Comprehensive analysis of TLX2 in pan cancer as a prognostic and immunologic biomarker and validation in ovarian cancer
Abstract
T cell leukemia homeobox 2 (TLX2) plays an important role in some tumors. Bioinformatics and experimental validation represent a useful way to explore the mechanisms and functions of TLX2 gene in the cancer disease process from a pan cancer perspective. TLX2 was aberrantly expressed in pan cancer and cell lines and correlated with clinical stage. High TLX2 expression was significantly associated with poor overall survival in COAD, KIRC, OC, and UCS. The greatest frequency of TLX2 alterations in pan cancer was amplification. Alterations of NXF2B, MSLNL, PCGF1, INO80B-WBP1, LBX2-AS1, MRPL53, LBX2, TTC31, WDR54, and WBP1 co-occurred in the TLX2 alteration group. PFS was significantly shorter in the TLX2-altered group (n = 6) compared to the TLX2-unaltered group (n = 400). Methylation levels of TLX2 were high in 17 tumors. TLX2 expression was associated with MSI in seven tumors and TMB in five tumors. TLX2 expression was associated with immune infiltration and immune checkpoint genes. TLX2 may be associated with some pathways and chemoresistance. We constructed a possible competing endogenous RNA (ceRNA) network of LINC01010/miR-146a-5p/TLX2 in OC. TLX2 expression was significantly upregulated in ovarian cancer cell lines compared to ovarian epithelial cell lines. Aberrant expression of TLX2 in pan cancer may promote tumorigenesis and progression through different mechanisms. TLX2 may represent an important therapeutic target for human cancers.
Article type: Research Article
Keywords: Biomarkers, Oncology
Affiliations: grid.417303.20000 0000 9927 0537Xuzhou Medical University, Xuzhou, 221004 Jiangsu China; grid.417303.20000 0000 9927 0537Cancer Institute, Xuzhou Medical University, No. 209 Tongshan Road, Yunlong District, Xuzhou, 221004 Jiangsu China; https://ror.org/02kstas42grid.452244.1Department of Gynecology, The Affiliated Hospital of Xuzhou Medical University, No. 99 West Huaihai Road, Quanshan District, Xuzhou, 221002 Jiangsu China; https://ror.org/02kstas42grid.452244.1Center of Clinical Oncology, The Affiliated Hospital of Xuzhou Medical University, No. 99 West Huaihai Road, Quanshan District, Xuzhou, 221002 Jiangsu China; grid.417303.20000 0000 9927 0537Jiangsu Center for the Collaboration and Innovation of Cancer Biotherapy, Xuzhou Medical University, Xuzhou, 221004 Jiangsu China
License: © The Author(s) 2023, corrected publication 2023 CC BY 4.0 Open Access This article is licensed under a Creative Commons Attribution 4.0 International License, which permits use, sharing, adaptation, distribution and reproduction in any medium or format, as long as you give appropriate credit to the original author(s) and the source, provide a link to the Creative Commons licence, and indicate if changes were made. The images or other third party material in this article are included in the article’s Creative Commons licence, unless indicated otherwise in a credit line to the material. If material is not included in the article’s Creative Commons licence and your intended use is not permitted by statutory regulation or exceeds the permitted use, you will need to obtain permission directly from the copyright holder. To view a copy of this licence, visit http://creativecommons.org/licenses/by/4.0/.
Article links: DOI: 10.1038/s41598-023-42171-5 | PubMed: 37758722 | PMC: PMC10533500
Relevance: Moderate: mentioned 3+ times in text
Full text: PDF (5.8 MB)
Introduction
Globally, cancer is one of the most common causes of death, with cancer set to kill nearly 10 million people by 20201,2. Given the morbidity and mortality of cancer, there is a need to find new biomarkers to diagnose and predict the prognosis of various tumors and provide new strategies for the treatment of tumors.
T-cell leukemia homologous frame 2 (TLX2) was found to be a member of the HOX11 homologous frame gene family3, also known as NCX4, HOX11L15, and ENX6. It encodes a protein consisting of 285 amino acids. Allelic deletion at the TLX2 locus predicts the outcome of gastrointestinal mesenchymal tumors7. TLX2 may mediate the tumorigenesis of canine malignant melanoma8. TLX2 is an mRNA stemness index (mRNAsi)-related differentially expressed gene in lung squamous carcinoma (LUSC)9. A novel 6-gene (FGF23, TLX2, TIFAB, RNF223, HIST1H3A, and AADACL4) signature improves prognostic prediction in patients with endometrial cancer10. However, the role of TLX2 in pan cancer remains unknown.
In recent years, the use of immunotherapy as a modern cancer treatment has been expanding in clinical applications11. Anticancer immunotherapy has encountered its own opportunities, with several reports identifying biomarkers for immune checkpoint inhibitors (ICIs), such as immune checkpoint gene expression and tumor mutation burden (TMB)12. Immunotherapy has rapidly become a cornerstone of many cancer therapies, but the response to immunotherapy has not been very promising, with only some patients showing a durable response to immunotherapy13. Therefore, there is a need to better understand the mechanisms of immunotherapy against cancer.
Pan cancer analysis is useful to help us initially explore the function of genes. This study reveals the potential mechanism of TLX2 in pan cancer based on data obtained from various datasets. In this study, we performed TLX2 analysis in pan cancer to investigate the association between TLX2 expression and prognosis, TLX2 expression and staging, the relationship between microsatellite instability (MSI) and tumor mutational load (TMB), genetic variation analysis of TLX2, the relationship between TLX2 expression and immune infiltration, the relationship between TLX2 expression and immune checkpoint genes (ICG), possible regulatory networks of TLX2, TLX2-mediated drug sensitization, TLX2 expression pattern in single cells and its relationship with functional status of the cancer.
Materials and methods
Expression of TLX2 in pan cancer and cell lines
R programming language (Version 3.6.3) was used for statistical analysis and visualization. The package ggplot2 [version 3.3.3] was used for visualization. The molecule was TLX2 [ENSG00000115297]. We processed UCSC XENA (https://xenabrowser.net/datapages/, accessed on 10 June 2022) into RNAseq data in TPM format for TCGA (https://portal.gdc.cancer.gov, accessed on 10 June 2022) and GTEx by Toil process14–18. We log-transformed the RNAseq data for comparative analysis. Data were not filtered for subgroups. Subgroups included ACC (adrenocortical carcinoma), BLCA (bladder urothelial carcinoma), BRCA (breast invasive carcinoma), CESC (cervical squamous cell carcinoma and endocervical adenocarcinoma), CHOL (cholangiocarcinoma), COAD (colon adenocarcinoma), DLBC (lymphoid neoplasm diffuse large B-cell lymphoma), ESCA (esophageal carcinoma), GBM (glioblastoma multiforme), HNSC (head and neck squamous cell carcinoma), KICH (kidney chromophobe), KIRC (kidney renal clear cell carcinoma), KIRP (kidney renal papillary cell carcinoma), LAML (acute myeloid leukemia), LGG (brain lower grade glioma), LIHC (liver hepatocellular carcinoma), LUAD (lung adenocarcinoma), LUSC (lung squamous cell carcinoma), MESO (mesothelioma), OC (ovarian serous cystadenocarcinoma), PAAD (pancreatic adenocarcinoma), PCPG (pheochromocytoma and paraganglioma), PRAD (prostate adenocarcinoma), READ (rectum adenocarcinoma), SARC (sarcoma), SKCM (skin cutaneous melanoma), STAD (stomach adenocarcinoma), TGCT (testicular germ cell tumors), THCA (thyroid carcinoma), THYM (thymoma), UCEC (uterine corpus endometrial carcinoma), UCS (uterine carcinosarcoma), and UVM (uveal melanoma)18,19. The statistical method was Wilcoxon rank sum test.
We analyzed TLX2 expression in human cancer cell lines (n = 641) using the Cancer Cell Line Encyclopedia (CCLE) database (https://www.broadinstitute.org/ccle, accessed on 17 August 2023)20,21.
Correlation analysis of TLX2 and prognosis in pan cancer
We used univariate Cox regression and the package forestplot for the analyses. We analyzed overall survival (OS), progression-free survival (PFS), and disease-specific survival (DSS). The statistical method was Wilcox test.
Diagnostic value of TLX2 in pan cancer
We used the package pROC [1.18.0] to perform ROC analysis on the data and the results were visualized using package ggplot2 [3.3.6]. The data processing method is log2 (value + 1).
If a specific tumor contains normal samples in TCGA, the data from TCGA were used. If the specific tumor has no normal samples in TCGA, data from TCGA + GTEx were used.
Correlation between TLX2 expression and stage, TMB, and MSI in pan cancer
We used the GEPIA 2 website (http://gepia2.cancer-pku.cn/#index, accessed on 10 June 2022) to analyze the expression of TLX2 at different clinical stages in pan cancer18. We used the “Expression DIY” module to analyze the expression of a gene in different cancer stages using the box plot.
We obtained RNAseq data (level3) and corresponding clinical information from the TCGA database for 33 tumors. We obtained TMB and MSI from the literature22,23. The statistical method was Wilcox test.
Genomic alterations of TLX2 in pan cancer
The cBioPortal database (http://www.cbioportal.org/, accessed on 10 June 2022) was used to analyze the genetic alterations of TLX2 in the TCGA pan cancer dataset24. We analyzed TLX2 genetic alterations and mutant sites based on the “Oncoprint”, “Cancer Type Summary”, and “Mutation” modules18. The statistical method was Logrank test.
We analyzed the methylation level of TLX2 in pan cancer using MethHC 2.0 (http://awi.cuhk.edu.cn/∼MethHC, accessed on 17 August 2023)25,26. We used the “GENE METHYLATION” module for the analysis.
Correlation of TLX2 expression with immune infiltration and immune checkpoint genes
We explored the association between TLX2 expression and cancer-associated fibroblast (CAF) infiltration using the “immune” module of TIMER2 (http://timer.cistrome.org/, accessed on 10 June 2022). Algorithms included Extended Multidimensional Immunome Characterization (EPIC), Microenvironmental Cell Population-Counter (MCP-counter), Cell Type Enrichment Analysis (XCELL) and Tumor Immune Dysfunction and Exclusion (TIDE) algorithms18. The data were analyzed using Spearman’s correlation analysis.
The immune checkpoint genes including SIGLEC15, IDO1, CD274, HAVCR2, PDCD1, CTLA4, LAG3, and PDCD1LG2 were obtained from the literature18. We extracted the expression values of these eight genes. The statistical method was Wilcox test.
TLX2-related functional enrichment analysis
We analyzed proteins for TLX2 interactions using the STRING website (version 11.5, https://string-db.org/, accessed on 10 June 2022). The confidence score was 0.427. We used “Similar Genes Detection” module of GEPIA2 to analyze the top 100 genes with similar expression patterns to TLX2 in pan cancer. We searched for genes with similar expression patterns to TLX2 genes in pan cancer.
We performed GO enrichment analysis and KEGG pathway analysis of TLX2 and interacting proteins using the DAVID website (https://david.ncifcrf.gov/, accessed on 10 June 2022)27.
Drug sensitivity of TLX2 in pan cancer
We used the RNAactDrug database (http://bio-bigdata.hrbmu.edu.cn/RNAactDrug/index.jsp, accessed on 10 June 2022) to analyze the drug sensitivity of TLX2 in pan cancer18. We selected the top 5 significantly positively correlated drugs and the top 5 significantly negatively correlated drugs based on Spearman’s correlation coefficient18.
Single cell sequencing data analysis
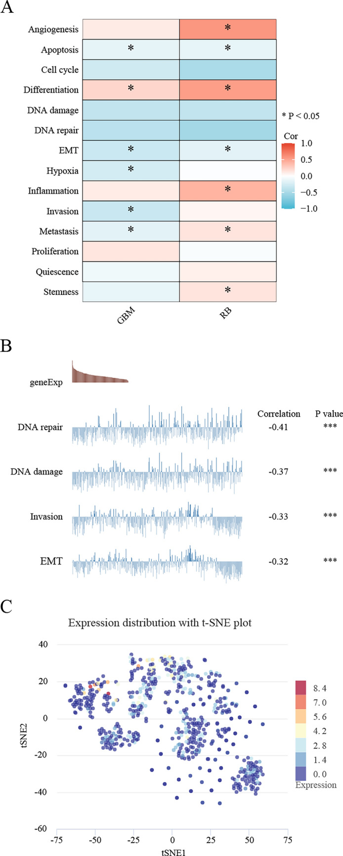
We used the CancerSEA database (http://biocc.hrbmu.edu.cn/CancerSEA/home.jsp, accessed on 10 June 2022) on the server to explore the correlation between TLX2 expression and different tumor functional states. It had only data for GBM and RB. The plot showing the correlation between TLX2 expression and different functional status in GBM was obtained from the CancerSEA database. We obtained t-SNE plots of individual cells from the CancerSEA database.
CeRNA network construction
We focused on the mining of molecular markers in OC. To explore the possible competing endogenous RNA (ceRNA) network of TLX2 in OC, we used TarBase V.8 (https://carolina.imis.athena-innovation.gr/diana_tools/web/index.php?r=tarbasev8%2Findex, accessed on 10 June 2022) to predict the binding of TLX2-binding miRNAs17,28. We screened miRNAs based on their expression in OC and correlation with OC prognosis. Next, we used LncBase Predicted v.2 (https://carolina.imis.athena-innovation.gr/diana_tools/web/index.php?r=lncbasev2/index-predicted, accessed on 10 June 2022) to predict the lncRNAs that interact with miRNAs bound to lncRNAs. We screened lncRNAs based on their expression in OC and correlation with OC prognosis.
We used GSE103708 to analyze the expression of miR-146a-5p in normal ovarian and OC tissues24,29. The molecules were LINC01010 [ENSG00000236700.6] and TLX2. The statistical method was the t-test.
We used R programming language (version 3.6.3), package survminer [version 0.4.9], and package survival [version 3.2-10] for statistical analysis and visualization15. Molecules were hsa-miR-146a-5p [MIMAT0000449], LINC01010, and TLX2. Subgroups were 0–50 vs 50–100 (median threshold of expression)30. The prognostic type was OS. We used miRNAseq data from the TCGA-OC project for level 3 BCGSC miRNA profiles and RNAseq data from the TCGA-OC project for level 3 HTSeq-FPKM format17,27. Prognostic data were obtained from the literature31. The statistical method was the Welch t test.
QRT-PCR
The human ovarian surface epithelial cell line OSE29, OC cell lines SKOV3 and A2780 were preserved in our laboratory. qRT-PCR was used to detect the expression levels of TLX2 in OSE29, SKOV3, and A2780 cell lines. The primer sequences used are as follows. GAPDH, Forward: CGACAGTCAGCCGCATCTTC, Reverse: CGTTCTCAGCCTTGACGGTG; TLX2, Forward: 5′-GGTTCTCCTCGGCCCAGA-3′, Reverse: 5′-GCCGATCGGACGGGCGT-3′18,32. The statistical method was the t-test.
Statistical analysis
We performed statistical analysis using R programming language (version 3.6.3). P-values below 0.05 were considered statistically significant.
Results
Abnormal expression of TLX2 in pan cancer and cell lines
As shown in Fig. 1, TLX2 expression was significantly upregulated in BLCA, BRCA, CESC, CHOL, DLBC, ESCA, HNSC, KIRC, LAML, LIHC, LUAD, LUSC, OC, PCPG, PRAD, STAD, UCEC, and UCS, and significantly downregulated in ACC, COAD, GBM, LGG, READ, and TGCT compared with normal tissues. Abnormal TLX2 expression in pan cancer may be associated with the development and progression of these tumors. As shown in Fig. S1, analysis of the CCLE dataset also showed differential expression of some cell lines.

TLX2 expression correlates with prognosis in pan cancer
As shown in Fig. 2A, TLX2 high expression showed poor OS of COAD (HR 1.62; 95% CI 1.09–2.41; P = 0.0172), KIRC (HR 1.45; 95% CI 1.07–1.95; P = 0.016), OC (HR 1.34; 95% CI 1.03–1.73; P = 0.029), and UCS (HR 2.40; 95% CI 1.21–4.76; P = 0.012). Low expression of TLX2 was significantly associated with a better OS in SKCM (HR 0.71; 95% CI 0.54–0.94; P = 0.015). As shown in Fig. 2B, TLX2 high expression showed poor PFS of ACC (HR 3.10; 95% CI 1.67–5.77; P = 0.0004), COAD (HR 1.47; 95% CI 1.03–2.11; P = 0.035), READ (HR 2.09; 95% CI 1.07–4.08; P = 0.03), and UCS (HR 3.01; 95% CI 1.54–5.92; P = 0.001). Low expression of TLX2 was significantly associated with a better PFS in SARC (HR 0.67; 95% CI 0.48–0.93; P = 0.018). As shown in Fig. 2C, TLX2 high expression showed poor DSS of KIRC (HR 1.72; 95% CI 1.17–2.53; P = 0.006) and UCS (HR 2.71; 95% CI 1.29–5.69; P = 0.0084). Low expression of TLX2 was significantly associated with a better DSS in LUSC (HR 0.64; 95% CI 0.42–0.98; P = 0.042) and SKCM (HR 0.70; 95% CI 0.52–0.94; P = 0.017).

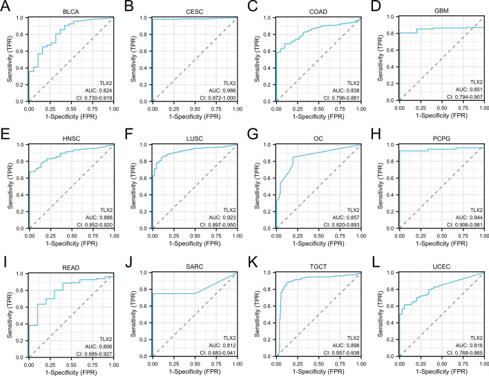
The diagnostic value of TLX2 in tumors
ROC curves were depicted to explore the diagnostic value of TLX2 in 33 tumors. The ROC curves showed that the TLX2 gene was found in BLCA (AUC = 0.824), CESC (AUC = 0.986), COAD (AUC = 0.838), GBM (AUC = 0.851), HNSC (AUC = 0.886), LUSC (AUC = 0.923), OC (AUC = 0.857), PCPG (AUC = 0.944), OC (AUC = 0.972), READ (AUC = 0.806), SARC (AUC = 0.812), TCGT (AUC = 0.898), and UCEC (AUC = 0.816) (Fig. 3).

TLX2 expression between different clinical characteristics
As shown in Fig. 4, high TLX2 expression correlated with the stage of LIHC, PAAD, READ, and THCA, and not with the stage of the other 29 tumors. As shown in Fig. 5, TLX2 expression was positively correlated with MSI status of LUSC (P < 0.0001) and STAD (P = 0.0073), while negatively correlated with MSI status of ACC (P = 0.0431), DLBC (P = 0.0035), and PCPG (P = 0.0073). As shown in Fig. 6, TLX2 expression was positively correlated with the TMB status of COAD (P = 0.0040), HNSC (P = 0.0004), LGG (P = 0.0464), LUAD (P = 0.0042), LUSC (P = 0.0444), and UCS (P = 0.0015), and negatively correlated with the TMB status of THYM (P < 0.0001).



Genetic alterations and methylation levels of TLX2 in different tumors
As shown in Fig. 7A, there were variants of TLX2 in pan cancer, including lung cancer (amplification 7.89%), acute myeloid leukemia (amplification 6.25%), uterine endometrioid carcinoma (amplification 4.17%), mature B-cell lymphoma (amplification 1.94%), bone cancer (amplification 1.79%), breast cancer (amplification 0.98%; mutation 0.32%), mature B-Cell neoplasms (amplification 1.08%), ovarian cancer (amplification 1.06%), head and neck cancer (amplification 1.05%), esophagogastric cancer (amplification 1.05%), renal cell carcinoma (amplification 0.93%), melanoma (amplification 0.33%; mutation 0.5%), non-small cell lung cancer (amplification 0.68%; mutation 0.07%), bladder cancer (amplification 0.6%), endometrial cancer (amplification 0.58%), hepatobiliary cancer, prostate cancer (amplification 0.34%), pancreatic cancer (amplification 0.23%; mutation 0.08%), colorectal cancer (mutation 0.17%), and soft tissue sarcoma (amplification 0.11%). As illustrated in Fig. 7B, the variation frequency of TLX2 was 0.3%, and the variation types included amplification, missense mutation, and truncation mutation. As shown in Fig. 7C, the TLX2 variant sites included 9 missense mutations (G43D, G141V, R143C, A185V, E221K, A238T, R244W, S276L, E270K) and 2 truncating mutations (A98Gfs*269 gain; A98Gfs*269 shallow Del). As illustrated in Fig. 7D, the copy number alterations of TLX2 include amplification, gain, diploid, and shallow deletion. Gene alterations in NXF2B, MSLNL, PCGF1, INO80B-WBP1, LBX2-AS1, MRPL53, LBX2, TTC31, WDR54, and WBP1 were more common in the altered group than in the unaltered group (Fig. 7E). As illustrated in Fig. 7F, PFS was significantly lower in the TLX2 altered group (n = 6) than in the TLX2 unaltered group (n = 400) in OC patients (P = 3.41e−11). As shown in Table S1, methylation levels of TLX2 were high in 17 tumors, including BLCA, BRCA, CESC, CHOL, COAD, ESCA, HNSC, KIRC, KIRP, LIHC, LUAD, LUSC, PAAD, PRAD, READ, THCA, and UCEC.

Expression of TLX2 in pan cancer was associated with immune infiltration and immune checkpoint genes
As shown in Fig. 8A, the expression of TLX2 in some tumors (COAD, KICH, SKCM, and UCS) was positively correlated with CAF, while the expression of TLX2 in some tumors (BRCA, DLBC, LGG, PCPG, SARC, TGCT, and THYM) was negatively correlated with CAF. The TIDE algorithm showed that TLX2 expression in BRCA (Fig. 8B), HNSC (Fig. 8C), PCPG (Fig. 8D), TGCT (Fig. 8F), and THYM (Fig. 8G) was significantly negatively correlated with CAF, while TLX2 expression in SKCM (Fig. 8E) was significantly positively correlated with CAF.

As shown in Fig. 9, TLX2 was positively or negatively correlated with the expression of immune checkpoint genes in 6 tumor types (BLCA, BRCA, GBM, HNSC, STAD, and THYM); TLX2 expression was negatively correlated with the expression of immune checkpoint genes in 9 tumor types (CESC, ESCA, KIRP, LGG, LUAD, LUSC, PCPG, THCA, and UCEC); TLX2 expression was positively correlated with the expression of immune checkpoint genes in 12 tumors, including (COAD, DLBC, KICH, KIRC, LAML, LIHC, OC, PAAD, READ, SKCM, TGCT, and UVM). These results suggested that TLX2 may affect the immune response of tumors by regulating these immune checkpoint genes.

TLX2 related pathways in pan cancer
We used GEPIA2 to obtain the top 100 genes similar to TLX2 and the STRING tool to obtain 55 genes that interacted with TLX2. We performed enrichment analysis on these 155 genes. The results showed 5 significantly related biology processes, including SRP-dependent cotranslational protein targeting to membrane, protein targeting to ER, cotranslational protein targeting to membrane, establishment of protein localization to endoplasmic reticulum, and nuclear-transcribed mRNA catabolic process, nonsense-mediated decay (Fig. 10A). The results showed five significantly related cell components, including cytosolic ribosome, ribosomal subunit, cytosolic part, ribosome, and cytosolic large ribosomal subunit (Fig. 10A). The results showed five significantly related molecular functions, including structural constituent of ribosome, rRNA binding, activating transcription factor binding, histone deacetylase activity, and sodium: chloride symporter activity (Fig. 10A). As illustrated in Fig. 10B, five pathways, including ribosomes, amphetamine addiction, cocaine addiction, alcoholism, and dopaminergic synapses, may be the main pathways through which TLX2 mediates tumorigenesis and progression.

Drug sensitivity analysis of TLX2
As shown in Table 1, TLX2 expression positively correlated with the drug sensitivity of rutacridone epoxide, vicenistatin, n8-actinomycin d, calcein am, and thymophthalein, and negatively correlated with the drug sensitivity of Y-39983, CX-5461, VNLG/124, Navitoclax, and indole-2,3-dione, 3-[(o-nitrophenyl) hydrazone]. These suggested that TLX2 may be associated with resistance to certain chemotherapeutic agents.
Table 1: Drug sensitivity analysis of TLX2.
| Compound | Source | Spearman rho | Spearman.fdr | P value |
|---|---|---|---|---|
| Rutacridone epoxide | CellMiner | 0.472 | 0.021 | 0.00014 |
| Vicenistatin | CellMiner | 0.420 | 0.022 | 0.00085 |
| n8-Actinomycin d | CellMiner | 0.400 | 0.040 | 0.0015 |
| Calcein am | CellMiner | 0.394 | 0.027 | 0.0018 |
| Thymophthalein | CellMiner | 0.377 | 0.028 | 0.003 |
| Y-39983 | GDSC | − 0.162 | < 0.001 | < 0.001 |
| CX-5461 | GDSC | − 0.164 | < 0.001 | < 0.001 |
| VNLG/124 | GDSC | − 0.167 | < 0.001 | < 0.001 |
| Navitoclax | GDSC | − 0.178 | < 0.001 | < 0.001 |
| Indole-2,3-dione, 3-[(o-nitrophenyl)hydrazone] | CellMiner | − 0.407 | 0.029 | 0.0013 |
Expression of TLX2 in single cells correlated with cancer function
As shown in Fig. 11A, TLX2 expression in GBM was positively correlated with differentiation and negatively correlated with apoptosis, cell cycle, DNA damage, DNA repair, EMT, hypoxia, invasion, and metastasis. TLX2 expression in RB was positively correlated with angiogenesis, differentiation, inflammation, metastasis, and stemness and negatively correlated with apoptosis, cell cycle, DNA damage, DNA repair, and EMT. As shown in Fig. 11B, the results showed the relationship between TLX2 expression and DNA repair, TLX2 expression and DNA damage, TLX2 expression and invasion, and TLX2 expression and EMT in GBM. T-SNE plots showed the expression profile of TLX2 in GBM single cells (Fig. 11C). These results suggest that TLX2 may play a role in the development of cancer progression.

CeRNA network of TLX2
We next examined the possible regulatory network of TLX2 in OC. The expression of LINC01010 was significantly upregulated in OC compared to normal tissues (Fig. 12A). The expression of miR-146a-5p was downregulated in OC compared with normal tissues (Fig. 12B). The expression of TLX2 was significantly upregulated in OC compared to normal tissues (Fig. 12C). High expression of LINC01010 in OC suggested a poorer prognosis (Fig. 12D). Low expression of miR-146a-5p in OC suggested a poorer prognosis (Fig. 12E). High expression of TLX2 in OC suggested a poorer prognosis (Fig. 12F).

Validation of TLX2 expression in cell lines
As shown in Fig. 13, TLX2 expression was significantly upregulated in SKOV3 compared to OSE29 (0.803 ± 0.298 vs. 0.246 ± 0.055, P = 0.0311), and TLX2 expression was significantly upregulated in A2780 compared to OSE29 (0.824 ± 0.204 vs. 0.246 ± 0.055, P = 0.0268). These results suggest that TLX2 expression is significantly upregulated in OC cell lines.

Discussion
Pan cancer analysis provides insight into the molecular expression and genomic alterations of various cancers and helps to provide effective biomarkers for cancer diagnosis and treatment. TCGA includes data from 33 tumors and facilitates the discovery of differential expression of molecules and genomic alterations at the pan cancer level using multi-omics data analysis33,34.
Endogenous TLX2 gene expression occurs in many non-neuroblastoma tissues, including the heart, bladder, brain, adrenal glands, and intestine32. However, there is a paucity of research on TLX2 in other cancer types. Therefore, in this study, we explored the possible role of TLX2 in pan cancer. In the present study, we found that TLX2 was aberrantly expressed in pan cancer. TLX2 was significantly upregulated in OC cell lines.
Aberrant abnormalities of TLX2 correlated with prognosis in LUSC9. Aberrant expression of TLX2 was associated with prognosis in uterine sarcoma10. In this study, we investigated the correlation between TLX2 expression and prognosis of pan cancer. Aberrant expression of TLX2 was significantly associated with OS, PFS, and DSS in some tumors, including ACC, COAD, KIRC, LUSC, OC, READ, SARC, SKCM, and UCS. These suggested that TLX2 may be a promising prognostic marker in pan cancer.
However, there are no relevant studies on TLX2 gene alterations in human cancers. Thus, it was decided to use the cBioPortal database to discover that amplification is the greatest frequency of TLX2 alterations in pan cancer. In pan cancer, NXF2B, MSLNL, PCGF1, INO80B-WBP1, LBX2-AS1, MRPL53, LBX2, TTC31, WDR54 and WBP1 were co-altered in the TLX2-altered group. PFS in the TLX2 altered group suggested a worse prognosis in OC.
In the realm of scientific research, it has conventionally been established that intensive promoter DNA methylation is closely linked to the repression of transcription35. Notably, distinct modifications in the DNA methylome have been observed in the oncogenesis of various types of cancer36,37. In this study, we found that TLX2 presented high methylation levels and expression levels in 12 tumors (BLCA, BRCA, CESC, CHOL, ESCA, HNSC, KIRC, KIRP, LIHC, LUAD, LUSC, PAAD, PRAD, THCA, and UCEC) and high methylation levels and low expression levels in 2 tumors (COAD and READ). The TERT promoter undergoes DNA hypermethylation, resulting in an upregulation of TERT expression in cancer38. AML exhibits elevated levels of methylation and expression of the AWT1 gene39. The FOXA2 gene demonstrates heightened methylation and expression during the development of endoderm40. DNA hypermethylation amplifies the expression of telomerase reverse transcriptase in human induced pluripotent stem cells41. Our discoveries unveil a previously unknown role of DNA methylation in regulating TLX2 gene expression.
In this study, we found that TLX2 expression correlated with stage, MSI, and TMB. High expression of TLX2 in four tumors was significantly associated with tumor stage. Expression of TLX2 was significantly associated with MSI in seven cancer types and TMB in five cancer types. Expression of TLX2 may affect the response of cancer patients to immune checkpoint therapy, which will help us to further explore the mechanisms of TLX2-based immunotherapy in pan cancer.
CAF, as a major component of Tumor microenvironment (TME), plays an important role in tumorigenesis42. To date, the role of TLX2 in the human immune system is unclear. In this study, we investigated whether TLX2 in pan cancer was associated with immune infiltration and immune checkpoint genes. Our work elucidated the potential role of TLX2 in tumor immunity.
TLX2 is an orphan homeodomain transcription factor whose expression is a transcriptional target of PHOX2B in neural crest-derived cells32. TLX2 is a gene involved in pain transmission43. TLX2 homology domain can bind to 14-3-3eta signaling proteins44. In this study, we found that TLX2 was associated with ribosomes, amphetamine addiction, cocaine addiction, alcoholism, and dopaminergic synapses in pan cancer. Ribosome biogenesis plays a crucial role in the process of cancer metastasis and resistance to treatment45. The administration of amphetamine may lead to modifications in immune function and cytokine expression, which are linked to the development of lymphoma46. The genotoxicity, oxidative stress, and inflammatory responses induced by crack cocaine are associated with the process of carcinogenesis47. Consumption of alcohol poses a risk factor for various major cancers48. Par-4, which was identified through a screening process for genes with heightened expression in prostate tumor cells undergoing apoptosis, mediates dopaminergic synaptic plasticity49. TLX2 may mediate tumorigenesis and progression through these pathways.
Undoubtedly, there are no studies correlating TLX2 with drug sensitivity or resistance. We used the RNAactDrug database to analyze and found that TLX2 expression correlated with many drug sensitivities, including Y-39983, CX-5461, VNLG/124, Navitoclax, and indole-2,3-dione, 3-[(o-nitrophenyl) hydrazone]. TLX2 may be associated with drug resistance.
In the present study, CancerSEA had only data for GBM and RB. We found that TLX2 expression in GBM was significantly and positively correlated with differentiation and negatively correlated with apoptosis, cell cycle, DNA damage, DNA repair, EMT, hypoxia, invasion, and metastasis. However, the expression of TLX2 in OC single-cell sequencing is unclear and deserves further in-depth study.
However, there were some limitations of this study. First, this study explored the clinical significance and genomic variation of TLX2 aberrant expression in pan cancer based on public databases, and these may require real-world samples for validation in the future. Second, we explored the possible regulatory network and drug sensitivity of TLX2 in pan cancer, and the specific mechanisms of TLX2 in pan cancer development and progression need to be further investigated. Finally, we constructed a ceRNA network of LINC01010/miR-146a-5p/TLX2 in OC, and the results of these bioinformatics analyses need some experiments for validation.
Conclusion
TLX2 can be a candidate diagnostic and prognostic factor in a variety of cancers. TLX2 expression was associated with MSI, TMB, CAF infiltration, immune checkpoint genes, and drug sensitivity. The methylation levels of TLX2 exhibited high values in 17 tumors. The possible ceRNA network of LINC01010/miR-146a-5p/TLX2 was constructed in OC. This study explored the role of TLX2 in pan cancer and laid the foundation for the use of TLX2 as a new diagnostic and prognostic molecular marker and therapeutic strategy.
Supplementary Materials
References
- H Sung. Global Cancer Statistics 2020: GLOBOCAN estimates of incidence and mortality worldwide for 36 cancers in 185 countries. CA Cancer J. Clin., 2021. [DOI | PubMed]
- H Gao. Pan-cancer analysis of oncogenic role of programmed cell death 2 like (PDCD2L) and validation in colorectal cancer. Cancer Cell Int., 2022. [DOI | PubMed]
- A Tivnan, RL Stallings. Neuroblastoma-specific expression of potential therapeutics cannot be achieved using a promoter region of the NCX (TLX2) gene. Cancer Gene Ther., 2010. [DOI | PubMed]
- M Hatano. Ncx, a Hox11 related gene, is expressed in a variety of tissues derived from neural crest cells. Anat. Embryol., 1997. [DOI]
- S Shirasawa. Enx (Hox11L1)-deficient mice develop myenteric neuronal hyperplasia and megacolon. Nat. Med., 1997. [DOI | PubMed]
- CW Roberts, AM Sonder, A Lumsden, SJ Korsmeyer. Development expression of Hox11 and specification of splenic cell fate. Am. J. Pathol., 1995. [PubMed]
- JT Kaifi. Allelic loss of Hox11L1 gene locus predicts outcome of gastrointestinal stromal tumors. Oncol. Rep., 2006. [PubMed]
- T Ishizaki, J Yamazaki, J Jelinek, K Aoshima, T Kimura. Genome-wide DNA methylation analysis identifies promoter hypermethylation in canine malignant melanoma. Res. Vet. Sci., 2020. [DOI | PubMed]
- W Jiang, N Xie, C Xu. Characterization of a prognostic model for lung squamous cell carcinoma based on eight stemness index-related genes. BMC Pulm. Med., 2022. [DOI | PubMed]
- JG Zhou, HT Zhao, SH Jin, X Tian, H Ma. Identification of a RNA-seq-based signature to improve prognostics for uterine sarcoma. Gynecol. Oncol., 2019. [DOI | PubMed]
- S Stock, M Schmitt, L Sellner. Optimizing manufacturing protocols of chimeric antigen receptor T cells for improved anticancer immunotherapy. Int. J. Mol. Sci., 2019. [DOI | PubMed]
- K Musha. Comprehensive analysis of RELL2 as a potential biomarker associated with tumor immune infiltrating cells in a pan-cancer analysis. Dis. Mark., 2022. [DOI]
- P Sarode. Reprogramming of tumor-associated macrophages by targeting β-catenin/FOSL2/ARID5A signaling: A potential treatment of lung cancer. Sci. Adv., 2020. [DOI]
- J Vivian. Toil enables reproducible, open source, big biomedical data analyses. Nat. Biotechnol., 2017. [DOI | PubMed]
- Z Lin. LncRNA ADAMTS9-AS2 is a prognostic biomarker and correlated with immune infiltrates in lung adenocarcinoma. Int. J. Gen. Med., 2021. [DOI | PubMed]
- FG Frost, PF Cherukuri, S Milanovich, CF Boerkoel. Pan-cancer RNA-seq data stratifies tumours by some hallmarks of cancer. J. Cell. Mol. Med., 2020. [DOI | PubMed]
- Y Lao. MiR-195-3p is a novel prognostic biomarker associated with immune infiltrates of lung adenocarcinoma. Int. J. Gen. Med., 2022. [DOI | PubMed]
- D Yang. Comprehensive analysis of DMRT3 as a potential biomarker associated with the immune infiltration in a pan-cancer analysis and validation in lung adenocarcinoma. Cancers, 2022. [DOI | PubMed]
- J Li. A comprehensive multiomics analysis identified ubiquilin 4 as a promising prognostic biomarker of immune-related therapy in pan-cancer. J. Oncol., 2021. [DOI | PubMed]
- J Barretina. The cancer cell line encyclopedia enables predictive modelling of anticancer drug sensitivity. Nature, 2012. [DOI | PubMed]
- TJ Kao. Prognoses and genomic analyses of proteasome 26S subunit, ATPase (PSMC) family genes in clinical breast cancer. Aging, 2021. [DOI | PubMed]
- V Thorsson. The immune landscape of cancer. Immunity, 2018. [DOI | PubMed]
- R Bonneville. Landscape of microsatellite instability across 39 cancer types. JCO Precis. Oncol., 2017. [DOI]
- J Chen. Comprehensive analysis of the expression, prognosis, and biological significance of OVOLs in breast cancer. Int. J. Gen. Med., 2021. [DOI | PubMed]
- WY Huang. MethHC: A database of DNA methylation and gene expression in human cancer. Nucleic Acids Res., 2015. [DOI | PubMed]
- HY Huang. MethHC 2.0: Information repository of DNA methylation and gene expression in human cancer. Nucleic Acids Res., 2021. [DOI | PubMed]
- M Li. Identification of core prognosis-related candidate genes in Chinese gastric cancer population based on integrated bioinformatics. Biomed. Res. Int., 2020. [DOI | PubMed]
- X Lu, G Li, S Liu, H Wang, B Chen. MiR-585-3p suppresses tumor proliferation and migration by directly targeting CAPN9 in high grade serous ovarian cancer. J. Ovarian Res., 2021. [DOI | PubMed]
- B Chen, C Gao, H Wang, J Sun, Z Han. Molecular analysis of prognosis and immune infiltration of ovarian cancer based on homeobox D genes. Comput. Math. Methods Med., 2022. [DOI | PubMed]
- X Lu, L Jing, S Liu, H Wang, B Chen. miR-149-3p is a potential prognosis biomarker and correlated with immune infiltrates in uterine corpus endometrial carcinoma. Int. J. Endocrinol., 2022. [DOI | PubMed]
- J Liu. An integrated TCGA pan-cancer clinical data resource to drive high-quality survival outcome analytics. Cell, 2018. [DOI | PubMed]
- S Borghini. The TLX2 homeobox gene is a transcriptional target of PHOX2B in neural-crest-derived cells. Biochem. J., 2006. [DOI | PubMed]
- JN Weinstein. The Cancer Genome Atlas pan-cancer analysis project. Nat. Genet., 2013. [DOI | PubMed]
- FX Schaub. Pan-cancer alterations of the MYC oncogene and its proximal network across the cancer genome atlas. Cell Syst., 2018. [DOI | PubMed]
- J Smith, S Sen, RJ Weeks, MR Eccles, A Chatterjee. Promoter DNA hypermethylation and paradoxical gene activation. Trends Cancer, 2020. [DOI | PubMed]
- MJ Ziller. Charting a dynamic DNA methylation landscape of the human genome. Nature, 2013. [DOI | PubMed]
- AA Emran. Targeting DNA methylation and EZH2 activity to overcome melanoma resistance to immunotherapy. Trends Immunol., 2019. [DOI | PubMed]
- DD Lee. DNA hypermethylation within TERT promoter upregulates TERT expression in cancer. J. Clin. Investig., 2019. [DOI | PubMed]
- A Guillaumet-Adkins. Hypermethylation of the alternative AWT1 promoter in hematological malignancies is a highly specific marker for acute myeloid leukemias despite high expression levels. J. Hematol. Oncol., 2014. [DOI | PubMed]
- K Bahar Halpern, T Vana, MD Walker. Paradoxical role of DNA methylation in activation of FoxA2 gene expression during endoderm development. J. Biol. Chem., 2014. [DOI | PubMed]
- K Takasawa. DNA hypermethylation enhanced telomerase reverse transcriptase expression in human-induced pluripotent stem cells. Hum. Cell, 2018. [DOI | PubMed]
- R Mhaidly, F Mechta-Grigoriou. Role of cancer-associated fibroblast subpopulations in immune infiltration, as a new means of treatment in cancer. Immunol. Rev., 2021. [DOI | PubMed]
- Z Lin. Identification of potential biomarkers for abdominal pain in IBS patients by bioinformatics approach. BMC Gastroenterol., 2021. [DOI | PubMed]
- SJ Tang, TC Suen, RR McInnes, M Buchwald. Association of the TLX-2 homeodomain and 14–3-3eta signaling proteins. J. Biol. Chem., 1998. [DOI | PubMed]
- AR Elhamamsy, BJ Metge, HA Alsheikh, LA Shevde, RS Samant. Ribosome biogenesis: A central player in cancer metastasis and therapeutic resistance. Cancer Res., 2022. [DOI | PubMed]
- C Chao. Recreational amphetamine use and risk of HIV-related non-Hodgkin lymphoma. Cancer Causes Control, 2009. [DOI | PubMed]
- IT Malacarne. Genotoxicity, oxidative stress, and inflammatory response induced by crack-cocaine: Relevance to carcinogenesis. Environ. Sci. Pollut. Res. Int., 2021. [DOI | PubMed]
- RF de Menezes, A Bergmann, LC Thuler. Alcohol consumption and risk of cancer: A systematic literature review. Asian Pac. J. Cancer Prev., 2013. [DOI | PubMed]
- MP Mattson, M Gleichmann. The neuronal death protein par-4 mediates dopaminergic synaptic plasticity. Mol. Interv., 2005. [DOI | PubMed]
