Upregulation of BMP1 through ncRNAs correlates with adverse outcomes and immune infiltration in clear cell renal cell carcinoma
Abstract
Background:
Renal cell carcinoma (RCC) accounts for approximately 2–3% of all adult malignancies. Clear cell renal cell carcinoma (ccRCC), which comprises 70–80% of all RCC cases, is the most common histological subtype.
Methods:
ccRCC transcriptome data and clinical information were downloaded from the TCGA database. We used the TCGA and GEPIA databases to analyze relative expression of BMP1 in various types of human cancer. GEPIA was used to perform survival analysis for BMP1 in various cancer types. Upstream binding miRNAs of BMP1 were obtained through several important target gene prediction tools. StarBase was used to predict candidate miRNAs that may bind to BMP1 and candidate lncRNAs that may bind to hsa-miR-532-3p. We analyzed the association between expression of BMP1 and immune cell infiltration levels in ccRCC using the TIMER website. The relationship between BMP1 expression levels and immune checkpoint expression levels was also investigated.
Results:
BMP1 was upregulated in GBM, HNSC, KIRC, KIRP and STAD and downregulated in KICH and PRAD. Combined with OS and DFS, BMP1 can be used as a biomarker for poor prognosis among patients with KIRC. Through expression analysis, survival analysis and correlation analysis, LINC00685, SLC16A1-AS1, PVT1, VPS9D1-AS1, SNHG15 and the CCDC18-AS1/hsa-miR-532-3p/BMP1 axis were established as the most potential upstream ncRNA-related pathways of BMP1 in ccRCC. Furthermore, we found that BMP1 levels correlated significantly positively with tumor immune cell infiltration, biomarkers of immune cells, and immune checkpoint expression.
Conclusion:
Our results demonstrate that ncRNA-mediated high expression of BMP1 is associated with poor prognosis and tumor immune infiltration in ccRCC.
Article type: Research Article
Keywords: BMP1, ccRCC, Prognosis, Survival, Immune cells
Affiliations: https://ror.org/01x5dfh38grid.476868.3Department of Urology, The People’s Hospital of Zhongshan, Zhongshan, 528403 Guangdong China; https://ror.org/01px77p81grid.412536.70000 0004 1791 7851Department of Urology, Sun Yat-sen Memorial Hospital, Guangzhou, 510080 Guangdong China; https://ror.org/037p24858grid.412615.5Department of Urology, The First Affiliated Hospital of Sun Yat-sen University, Guangzhou, 510080 Guangdong China; https://ror.org/01x5dfh38grid.476868.3Department of Oncology, The People’s Hospital of Zhongshan, No. 2 Sunwen East Road, Zhongshan, 528403 Guangdong China
License: © The Author(s) 2023 CC BY 4.0 Open Access This article is licensed under a Creative Commons Attribution 4.0 International License, which permits use, sharing, adaptation, distribution and reproduction in any medium or format, as long as you give appropriate credit to the original author(s) and the source, provide a link to the Creative Commons licence, and indicate if changes were made. The images or other third party material in this article are included in the article’s Creative Commons licence, unless indicated otherwise in a credit line to the material. If material is not included in the article’s Creative Commons licence and your intended use is not permitted by statutory regulation or exceeds the permitted use, you will need to obtain permission directly from the copyright holder. To view a copy of this licence, visit http://creativecommons.org/licenses/by/4.0/. The Creative Commons Public Domain Dedication waiver (http://creativecommons.org/publicdomain/zero/1.0/) applies to the data made available in this article, unless otherwise stated in a credit line to the data.
Article links: DOI: 10.1186/s40001-023-01422-x | PubMed: 37848987 | PMC: PMC10580559
Relevance: Moderate: mentioned 3+ times in text
Full text: PDF (4.7 MB)
Introduction
Renal cell carcinoma (RCC) remains a major type of cancer, with a significant increase in incidence over the past years [ref. 1]. In 2019, there were approximately 73,750 new cases of kidney cancer in the United States, resulting in approximately 14,830 deaths [ref. 1]. Clear cell renal cell carcinoma (ccRCC) accounts for approximately 80% of clinical cases of renal cell carcinoma in adults [ref. 2]. Localized ccRCC can be treated by surgery and has good prognosis, but approximately 20% of cases are at an advanced stage at the time of diagnosis, resulting in relatively poor prognosis [ref. 1, ref. 3]. Despite current application of tyrosine kinase inhibitor (TKI) therapy and immunotherapy, the median survival time for advanced ccRCC is only approximately 3–4 years [ref. 4–ref. 6]. Moreover, TKI is associated with increased risk of multiple cardiovascular events, and immunotherapy may increase the occurrence of such adverse reactions [ref. 7]. Therefore, it is very important to understand the mechanism of development and progression of ccRCC.
Bone morphogenic proteins (BMPs) participate in cartilage and bone formation. BMP1 is a metalloendopeptidase belonging to the astacin superfamily and is a splice variant of mammalian tolloid protein, whereas BMP2 to BMP16 belong to the transforming growth factor-β (TGF-β) superfamily [ref. 8]. BMP is commonly found in various tissues of the human body. BMPs participate in the genesis and development of tumors by inducing apoptosis and inhibiting proliferation through regulation of the epithelial–mesenchymal transition (EMT), the G2M checkpoint, angiogenesis, and the hypoxia pathway [ref. 9, ref. 10]. BMP1 can activate the TGF-β signaling pathway, which initiates cleavage and release of the TGF-β complex from the extracellular matrix [ref. 11]. In recent years, it was found that BMP1 is highly expressed in some cancers and associated with cancer invasiveness in gastric cancer [ref. 12], lung cancer [ref. 13], osteosarcoma [ref. 14], colon cancer [ref. 15] and renal cancer [ref. 10]. However, expression and the mechanism of BMP1 in ccRCC and how they relate to prognosis are still unresolved. In addition, current understanding regarding the association between BMP1 and tumor immune infiltration in ccRCC remains unclear.
To address these questions, we first investigated expression of BMP1 and its prognostic significance in a variety of human cancers. Then, the mechanism of noncoding RNA (ncRNA)-associated regulation of BMP1 in ccRCC was examined. Finally, we explored the relationship of BMP1 expression with biomarkers of immune cells, immune cell infiltration, and immune checkpoints in ccRCC. Overall, our results reveal that high expression of BMP1 in ccRCC is associated with poor prognosis and tumor immune infiltration through ncRNAs.
Materials and methods
Expression of BMP1 in 18 cancer types
The TCGA database, including clinical data, miRNA expression, mRNA expression, genome variation and methylation data of various human cancers, is a very useful cancer database [ref. 16]. In this study, we analyzed expression of BMP1 in 18 cancer types (BRCA, CHOL, BLCA, COAD, ESCA, HNSC, GBM, KICH, KIRP, KIRC, LUAD, LIHC, LUSC, PRAD, READ, THCA, STAD, and UCEC) using a Mann–Whitney U test with the R package ggplot2.
GEPIA database analysis
GEPIA (http://gepia.cancer-pku.cn/), a web tool including TCGA and Genotype-Tissue Expression (GTEx) data, was adopted to research BMP1 expression in various types of human cancer [ref. 16]. GEPIA was used to perform survival analysis, including OS and DFS, for BMP1 in 18 various cancer types. The survival R package was used to determine the prognostic value of candidate lncRNAs in ccRCC.
Detected upstream binding miRNAs of BMP1
Through several important target gene prediction tools, including PicTar, PITA, RNA22, miRmap, miRanda, microT and TargetScan, upstream binding miRNAs of BMP1 were obtained. These obtained miRNAs were deemed candidate miRNAs of BMP1.
StarBase database analysis
StarBase (http://starbase.sysu.edu.cn/) is an important database for performing miRNA-related research [ref. 17]. StarBase was used to predict candidate miRNAs that may bind to BMP1 and candidate lncRNAs that may bind to hsa-miR-532-3p.
Analysis of the potential association between BMP1 expression and immune-related factors
TIMER (https://cistrome.shinyapps.io/timer/) is a very important website that is often used to analyze tumor-infiltrating immune cells [ref. 18]. We analyzed the association of expression of BMP1 and immune cell infiltration levels using the TIMER website in ccRCC. The relationship between BMP1 expression levels and immune checkpoint expression levels was also investigated and visualized using Spearman’s rho value within TIMER.
Statistical analysis
Statistical analysis was automatically calculated using either the aforementioned online database or R software (v.4.1.3). Statistical significance was determined when the p-value or the log-rank p-value was less than 0.05.
Results
Analysis of BMP1 expression across cancers
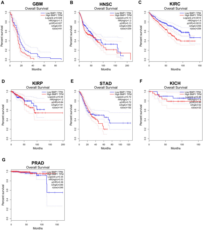
We first detected expression of BMP1 in 18 types of human cancer to illuminate the roles of BMP1 in carcinogenesis using the TCGA database. We found that BMP1 was highly expressed in 10 cancer types compared to normal samples, including BRCA, CHOL, GBM, HNSC, ESCA, KIRC, KIRP, LUSC, STAD and THCA, but was expressed at low levels in 2 cancer types, KICH and PRAD. However, no significant difference in BMP1 in BLCA, COAD, LIHC, LUAD, READ and UCEC was detected (Fig. 1A). Then, we further examined BMP1 expression in these 18 cancer types through the GEPIA database. As shown in Fig. 1B–F, expression of BMP1 in GBM, HNSC, KIRC, KIRP and STAD was markedly upregulated compared with that in corresponding normal controls; in contrast, it was obviously downregulated in KICH, LUAD, PRAD and UCEC (Fig. 1G–J). Overall, BMP1 was upregulated in GBM, HNSC, KIRC, KIRP and STAD and downregulated in KICH and PRAD. These results suggest that BMP1 may play an important role in the carcinogenesis of these 7 cancers.

Relationship between BMP1 and prognosis of human cancer
Next, we conducted survival analysis, including disease-free survival (DFS) and overall survival (OS), for BMP1 in GBM, HNSC, KIRC, KIRP, STAD, KICH and PRAD. For OS, high expression of BMP1 in GBM (log-rank p = 0028, HR = 1.5, p = 0.027) and KIRC (log-rank p = 0.0014, HR = 1.6, p = 0.0015) was associated with poor prognosis (Fig. 2). For DFS, increased expression of BMP1 indicated unfavorable prognosis in KIRC (log-rank p = 0.0041, HR = 1.7, p = 0.0046) among all cancer types (Fig. 3). BMP1 was not statistically significant in predicting the prognosis of patients with other types of cancer. Combined with OS and DFS, BMP1 can be used as a biomarker for poor prognosis in patients with KIRC.


Prediction and analysis of upstream miRNAs of BMP1
The regulatory function of ncRNAs on gene expression has been explored in depth. To detect whether BMP1 is regulated by ncRNAs, we first explored upstream miRNAs that may bind to BMP1 through several target gene prediction tools, including PITA, RNA22, PicTar, miRmap, microT, miRanda and TargetScan (Fig. 4A). Through coexpression analysis with BMP1, 4 miRNAs were selected (Fig. 4B). The expression and prognostic value of hsa-miR-676-3p, hsa-miR-502-3p, hsa-miR-532-3p and hsa-miR-29c-3p in ccRCC were investigated. The results (Fig. 4C–J) showed that hsa-miR-502-3p, hsa-miR-532-3p and hsa-miR-29c-3p were all significantly downregulated in ccRCC and that their downregulation was positively linked to patient prognosis. We found that hsa-miR-676-3p was upregulated in ccRCC and that patients with high expression of hsa-miR-676-3p had better prognosis. As miRNA and BMP1 should correlate negatively based on the mechanism by which miRNAs regulate target gene expression, we finally chose hsa-miR-532-3p for further analysis.

Prediction and analysis of upstream lncRNAs of hsa-miR-532-3p
We predicted upstream lncRNAs of hsa-miR-532-3p using the starBase database, and 148 possible lncRNAs were obtained. According to the competing endogenous RNA (ceRNA) hypothesis, lncRNAs can competitively bind shared miRNAs to increase mRNA expression. Hence, there should be a negative correlation between lncRNAs and miRNAs or a positive correlation between lncRNAs and mRNAs. In total, 6 lncRNAs were selected for further analysis (Table 1). LINC00685, SLC16A1-AS1, PVT1, VPS9D1-AS1, SNHG15 and CCDC18-AS1 were significantly upregulated in ccRCC compared with normal controls (Fig. 5A–F). Subsequently, the prognostic values of the six lncRNAs in ccRCC were investigated. As shown in Fig. 5G–L, ccRCC patients with high expression of these six lncRNAs had poor prognosis. To improve visualization, a lncRNA‒miRNA-BMP1 regulatory network was constructed using Cytoscape software (Fig. 6).
Table 1: Correlation analysis between lncRNAs and hsa-miR-532-3p in ccRCC determined by the starBase database
| lncRNA | miRNA | Cor | P-value |
|---|---|---|---|
| LINC00685 | hsa-miR-532-3p | − 0.155 | 3.90E-04 |
| SLC16A1-AS1 | hsa-miR-532-3p | − 0.182 | 3.31E-05 |
| PVT1 | hsa-miR-532-3p | − 0.159 | 2.86E-04 |
| VPS9D1-AS1 | hsa-miR-532-3p | − 0.145 | 9.42E-04 |
| SNHG15 | hsa-miR-532-3p | − 0.176 | 5.73E-05 |
| CCDC18-AS1 | hsa-miR-532-3p | − 0.149 | 6.65E-04 |


Relationships between BMP1 and immune cell infiltration in ccRCC
We explored relationships between BMP1 and immune cell infiltration in ccRCC using TIMER. The results showed that the immune cell infiltration levels of CD8+ T cells, neutrophils, and dendritic cells correlated with the copy numbers of BMP1 in ccRCC (Fig. 7A). However, no significant change in the immune cell infiltration level of B cells, CD4+ T cells, or macrophages under various copy numbers of BMP1 in ccRCC was observed (Fig. 7A). Then, we investigated the correlation between the immune cell infiltration level and BMP1 expression level. As shown in Fig. 7B–G, BMP1 expression was obviously positively associated with all analyzed immune cells, including B cells, CD8+ T cells, CD4+ T cells, macrophages, neutrophils, and dendritic cells, in ccRCC.

Relationships between BMP1 and biomarkers of immune cells in ccRCC
To further study the role of BMP1 in tumor immunity, we investigated relationships between expression of BMP1 and biomarkers of immune cells in ccRCC. As presented in Table 2, Expression of BMP1 correlated significantly positively with B-cell biomarkers (CD19 and CD79A), CD4+ T-cellcell biomarkers (CD4), CD8+ T-cell biomarkers (CD8B), neutrophil biomarkers (ITGAM and CCR7), M1 macrophage biomarkers (NOS2, PTGS2, and IRF5), M2 macrophage biomarkers (CD163, VSIG4, and MS4A4A) and dendritic cell biomarkers (HLA-DPB1, CD1C, NRP1, and ITGAX) in ccRCC.
Table 2: Correlation analysis between BMP1 and biomarkers of immune cells in ccRCC determined by the GEPIA database
| Immune cell | Biomarker | Cor | P-value |
|---|---|---|---|
| B-cell | CD19 | 0.311 | 2.61E-13 |
| CD79A | 0.230 | 7.63E-08 | |
| CD8 + T-cell | CD8A | 0.083 | 5.38E-02 |
| CD8B | 0.090 | 3.82E-02 | |
| CD4 + T-cell | CD4 | 0.232 | 5.96E-08 |
| M1 macrophage | NOS2 | 0.159 | 2.28E-04 |
| IRF5 | 0.152 | 4.31E-04 | |
| PTGS2 | 0.153 | 3.90E-04 | |
| M2 macrophage | CD163 | 0.148 | 6.07E-04 |
| VSIG4 | 0.275 | 1.09E-10 | |
| MS4A4A | 0.157 | 2.65E-04 | |
| Neutrophil | CEACAM8 | 0.027 | 5.30E-01 |
| ITGAM | 0.208 | 1.29E-06 | |
| CCR7 | 0.252 | 3.73E-09 | |
| Dendritic cell | HLA-DPB1 | 0.092 | 3.31E-02 |
| HLA-DQB1 | 0.032 | 4.60E-01 | |
| HLA-DRA | 0.012 | 7.79E-01 | |
| HLA-DPA1 | 0.028 | 5.23E-01 | |
| CD1C | 0.096 | 2.64E-02 | |
| NRP1 | 0.135 | 1.72E-03 | |
| ITGAX | 0.252 | 4.13E-09 |
Correlation of BMP1 expression with immune checkpoints in ccRCC
CTLA-4 and PD1/PD-L1 are important immune checkpoints that are related to the effect of tumor immunotherapy. Considering the potential oncogenic role of BMP1 in ccRCC, we evaluated the association of BMP1 with CTLA-4, PD1 or PD-L1. Based on TIMER, expression of BMP1 correlated significantly positively with CTLA-4 and PD1 in ccRCC, which was adjusted by purity. However, expression of BMP1 correlated significantly negatively with that of PD-L1 in ccRCC (Fig. 8A–C). Through the GEPIA database, we also found that BMP1 correlated significantly positively with CTLA-4 and PD1 in ccRCC but that BMP1 correlated significantly negatively with PD-L1 (Fig. 8D–F). These results suggest that BMP1 is related to the effect of immunotherapy on ccRCC.

Discussion
In this study, we identified BMP1 as being upregulated in GBM, HNSC, KIRC, KIRP, and STAD. Additionally, we found that BMP1 can serve as a biomarker for poor prognosis in patients with KIRC. We also established the LINC00685, SLC16A1-AS1, PVT1, VPS9D1-AS1, SNHG15, and CCDC18-AS1/hsa-miR-532-3p/BMP1 axis as the most potential upstream ncRNA-related pathway of BMP1 in ccRCC. Moreover, our findings revealed a significant positive correlation between BMP1 levels and tumor immune cell infiltration, biomarkers of immune cells, and immune checkpoint expression.
We first investigated expression of BMP1 across cancers using TCGA data, after which the GEPIA database was also used to confirm BMP1 expression. Survival analysis for BMP1 in cancer types of interest indicated that ccRCC patients with high expression of BMP1 had poor prognosis. The preliminary results of Xiao et al. [ref. 10] also demonstrated that overexpression of BMP1 is related to short survival time in ccRCC patients. The results of this report and our analysis demonstrate the carcinogenic role of BMP1 in ccRCC.
LncRNAs sponge miRNAs and regulate miRNA-targeted mRNAs at the posttranscriptional level in the cytoplasm [ref. 19, ref. 20]. To explore the ceRNA mechanism of BMP1, we used 7 prediction programs to find possible miRNAs that might bind to BMP1, and 4 miRNAs were finally obtained. Survival analysis showed that ccRCC patients with high expression of these 4 miRNAs had better prognosis. Research has shown that miRNAs interact with the 3’-UTR of target genes to decrease the protein level by impeding the translation process or enhancing degradation of respective mRNAs [ref. 21]. For instance, hsa-miR-532-3p acts as a tumor suppressor and inhibits cell proliferation in lung cancer, breast cancer, ovarian cancer and renal cell carcinoma by targeting ETS1 [ref. 22, ref. 23]. Hsa-miR-29c-3p modulates FOS expression to repress EMT and cell proliferation in age-related cataract tissues [ref. 24]. Combined with the results of survival analysis and differential expression of miRNAs in renal cancer and normal renal tissues, we selected hsa-miR-532-3p for further analysis.
Based on the ceRNA hypothesis [ref. 25], the potential lncRNAs that regulate hsa-miR-532-3p should be oncogenic in ccRCC. Next, upstream lncRNAs of the hsa-miR-532-3p/BMP1 axis were predicted, and 148 potential lncRNAs were identified. Combined with expression analysis, correlation analysis and survival analysis, six of the most likely upregulated lncRNAs, including LINC00685, SLC16A1-AS1, PVT1, VPS9D1-AS1, SNHG15 and CCDC18-AS1, were obtained. It has been reported that most of these six lncRNAs play a role as oncogenes in a variety of malignant tumors, including ccRCC. For example, SNHG15 stimulates renal cell carcinoma proliferation and EMT by regulating the NF-κB signaling pathway [ref. 26]. Downregulation of SLC16A1-AS1 inhibits the proliferation, viability and migration of ccRCC [ref. 27]. PVT1 is significantly upregulated in ccRCC tissues, and high expression of PVT1 is associated with poor prognosis in ccRCC patients [ref. 28, ref. 29]. In general, LINC00685, SLC16A1-AS1, PVT1, VPS9D1-AS1, SNHG15 and the CCDC18-AS1/hsa-miR-532-3p/BMP1 axis were deemed to be potential regulatory pathways in ccRCC.
In recent years, the tumor microenvironment (TME) has gained much attention and is considered to be a key factor affecting treatment resistance, tumor development and prognosis [ref. 30–ref. 32]. Our results demonstrate that BMP1 is significantly positively associated with various immune cells, including CD4+ T cells, B cells, CD8+ T cells, macrophages, neutrophils, and dendritic cells, in ccRCC. Furthermore, BMP1 is significantly positively associated with biomarkers of these infiltrated immune cells. These findings indicate that BMP1 might regulate development of ccRCC through tumor immune infiltration. In addition, the effectiveness of immunotherapy depends not only on adequate infiltration of immune cells into the tumor microenvironment but also on adequate expression of immune checkpoints [ref. 33]. Thus, we also investigated the relationship between BMP1 and immune checkpoints. Our results suggest that BMP1 correlates significantly positively with CTLA-4 and PD1 but significantly negatively with PD-L1 in ccRCC. These results indicate that targeting BMP1 might increase the efficacy of immunotherapy in ccRCC.
In general, we demonstrate that BMP1 is highly expressed in multiple types of human cancer (including ccRCC) and strongly correlates with unfavorable prognosis in ccRCC. We explored the upstream regulatory mechanism of BMP1 in ccRCC, namely, LINC00685, SLC16A1-AS1, PVT1, VPS9D1-AS1, SNHG15 and the CCDC18-AS1/hsa-miR-532-3p/BMP1 axis (Fig. 6). In addition, our results suggest that BMP1 might exert its oncogenic roles by increasing tumor immune cell infiltration and immune checkpoint expression.
Although our study has some advantages, it also has some limitations. First, the results were obtained from the TCGA database only, and verification in other databases is needed. Second, all the results were obtained by analyzing public datasets. In addition, further experiments should be performed in vivo and in vitro to verify these results.
References
- RL Siegel, KD Miller, A Jemal. Cancer statistics, 2020. CA Cancer J Clin, 2020. [DOI | PubMed]
- MM Wolf, W Kimryn Rathmell, KE Beckermann. Modeling clear cell renal cell carcinoma and therapeutic implications. Oncogene, 2020. [DOI | PubMed]
- U Capitanio, K Bensalah, A Bex, SA Boorjian, F Bray, J Coleman. Epidemiology of renal cell carcinoma. Eur Urol, 2019. [DOI | PubMed]
- TK Choueiri, T Powles, M Burotto, B Escudier, MT Bourlon, B Zurawski. Nivolumab plus cabozantinib versus sunitinib for advanced renal-cell carcinoma. N Engl J Med, 2021. [DOI | PubMed]
- T Powles, ER Plimack, D Soulières, T Waddell, V Stus, R Gafanov. Pembrolizumab plus axitinib versus sunitinib monotherapy as first-line treatment of advanced renal cell carcinoma (KEYNOTE-426): extended follow-up from a randomised, open-label, phase 3 trial. Lancet Oncol, 2020. [DOI | PubMed]
- RJ Motzer, BI Rini, DF McDermott, O Arén Frontera, HJ Hammers, MA Carducci. Nivolumab plus ipilimumab versus sunitinib in first-line treatment for advanced renal cell carcinoma: extended follow-up of efficacy and safety results from a randomised, controlled, phase 3 trial. Lancet Oncol, 2019. [DOI | PubMed]
- F Crocetto, M Ferro, C Buonerba, L Bardi, P Dolce, L Scafuri. Comparing cardiovascular adverse events in cancer patients: a meta-analysis of combination therapy with angiogenesis inhibitors and immune checkpoint inhibitors versus angiogenesis inhibitors alone. Crit Rev Oncol Hematol, 2023. [DOI | PubMed]
- M Janitz, V Heiser, U Böttcher, O Landt, R Lauster. Three alternatively spliced variants of the gene coding for the human bone morphogenetic protein-1. J Mol Med, 1998. [DOI | PubMed]
- A Singh, RJ Morris. The Yin and Yang of bone morphogenetic proteins in cancer. Cytokine Growth Factor Rev, 2010. [DOI | PubMed]
- W Xiao, X Wang, T Wang, J Xing. Overexpression of BMP1 reflects poor prognosis in clear cell renal cell carcinoma. Cancer Gene Ther, 2020. [DOI | PubMed]
- M Hyytiäinen, C Penttinen, J Keski-Oja. Latent TGF-beta binding proteins: extracellular matrix association and roles in TGF-beta activation. Crit Rev Clin Lab Sci, 2004. [DOI | PubMed]
- Y-Y Hsieh, S-Y Tung, H-Y Pan, C-W Yen, H-W Xu, Y-F Deng. Upregulation of bone morphogenetic protein 1 is associated with poor prognosis of late-stage gastric cancer patients. BMC Cancer, 2018. [DOI | PubMed]
- X Wu, T Liu, O Fang, LJ Leach, X Hu, Z Luo. miR-194 suppresses metastasis of non-small cell lung cancer through regulating expression of BMP1 and p27(kip1). Oncogene, 2014. [DOI | PubMed]
- R Garimella, P Tadikonda, O Tawfik, S Gunewardena, P Rowe, P Van Veldhuizen. Vitamin D impacts the expression of Runx2 target genes and modulates inflammation, oxidative stress and membrane vesicle biogenesis gene networks in 143B osteosarcoma cells. Int J Mol Sci, 2017. [DOI | PubMed]
- N Sharafeldin, ML Slattery, Q Liu, C Franco-Villalobos, BJ Caan, JD Potter. A candidate-pathway approach to identify gene-environment interactions: analyses of colon cancer risk and survival. J Natl Cancer Inst, 2015. [DOI]
- Z Tang, C Li, B Kang, G Gao, C Li, Z Zhang. GEPIA: a web server for cancer and normal gene expression profiling and interactive analyses. Nucleic Acids Res, 2017. [DOI | PubMed]
- J-H Li, S Liu, H Zhou, L-H Qu, J-H Yang. starBase v2.0: decoding miRNA-ceRNA, miRNA-ncRNA and protein-RNA interaction networks from large-scale CLIP-Seq data. Nucleic Acids Res, 2014. [DOI]
- T Li, J Fan, B Wang, N Traugh, Q Chen, JS Liu. TIMER: a web server for comprehensive analysis of tumor-infiltrating immune cells. Cancer Res, 2017. [DOI | PubMed]
- VA Moran, RJ Perera, AM Khalil. Emerging functional and mechanistic paradigms of mammalian long non-coding RNAs. Nucleic Acids Res, 2012. [DOI | PubMed]
- S Geisler, J Coller. RNA in unexpected places: long non-coding RNA functions in diverse cellular contexts. Nat Rev Mol Cell Biol, 2013. [DOI | PubMed]
- MR Fabian, N Sonenberg, W Filipowicz. Regulation of mRNA translation and stability by microRNAs. Annu Rev Biochem, 2010. [DOI | PubMed]
- J Dittmer. The biology of the Ets1 proto-oncogene. Mol Cancer, 2003. [DOI | PubMed]
- W Zhai, J Ma, R Zhu, C Xu, J Zhang, Y Chen. MiR-532-5p suppresses renal cancer cell proliferation by disrupting the ETS1-mediated positive feedback loop with the KRAS-NAP1L1/P-ERK axis. Br J Cancer, 2018. [DOI | PubMed]
- L Yao, L Yang, H Song, T Liu, H Yan. MicroRNA miR-29c-3p modulates FOS expression to repress EMT and cell proliferation while induces apoptosis in TGF-β2-treated lens epithelial cells regulated by lncRNA KCNQ1OT1. Biomed Pharmacother, 2020. [DOI | PubMed]
- L Salmena, L Poliseno, Y Tay, L Kats, PP Pandolfi. A ceRNA hypothesis: the rosetta stone of a hidden RNA language?. Cell, 2011. [DOI | PubMed]
- Y Du, C Kong, Y Zhu, M Yu, Z Li, J Bi. Knockdown of SNHG15 suppresses renal cell carcinoma proliferation and EMT by regulating the NF-κB signaling pathway. Int J Oncol, 2018. [PubMed]
- YZ Li, HC Zhu, Y Du, HC Zhao, L Wang. Silencing lncRNA SLC16A1-AS1 induced ferroptosis in renal cell carcinoma through miR-143-3p/SLC7A11 signaling. Technol Cancer Res Treat, 2022. [DOI | PubMed]
- J Bohosova, A Kubickova, O Slaby. lncRNA PVT1 in the pathogenesis and clinical management of renal cell carcinoma. Biomolecules, 2021. [DOI | PubMed]
- M-X Zhang, L-Z Zhang, L-M Fu, H-H Yao, L Tan, Z-H Feng. Positive feedback regulation of lncRNA PVT1 and HIF2α contributes to clear cell renal cell carcinoma tumorigenesis and metastasis. Oncogene, 2021. [DOI | PubMed]
- F Chen, X Zhuang, L Lin, P Yu, Y Wang, Y Shi. New horizons in tumor microenvironment biology: challenges and opportunities. BMC Med, 2015. [DOI | PubMed]
- T Wu, Y Dai. Tumor microenvironment and therapeutic response. Cancer Lett, 2017. [DOI | PubMed]
- Y Liu, J Guo, L Huang. Modulation of tumor microenvironment for immunotherapy: focus on nanomaterial-based strategies. Theranostics, 2020. [DOI | PubMed]
- YK Chae, A Arya, W Iams, MR Cruz, S Chandra, J Choi. Current landscape and future of dual anti-CTLA4 and PD-1/PD-L1 blockade immunotherapy in cancer; lessons learned from clinical trials with melanoma and non-small cell lung cancer (NSCLC). J Immunother Cancer, 2018. [DOI | PubMed]
