilk test. As post-hoc analysis of the mixed model, the least square means [LS means option; MIXED procedure, SAS, SAS/STAT User’s Guide (SAS Institute: Cary, NC, USA, 2013)] were calculated for each effect included. Additionally, the comparisons between each pair of levels for the LS means of each fixed effect were made using the Student’s t-test analysis. A Bonferroni correction was done to make it as conservative as possible SAS, SAS/STAT User’s Guide (SAS Institute: Cary, NC, USA, 2013). A P-value of < 0.05 was used to indicate statistical significance.
3 Results
None of the calves developed diseases severe enough to be a reason for exclusion from the study. The descriptive values of the duration of the calves’ behaviors are reported in Table 3. During the experiment, some behaviors were identified as belonging to some specific timings. In general, resting and ruminating were the two main behaviors performed by the calves throughout the day. The ingestion behavior was observed mostly during the day. The calves spent 8.4% of their time eating solid food in the late morning and 9.9% in the late afternoon after the administration of the two meals (6.00 a.m. and 5.00 p.m.). As regards the resting behavior, both sternal and lateral recumbency appeared predominantly during the night when the calves just lay down inside the pen. Sternal recumbency was observed in the late morning (38.6%) and early afternoon (40.5%), especially in the evening (53.1%) and during the night (45%). On the other hand, standing resting was barely observed in the evening (5.9%) and night (2.1%), as the calves preferred to rest in the recumbent position. The most common ruminating behavior was sternal ruminating, occurring mainly during the night (22.9%), where the animals remained in sternal recumbency. The environmental interaction of the calves was mostly represented by olfactory investigation and licking. Olfactory investigation toward the other pen mates was observed mainly during the late morning (6.4%) and late afternoon (9.7%). Generally, this behavior occurred at the end of the meal as did licking. The negative interaction behavior in which calves spent the most time was cross-sucking, usually performed in the early morning (1.3%), before the first meal, and in the late afternoon (1.8%) after the evening meal. The other negative behaviors were not strictly linked to a specific time slot but were displayed throughout the day. A few stereotypies were also observed in all the time slots considered.
Table 3: Least square means a percentage of recordings of calves’ behavior along the day, calculated as the ratio between the number of occurrences of a target behavior and the total recording occurrences in a day and then multiplied by 100.
| Behavior | Timinga | |||||
|---|---|---|---|---|---|---|
| EM | LM | EA | LA | EV | NI | |
| Ingestion | ||||||
| Eating solid | 6.13 ± 5.43 | 8.36 ± 7.38 | 1.64 ± 3.42 | 9.93 ± 5.14 | 0.93 ± 2.03 | 0.47 ± 1.48 |
| Eating liquid | 2.04 ± 1.35 | 0.00 ± 0.00 | 0.00 ± 0.00 | 2.02 ± 1.35 | 0.00 ± 0.00 | 0.00 ± 0.00 |
| Drinking | 0.15 ± 0.65 | 0.29 ± 1.00 | 0.16 ± 0.68 | 0.27 ± 0.91 | 0.14 ± 0.69 | 0.06 ± 0.37 |
| Resting | ||||||
| Sternal recumbency | 28.87 ± 14.42 | 38.58 ± 17.14 | 40.45 ± 18.79 | 17.47 ± 11.37 | 53.14 ± 21.63 | 44.85± 21.68 |
| Lateral recumbency | 6.60 ± 9.97 | 7.29 ± 11.20 | 12.56 ± 14.37 | 2.31 ± 5.17 | 12.19 ± 16.41 | 14.97 ± 17.32 |
| Rest standing | 14.48 ± 9.61 | 11.07 ± 9.11 | 5.38 ± 5.33 | 21.37 ± 12.25 | 5.85 ± 6.70 | 2.11 ± 2.79 |
| Ruminating | ||||||
| Standing ruminating | 0.16 ± 0.75 | 0.10 ± 0.68 | 0.05 ± 0.35 | 0.13 ± 0.73 | 0.03 ± 0.32 | 0.05 ± 0.35 |
| Lateral ruminating | 2.59 ± 4.73 | 1.14 ± 3.54 | 3.14 ± 5.33 | 0.56 ± 2.16 | 1.64 ± 3.88 | 5.68 ± 8.85 |
| Sternal ruminating | 13.00 ± 9.74 | 7.31 ± 7.41 | 17.24 ± 11.95 | 6.09 ± 6.08 | 9.52 ± 9.18 | 22.94 ± 15.52 |
| Movement | ||||||
| General agitation | 0.18 ± 0.59 | 0.04 ± 0.33 | 0.01 ± 0.14 | 0.40 ± 0.87 | 0.03 ± 0.26 | 0.00 ± 0.00 |
| Standing/lying | 0.20 ± 0.67 | 0.22 ± 0.67 | 0.20 ± 0.63 | 0.17 ± 0.61 | 0.29 ± 0.76 | 0.19 ± 0.65 |
| Moving | 0.69 ± 1.39 | 0.80 ± 1.41 | 0.42 ± 1.05 | 1.42 ± 2.05 | 0.40 ± 0.96 | 0.12 ± 0.53 |
| Running | 0.02 ± 0.21 | 0.08 ± 0.45 | 0.03 ± 0.28 | 0.28 ± 0.81 | 0.05 ± 0.35 | 0.00 ± 0.00 |
| Environmental interaction | ||||||
| Olfactory investigation | 5.86 ± 5.22 | 6.40 ± 5.64 | 4.44 ± 4.74 | 9.68 ± 8.05 | 3.51 ± 4.58 | 1.50 ± 2.17 |
| Object playing | 0.17 ± 0.90 | 0.08 ± 0.5 | 0.05 ± 0.35 | 0.16 ± 0.72 | 0.01 ± 0.17 | 0.00 ± 0.00 |
| Licking | 7.61 ± 5.72 | 6.42 ± 5.59 | 4.55 ± 5.09 | 11.69 ± 7.52 | 2.54 ± 3.66 | 0.72 ± 1.69 |
| Positive interaction | ||||||
| Mutual grooming | 1.44 ± 2.18 | 1.75 ± 2.44 | 1.23 ± 2.03 | 2.30 ± 2.83 | 0.79 ± 1.66 | 0.55 ± 1.70 |
| Playing | 0.23 ± 0.77 | 0.41 ± 1.20 | 0.16 ± 0.67 | 0.90 ± 1.84 | 0.15 ± 0.59 | 0.02 ± 0.21 |
| Pen interaction | 0.89 ± 1.79 | 0.78 ± 1.62 | 0.42 ± 1.22 | 1.42 ± 2.18 | 0.18 ± 0.69 | 0.02 ± 0.23 |
| Sexual behavior | 0.02 ± 0.19 | 0.02 ± 0.21 | 0.01 ± 0.20 | 0.08 ± 0.43 | 0.01 ± 0.18 | 0.00 ± 0.07 |
| Negative interaction | ||||||
| Cross-sucking | 1.28 ± 2.13 | 0.39 ± 1.01 | 0.32 ± 0.96 | 1.78 ± 2.62 | 0.18 ± 0.64 | 0.06 ± 0.38 |
| Stereotypies | 0.21 ± 0.90 | 0.24 ± 0.97 | 0.31 ± 0.97 | 0.41 ± 1.53 | 0.17 ± 0.67 | 0.15 ± 0.76 |
| Head butting | 0.54 ± 1.17 | 0.93 ± 1.62 | 0.28 ± 0.84 | 1.60 ± 2.15 | 0.34 ± 0.97 | 0.04 ± 0.28 |
| Self-grooming | 2.32 ± 2.57 | 2.96 ± 2.59 | 3.26 ± 3.35 | 3.59 ± 3.30 | 2.43 ± 3.02 | 1.94 ± 2.50 |
| Non-visible | 4.32 ± 18.63 | 4.22 ± 19.34 | 3.81 ± 18.29 | 3.97 ± 18.20 | 5.45 ± 20.98 | 3.55 ± 17.99 |
EM, early morning; LM, late morning; EA, early afternoon; LA, late afternoon; EV, evening; NI, night.
aTime slots.
The mixed-model analysis (Table 4) shows the incidence of the main effects (diet, sex, and timing) and their interactions for each target behavior (Table 5). Diet-influenced (P < 0.05) behaviors include eating liquid, running, cross-sucking, licking, olfactory investigation, and mutual grooming. Sex influenced (P < 0.05) eating liquid, sternal recumbency, lateral recumbency, sternal ruminating, moving, running, licking, and sexual behavior. Timing influenced (P < 0.05) all behaviors.
Table 4: ANOVA reporting the F-statistics and P-values of all the main effects and interactions of all behaviors expressed as a percentage of recordings.
| Behavior | Day | Diet (D) | Sex (S) | Timing (T) | D*S | D*T | S*T | D*S*T | ||||||||
|---|---|---|---|---|---|---|---|---|---|---|---|---|---|---|---|---|
| F | P-value | F | P-value | F | P-value | F | P-value | F | P-value | F | P-value | F | P-value | F | P-value | |
| Ingestion | ||||||||||||||||
| Eating solid | 11.85 | <0.001 | 2.54 | 0.091 | 0.87 | 0.352 | 518.56 | <0.001 | 4.32 | 0.013 | 5.14 | <0.001 | 1.73 | 0.124 | 1.87 | 0.044 |
| Eating liquid | 15.35 | <0.001 | 12.15 | 0.000 | 34.70 | <0.001 | 1,441.77 | <0.001 | 8.81 | <0.001 | 11.52 | <0.001 | 33.18 | <0.001 | 6.37 | <0.001 |
| Drinking | 34.45 | <0.001 | 1.82 | 0.174 | 0.18 | 0.675 | 12.51 | <0.001 | 1.76 | 0.171 | 1.38 | 0.184 | 1.95 | 0.083 | 1.27 | 0.240 |
| Resting | ||||||||||||||||
| Sternal recumbency | 52.82 | <0.001 | 0.37 | 0.690 | 4.76 | 0.029 | 400.54 | <0.001 | 1.91 | 0.148 | 1.14 | 0.329 | 4.55 | <0.001 | 0.89 | 0.543 |
| Lateral recumbency | 86.53 | <0.001 | 2.38 | 0.105 | 9.67 | 0.002 | 94.87 | <0.001 | 0.31 | 0.734 | 2.68 | 0.003 | 2.37 | 0.037 | 0.81 | 0.616 |
| Rest standing | 60.85 | <0.001 | 1.32 | 0.279 | 0.16 | 0.692 | 614.74 | <0.001 | 0.10 | 0.904 | 4.19 | <0.001 | 0.94 | 0.456 | 1.57 | 0.108 |
| Ruminating | ||||||||||||||||
| Standing ruminating | 8.35 | <0.001 | 1.02 | 0.371 | 0.16 | 0.691 | 4.20 | 0.001 | 1.70 | 0.182 | 1.65 | 0.087 | 2.21 | 0.051 | 1.47 | 0.144 |
| Lateral ruminating | 31.69 | <0.001 | 1.04 | 0.362 | 1.45 | 0.229 | 87.23 | <0.001 | 1.02 | 0.360 | 1.88 | 0.044 | 0.70 | 0.620 | 2.63 | 0.003 |
| Sternal ruminating | 45.27 | <0.01 | 0.41 | 0.668 | 4.52 | 0.034 | 350.33 | <0.001 | 0.70 | 0.498 | 4.88 | <0.001 | 9.57 | <0.001 | 1.58 | 0.105 |
| Movement | ||||||||||||||||
| General agitation | 6.51 | <0.001 | 2.39 | 0.105 | 2.06 | 0.152 | 61.05 | <0.001 | 0.47 | 0.626 | 1.59 | 0.103 | 2.41 | 0.034 | 5.13 | <0.001 |
| Standing/lying | 2.68 | <0.001 | 0.15 | 0.862 | 2.76 | 0.097 | 3.50 | 0.004 | 0.27 | 0.761 | 1.14 | 0.325 | 1.12 | 0.345 | 1.78 | 0.059 |
| Moving | 27.49 | <0.001 | 0.12 | 0.887 | 4.50 | 0.034 | 98.69 | <0.001 | 3.65 | 0.026 | 1.81 | 0.054 | 4.77 | <0.001 | 2.48 | 0.006 |
| Running | 3.79 | <0.001 | 5.05 | 0.011 | 17.61 | <0.001 | 59.83 | <0.001 | 4.13 | 0.016 | 3.51 | <0.001 | 10.39 | <0.001 | 4.24 | <0.001 |
| Environmental interaction | ||||||||||||||||
| Olfactory investigation | 91.16 | <0.001 | 3.82 | 0.030 | 0.47 | 0.492 | 228.15 | <0.001 | 1.38 | 0.251 | 2.37 | 0.009 | 0.76 | 0.579 | 1.77 | 0.060 |
| Object playing | 1.66 | 0.043 | 1.59 | 0.217 | 0.04 | 0.836 | 9.07 | <0.001 | 5.05 | 0.006 | 1.03 | 0.416 | 0.97 | 0.432 | 1.46 | 0.148 |
| Licking | 20.57 | <0.001 | 3.71 | 0.033 | 4.95 | 0.026 | 451.73 | <0.001 | 1.81 | 0.164 | 5.24 | <0.001 | 6.61 | <0.001 | 3.23 | <0.001 |
| Positive interaction | ||||||||||||||||
| Mutual grooming | 10.82 | <0.001 | 3.42 | 0.042 | 0.48 | 0.487 | 54.51 | <0.001 | 0.77 | 0.464 | 0.25 | 0.991 | 1.30 | 0.261 | 1.32 | 0.214 |
| Playing | 31.09 | <0.001 | 0.80 | 0.456 | 1.32 | 0.251 | 57.59 | <0.001 | 0.66 | 0.518 | 1.68 | 0.080 | 0.51 | 0.769 | 0.57 | 0.843 |
| Pen interaction | 32.87 | <0.001 | 0.75 | 0.477 | 1.96 | 0.161 | 99.07 | <0.001 | 10.30 | <0.001 | 1.56 | 0.111 | 1.62 | 0.151 | 4.45 | <0.001 |
| Sexual behavior | 2.38 | 0.001 | 1.14 | 0.329 | 5.69 | 0.017 | 3.55 | 0.003 | 2.80 | 0.061 | 1.03 | 0.412 | 4.59 | <0.001 | 0.90 | 0.531 |
| Negative interaction | ||||||||||||||||
| Cross-sucking | 18.21 | <0.001 | 5.51 | 0.008 | 3.15 | 0.076 | 166.64 | <0.001 | 3.91 | 0.020 | 8.54 | <0.001 | 5.77 | <0.001 | 8.31 | <0.00 |
| Stereotypies | 5.62 | <0.001 | 0.77 | 0.471 | 0.00 | 0.961 | 5.83 | <0.001 | 0.06 | 0.939 | 1.11 | 0.349 | 0.34 | 0.888 | 0.82 | 0.605 |
| Head butting | 23.06 | <0.001 | 0.34 | 0.712 | 1.38 | 0.240 | 118.59 | <0.001 | 0.59 | 0.554 | 1.22 | 0.271 | 1.07 | 0.375 | 0.88 | 0.556 |
| Self-grooming | 15.86 | <0.001 | 0.34 | 0.711 | 13.80 | <0.001 | 34.63 | <0.001 | 1.66 | 0.191 | 1.18 | 0.298 | 1.50 | 0.187 | 1.56 | 0.113 |
Table 5: Least square means of behaviors, expressed as a percentage of recordings for the main effects considered in the ANOVA.
| Behavior | Diet | Sex | TimingA | |||||||||||
|---|---|---|---|---|---|---|---|---|---|---|---|---|---|---|
| CTR | T3 | T6 | SE | F | M | SE | EM | LM | EA | LA | EV | NI | SE | |
| Ingestion | ||||||||||||||
| Eating solid | 5.016 | 4.211 | 4.655 | 0.247 | 4.760 | 4.494 | 0.194 | 6.412c | 8.343b | 1.754d | 9.989a | 0.855e | 0.410e | 0.219 |
| Eating liquid | 0.701b | 0.844a | 0.648b | 0.028 | 0.827a | 0.635b | 0.022 | 2.125b | 0.000c | 0.000c | 2.260a | 0.000c | 0.000c | 0.032 |
| Drinking | 0.253 | 0.125 | 0.172 | 0.048 | 0.195 | 0.172 | 0.037 | 0.135b | 0.289b | 0.159a | 0.318a | 0.140b | 0.059b | 0.038 |
| Resting | ||||||||||||||
| Sternal recumbency | 38.81 | 38.22 | 37.24 | 1.344 | 39.79a | 36.40b | 1.055 | 29.50d | 40.49c | 40.74c | 17.34e | 54.64a | 45.86b | 0.979 |
| Lateral recumbency | 10.00 | 7.945 | 7.130 | 0.994 | 6.573b | 10.15a | 0.780 | 5.893c | 6.242c | 11.58b | 1.92d | 10.89b | 13.63a | 0.707 |
| Rest standing | 10.81 | 10.190 | 8.797 | 0.931 | 9.719 | 10.14 | 0.730 | 14.33b | 10.69c | 5.371d | 21.36a | 5.752d | 2.09e | 0.598 |
| Ruminating | ||||||||||||||
| Standing ruminating | 0.070 | 0.113 | 0.076 | 0.022 | 0.081 | 0.091 | 0.017 | 0.137a | 0.074a | 0.059a | 0.149a | 0.032b | 0.064a | 0.024 |
| Lateral ruminating | 2.687 | 2.388 | 1.848 | 0.432 | 2.007 | 2.608 | 0.339 | 2.508b | 1.048c | 2.911b | 0.481d | 1.397c | 5.501a | 0.306 |
| Sternal ruminating | 12.72 | 13.97 | 13.35 | 0.963 | 14.53a | 12.16b | 0.756 | 13.60c | 7.583e | 18.21b | 6.129e | 9.870d | 24.69a | 0.655 |
| Movement | ||||||||||||||
| General agitation | 0.108 | 0.124 | 0.083 | 0.013 | 0.094 | 0.116 | 0.010 | 0.158c | 0.064b | 0.006c | 0.379a | 0.021c | 0.000b | 0.019 |
| Standing/lying | 0.223 | 0.236 | 0.216 | 0.025 | 0.249 | 0.201 | 0.019 | 0.230a | 0.228a | 0.223a | 0.158b | 0.312a | 0.199b | 0.028 |
| Moving | 0.666 | 0.715 | 0.684 | 0.068 | 0.772a | 0.604b | 0.054 | 0.723b | 0.826b | 0.494c | 1.580a | 0.395c | 0.111d | 0.061 |
| Running | 0.071b | 0.126a | 0.091a | 0.012 | 0.125a | 0.066b | 0.010 | 0.018c | 0.093b | 0.026b | 0.357a | 0.082b | 0.000c | 0.017 |
| Environmental interaction | ||||||||||||||
| Olfactory investigation | 5.716a | 5.271a | 4.510b | 0.324 | 5.037 | 5.294 | 0.254 | 5.686b | 6.428b | 4.408c | 9.700a | 3.376d | 1.395e | 0.254 |
| Object playing | 0.047 | 0.100 | 0.099 | 0.025 | 0.085 | 0.079 | 0.019 | 0.154a | 0.085a | 0.066b | 0.159a | 0.026b | 0.000b | 0.024 |
| Licking | 4.913b | 6.753a | 6.195a | 0.489 | 6.583a | 5.325b | 0.384 | 8.161b | 6.909c | 5.131d | 12.23a | 2.611e | 0.678f | 0.334 |
| Positive interaction | ||||||||||||||
| Mutual grooming | 1.644 | 1.234 | 1.030 | 0.175 | 1.232 | 1.373 | 0.138 | 1.315b | 1.661b | 1.210c | 2.294a | 0.797d | 0.540d | 0.127 |
| Playing | 0.284 | 0.338 | 0.289 | 0.032 | 0.282 | 0.325 | 0.025 | 0.230c | 0.407b | 0.161c | 0.862a | 0.141c | 0.021d | 0.041 |
| Pen interaction | 0.576 | 0.711 | 0.682 | 0.082 | 0.723 | 0.590 | 0.065 | 0.905b | 0.862b | 0.450c | 1.508a | 0.188d | 0.027d | 0.069 |
| Sexual behavior | 0.029 | 0.010 | 0.014 | 0.009 | 0.005b | 0.031a | 0.007 | 0.018a | 0.014b | 0.010b | 0.053a | 0.010b | 0.002b | 0.010 |
| Negative interaction | ||||||||||||||
| Cross-sucking | 0.927a | 0.483ab | 0.716a | 0.093 | 0.804 | 0.614 | 0.073 | 1.390b | 0.383c | 0.326c | 1.902a | 0.204c | 0.047d | 0.076 |
| Stereotypies | 0.169 | 0.172 | 0.394 | 0.150 | 0.241 | 0.249 | 0.118 | 0.199b | 0.249a | 0.304a | 0.384a | 0.177b | 0.156b | 0.093 |
| Head butting | 0.592 | 0.641 | 0.568 | 0.062 | 0.558 | 0.642 | 0.049 | 0.539c | 0.852b | 0.256d | 1.595a | 0.322d | 0.040e | 0.059 |
| Self-grooming | 2.854 | 3.068 | 3.077 | 0.220 | 3.472 | 2.527 | 0.173 | 2.490c | 3.320b | 3.562a | 3.837a | 2.664c | 2.125d | 0.164 |
CTR, control; T3, 3% of hempseed cake inclusion; T6, 6% of hempseed cake inclusion; F, female; M, male; EM, early morning; LM, late morning; EA, early afternoon; LA, late afternoon; EV, evening; NI, night; SE, standard error.
ATime slots.
a−fValues within a row with different superscripts differ significantly at a P-value of <0.05.
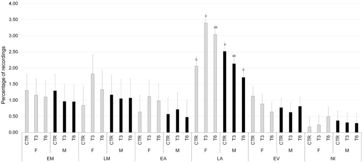
Figures 2–6 report the most relevant interactions among the main effects that were significant (P < 0.05). The inclusion of 3% and 6% of HSC significantly increased the time spent running and licking (Figure 2) and decreased the amount of time carrying out olfactory investigation and cross-sucking (Figure 3). Both sexes expressed more time cross-sucking during the early morning and late afternoon, but mostly in the latter after the second milk administration. Male calves reduced the time spent on cross-sucking as the HSC inclusion increased in the diet. For female calves, this reduction only happened for the T3 group. Meanwhile, the T6 and CTR groups were not influenced by the diet (Figure 3). Females spent significantly greater time than males eating liquid, resting, ruminating in sternal recumbency, moving, running, and licking, whereas males spent longer duration in lateral recumbency and sexual behavior. The CTR group spent more time eating solids in the late morning than T3 and T6 (Figure 4). Calves that received the diet with the HSC inclusion finished all the solid feed right after the first meal, whereas the CTR group always had some leftovers in the feeder, and they tended to eat more slowly. The diet did not influence the positive interaction behavior, but sex and timing did (Figure 5). This behavior was observed, in particular, during the late afternoon. For this time period, male calves decreased the time of positive interaction inside the pen when the HSC was included in the diet, whereas the same effect was not noticed in the female calves, which spent the same amount of time interacting positively regardless of the diet. During this trial, both male and female calves showed a different time budget for movement behavior (Figure 6). Even though both female and male calves were more active during the late afternoon, the HSC inclusion had opposite effects on the different sexes. Female calves of T3 and T6 spent more time (P < 0.05) on movement than those in the CTR group. On the contrary, male calves decreased (P < 0.05) their time spent on movement when the HSC inclusion increased in the diet. Although sexual behavior was the least noticed of the positive interaction behaviors, there was a statistical difference between sexes (Figure 7), showing that male calves expressed more sexual behavior than females, mostly in the late afternoon.






4 Discussion
As hemp has been a controversial ingredient due to its THC and CBD content, its use as an ingredient in calves’ diets should not change the behavior the animals normally show when they are fed with conventional diets. Resting is the most frequently seen behavior in veal calves in the literature (ref. 11), and this study supports this fact. The amount of time spent on resting depends, above all, on the space allowance (ref. 12). According to EU regulations, housed calves should have the possibility of lying simultaneously with a minimum space allowance of 1.5 m2 for each calf of a live weight of <150 kg (Council Directive 98/58/EC). In this trial, the space for each animal was 1.9 m2, so this behavior took place under normal standards. Lateral recumbency is considered an abnormal posture when it lasts for long periods (ref. 13). Positively, in this trial, lateral recumbency was seen less than sternal recumbency. Furthermore, it was observed that recumbency increased steadily as day turned into night. This could be explained by the literature since this inactive behavior was found to be more common at night than during the day (ref. 11). Rumination was the second most seen behavior in veal calves, and it is known that it allows the use of solid feed and may be affected by the type of feed available (ref. 14). Not considering the early morning and late afternoon, the amount of time spent doing cross-sucking in the other time slots was less than the normal percentage of 0.5 (ref. 15). This may be due to the fact that group housing normally increases this behavioral disturbance, even though this type of housing system is beneficial for the calves’ welfare (ref. 16). However, the fact that this behavior was noticed most after the evening meal is normal because cross-sucking occurs strongly within 10–15 min after milk feeding (ref. 16). Stereotypical behaviors in cattle have been generally highlighted more in traditional tie-stalls than in loose-housing systems, and their expression also seems to increase when restricted feed is provided (ref. 17). The overall small amount of stereotypies observed in this study is likely to depend on the situation of loose housing despite the restricted feeding typical of rearing systems for fattening calves.
Regarding the more time spent eating solids in the late morning by the CTR group and knowing that the solid feed was given right after the liquid feed, it may be that the HSC inclusion in the milk somehow increased the appetite of the calves; thus, they ate the solid feed faster than the CTR group. Considering this hypothesis, HSC may also increase feed intake when offered ad libitum, but the only study to date that used 3% of HSC in the concentrate of Holstein veal calves did not find any increase in feed intake (ref. 18). HSC inclusion in females’ diets made them more active, whereas males did not follow the same pattern, maybe due to a hormone interaction. The effect of the diet diminishing the duration of males doing cross-sucking is positive since it is a non-nutritive behavior that normally disappears when the calves are weaned (ref. 16). Even though sexual behavior is one of the least seen behaviors, it is important to discuss it because it is a big part of the calves’ life that develops around the age range of 4–6 months (ref. 19). It was normal that the calves in this experiment expressed this behavior because they reached 6 months of age at the end of the trial. In addition, these results agree with the study of van Ek (ref. 19), who reported 0.18% of time spent in this behavior by calves of 4–6 months of age and also found that bull calves had more sexual activity than females and that they displayed more sexual interaction during the morning (07.00 a.m.−11.00 a.m.) and the afternoon (4.00 p.m.−7.00 p.m.) (ref. 19).
In conclusion, this study demonstrated that hemp seed cake had little effect on calves’ behavior and that calves, in general, spend most of their time resting and ruminating, as they normally do with conventional diets. HSC inclusion increased the appetite for solid food and licking behavior during the late afternoon. The highest hempseed inclusion increased the female calves’ movement in the late afternoon. Male calves decreased their positive interaction, movement, and cross-sucking in the late afternoon as the inclusion of HSC increased. Considering the findings given above, the inclusion of hempseed cake into veal calves’ diet can be suggested, but further studies on different breeds and individual ages and the relationship between the cannabinoid content of hemp would be interesting for a better understanding of this novel ingredient.
Data availability statement
The original contributions presented in the study are included in the article/supplementary material, further inquiries can be directed to the corresponding author.
Ethics statement
The animal study was approved by Ethical Committee at the University of Padova. The study was conducted in accordance with the local legislation and institutional requirements.
Author contributions
SA: Formal analysis, Investigation, Writing – original draft, Writing – review & editing. NG: Investigation, Writing – review & editing. VT: Visualization, Writing – review & editing. ER: Data curation, Methodology, Validation, Writing – review & editing. CS: Data curation, Formal analysis, Writing – review & editing. LB: Conceptualization, Resources, Supervision, Validation, Visualization, Writing – review & editing.
References
- M Pojic, A Misan, M Sakac, T Dapcevic, B Saric, I Milovanovic. Characterization of byproducts originating from hemp oil processing.. J Agri Food Chem. (, 2022. [DOI | PubMed]
- Scientific opinion on the safety of hemp (Cannabis sativa L.) for use as animal feed.. EFSA J. (, 2011. [DOI]
- 3.Anagrafe Nazionale Zootecnica (2022). Available online at: https://www.vetinfo.it/j6_statistiche/#/ (accessed November 13, 2022).
- B Pardon, M Hostens, L Duchateau, J Dewulf, K De Bleecker, P Deprez. Impact of respiratory disease, diarrhea, otitis and arthritis on mortality and carcass traits in white veal calves.. BMC Vet Res. (, 2013. [DOI | PubMed]
- Regulation EU. No 1307/2013 of the European Parliament and of the Council of 17 December 2013 establishing rules for direct payments to farmers under support schemes within the framework of the common agricultural policy and repealing Council Regulation (EC) No 637/2008 and Council Regulation (EC) No 73/2009.. Off J Eur Union. (, 2013
- R Pavlovic, S Pansieri, L Giupponi, V Leoni, C Citti, C Cattaneo. Phytochemical and ecological analysis of two varieties of hemp (Cannabis sativa L) grown in a Mountain environment of Italian Alps.. Front Plant Sci. (, 2019. [DOI | PubMed]
- S Corsetti, S Borruso, L Malandruco, V Spalluci, L Maragliano, R Perino. Cannabis sativa L. may reduce aggressive behavior towards humans in shelter dogs.. Sci Rep. (, 2021. [DOI | PubMed]
- A Mastinu, R Ascrizzi, G Ribaudo, S Bonini, M Premoli, F Aria. Prosocial effects of nonpsychotropic Cannabis sativa in mice.. Cannabis Cannabinoid Res. (, 2022. [DOI | PubMed]
- E Skelhorn, A Garcia-Ara, R Nova, H Kinston, W Wapenar. Public opinion and perception of rosé veal in the UK.. Meat Sci. (, 2020. [DOI | PubMed]
- H Saloniemi. Feed intake and oral behavior of dairy calves housed individually or in groups in warm or cold buildings.. Livest Sci. (, 2006
- S Sato, K Kuroda. Behavioral characteristics of artificially reared calves.. Anim Sci Tech. (, 1992. [DOI]
- G Faerevik, K Tjentland, S Lovik, I Andersen, K Boe. Resting pattern and social behavior of dairy calves housed in pens with different sized lying areas.. Appl Anim Behav Sci. (, 2008. [DOI]
- D Mellor, V Robertson. Effects of castration on behavior and plasma cortisol concentrations in young lambs, kids and calves.. Res Vet Sci 51. (, 1991. [DOI | PubMed]
- L Whalin, D Weary, M von Keyserlingk. Understanding the behavior development of calves in natural settings to inform calf management.. Animals. (, 2021. [DOI | PubMed]
- Hepola, H, L. Hänninen, P. Pursiainen, V. M. Tuure, L. Syrjälä-Qvist, M. Pyykkönen. Feed intake and oral behaviour of dairy calves housed individually or in groups in warm or cold buildings.. Livestock Sci., 2006. [DOI]
- M Jensen. The effects of feeding method, milk allowance and social factors on milk feeding behavior and cross-sucking in group housed dairy calves.. Appl Anim Behav Sci. (, 2003. [DOI | PubMed]
- I Redbo, A Nordblad. Stereotypies in heifers are affected by feeding regime.. Appl Anim Behav Sci. (, 1997. [DOI]
- S Arango, N Guzzo, E Raffrenato, L Bailoni. Effect of dietary hemp cake inclusion on the in vivo and post mortem performances of Holstein veal calves.. Animals. (, 2022. [DOI | PubMed]
- Ek EM van. Display of Social and Sexual Behavior of Calves [Doctoral Thesis]. Utrecht: University of Utrecht (, 2010
