A pan-cancer analysis of the prognostic value of long non-coding RNA LINC00662 in human cancers
Abstract
Background: Numerous studies have revealed that the long non-coding RNA LINC00662 is irregularly expressed in various cancers, as well as is correlated with cancer development and progression. Nevertheless, the clinical value of LINC00662 remains controversial. Hence, we explored the correlation of LINC00662 with cancer prognosis through meta-analysis and bioinformatics analysis.
Methods: From the beginning through 12 March 2022, we searched for correlational studies on Web of Science, Embase, PubMed and The Cochrane Library. We used pooled hazard ratios (HRs) and odds ratios (ORs) with 95% confidence intervals (CIs) to determine the significance of studies on survival outcomes and clinicopathological aspects in human cancers. Additionally, the Gene Expression Profiling Interactive Analysis (GEPIA) database was employed to confirm our findings.
Results: Our meta-analysis of 14 studies comprising a total of 960 cancer patients revealed that LINC00662 overexpression was correlated with poor overall survival (HR = 1.91, 95% CI 1.49–2.45, p < 0.001) in cancer patients and relapse-free survival (HR = 2.12, 95% CI 1.19–3.76, p = 0.010) in hepatocellular carcinoma patients. The correlation between LINC00662 and OS was further supported by the results of subgroup analyses according to cancer type, follow-up time, HR availability, and NOS score. In addition, LINC00662 overexpression predicted advanced tumor stage (OR = 4.23, 95% CI 2.50–7.17, p < 0.001), larger tumor size (OR = 1.49, 95% CI 1.11–1.99, p = 0.008), earlier lymph node metastasis (OR = 2.40, 95% CI 1.25–4.59, p = 0.008), and earlier distant metastasis (OR = 4.78, 95% CI 2.57–8.88, p < 0.001). However, there were no statistically significant differences in age (OR = 1.16, 95% CI 0.90–1.51, p = 0.246), gender (OR = 1.10, 95% CI 0.79–1.53, p = 0.578), or differentiation grade (OR = 1.53, 95% CI 0.71–3.33, p = 0.280).
Conclusion: LINC00662 expression upregulation is associated with poor prognosis and advanced clinicopathological features in patients with multiple tumors. LINC00662 may serve as a biomarker for the diagnosis and treatment of patients with tumors.
Article type: Systematic Review
Keywords: LINC00662, meta-analysis, cancers, prognosis, bioinformatics
Affiliations: The First Clinical Medical College of Gansu University of Chinese Medicine (Gansu Provincial Hospital), Lanzhou, China; Department of General Surgery, Clinical Medical Center, Gansu Provincial Hospital, Lanzhou, China; Key Laboratory of Molecular Diagnostics and Precision Medicine for Surgical Oncology in Gansu Province, Lanzhou, China; Gansu Provincial Hospital, Lanzhou, China; The First Clinical Medical College of Lanzhou University, Lanzhou, China; Ning Xia Medical University, Yinchuan, China
License: Copyright © 2022 Zhang, Wu, Fu, Liu, Han, Wang, Zhang, Yu, Ma, Ma and Cai. CC BY 4.0 This is an open-access article distributed under the terms of the Creative Commons Attribution License (CC BY). The use, distribution or reproduction in other forums is permitted, provided the original author(s) and the copyright owner(s) are credited and that the original publication in this journal is cited, in accordance with accepted academic practice. No use, distribution or reproduction is permitted which does not comply with these terms.
Article links: DOI: 10.3389/fgene.2022.1063119 | PubMed: 36568401 | PMC: PMC9773142
Relevance: Moderate: mentioned 3+ times in text
Full text: PDF (4.0 MB)
Introduction
Cancer is one of the leading causes of death globally, and the worldwide cancer burden is increasing (ref. Sung et al., 2021). Despite considerable advancement in modern cancer treatments, such as surgical therapy and radiotherapy, many patients still progress to the advanced cancer stage, which results in a lousy prognosis (ref. Chen et al., 2021). The lack of clear markers for tumor diagnosis is among the fundamental causes for this dismal prognosis (ref. Avila et al., 2006). Consequently, finding new tumor indicators for diagnosis, prognosis, and treatment is crucial.
Long non-coding RNA (lncRNA) is over 200-nucleotide long, of which 55 nucleotides lack a specific open reading frame, rendering the encoded protein inactive (ref. Xue et al., 2017). Although lncRNAs were initially considered transcriptional disruptions, they are recently implicated in various diseases (ref. Renganathan and Felley-Bosco, 2017). Recently, an increasing amount of lncRNAs was found to be inappropriately expressed in cancer and was implicated in diverse pathophysiological processes, such as controlling gene expression through epigenetic, transcription, and post-transcription modification (ref. Lin et al., 2021). Therefore, lncRNAs are potentially both tumorigenic and antitumorigenic (ref. Huarte and Rinn, 2010). Because of their unique expression and functionality in multiple cancer types, lncRNAs act as promising cancer diagnostic, prognostic, and therapeutic biomarkers (ref. Wang et al., 2021).
LINC00662, the long intergenic non-protein coding RNA 662, is located on chromosome 19q11 and is 2085-bp long (ref. Zhong et al., 2021). Aberrant LINC00662 expression was first reported in lung tissues and cells (ref. Gong et al., 2018). Many recent studies have found that LINC00662 is overexpressed in numerous tumors, and this overexpression implies poor prognosis, such as prostate cancer (PCa) (ref. Li et al., 2019), colorectal cancer (CRC) (ref. Wang et al., 2019; ref. Cheng B. et al., 2020), bladder cancer (ref. Ma et al., 2021), osteosarcoma (OSA) (ref. Yu et al., 2021), hepatocellular carcinoma (HCC) (ref. Guo et al., 2020; ref. Tian et al., 2020), ovarian cancer (OC) (ref. Wu et al., 2021), cervical cancer (CC) (ref. Wei et al., 2020), glioma (ref. Geng et al., 2020; ref. Wu et al., 2020), and gastric cancer (GC) (ref. Liu et al., 2018). Furthermore, elevated LINC00662 expression is usually linked to advanced clinicopathological features. For instance, in breast cancer (BC) (ref. Cheng L. et al., 2020), high LINC00662 expression is related to the advanced tumor stage and positive lymph node metastasis (LNM). Moreover, LINC00662 could be engaged in tumor proliferation, apoptosis, invasion and migration (ref. Cheng B. et al., 2020; ref. Liu and Meng, 2020; ref. Xu et al., 2021). Some studies have confirmed the critical link between LINC00662 and tumor-related signaling pathways (ref. Liu Y. L. et al., 2021; ref. Yu et al., 2021). Taken together, LINC00662 could be a prospective prognostic marker and therapeutic target for most human malignancies. However, most studies are restricted by the small sample size or scattered results, and the mechanism of action has not yet been entirely clarified. Therefore, we performed quantitative meta-analysis and bioinformatics analysis to estimate the combined role of LINC00662 in human cancers.
Materials and methods
Search strategy and literature collection
The registry was established with PROSPERO prior to the start of the research (registration number: CRD42021286741). A structured literature search of Web of Science, Embase, PubMed and The Cochrane Library was performed from their inception through 12 March 2022. “Long intergenic non-protein coding RNA 662,” “lncRNA LINC00662,” “LINC00662,” “neoplasm,” “cancer,” “malignancy,” “neoplasia,” “melanoma,” “tumor,” “sarcoma,” “carcinoma” or “adenoma” were the search terms. Relevant study citation lists were also thoroughly reviewed. To ensure accuracy and consistency, two investigators individually assessed the database search methodologies and debated the results.
Inclusion and exclusion criteria
The inclusion criteria were as follows: 1) discussing LINC00662 expression in cancer tissues; 2) in which patients were classified into two groups by the LINC00662 expression levels; 3) reporting the connection between LINC00662 expression and cancer prognosis or clinicopathological characteristics; and 4) in which hazard ratios (HRs) and 95% confidence intervals (CIs) for survival data were presented or could be obtained from survival curves.
The exclusion criteria were as follows: 1) conference reports, in vitro or in vivo experiments, and reviews; 2) duplicate publications; and 3) articles whose data could not be extracted and articles from non-English publications.
Data extraction and quality assessment
Two researchers separately explored and chose articles based on the aforementioned criteria, extracting the following data: first author’s name, publication year, country of study, types of cancer, number of patients, detection methods, cut-off criteria, clinical parameters, overall survival (OS), relapse-free survival (RFS), disease-free survival (DFS), and progression-free survival (PFS). Studies were used immediately if they contained precise survival data. When publications supplied only Kaplan Meier (KM) curves without precise survival data, we used Engauge Digitizer V.4.1 software to obtain data from the KM curves and computed HRs and 95% CIs. Literature quality was evaluated using the Newcastle-Ottawa Scale (NOS). The study was graded on a nine-item scale, with one point assigned for each item completed. Aggregate scores varied from 0 to 9. The NOS score of 7 and above denoted high-quality research findings.
Validation by using public datasets
Gene Expression Profiling Interactive Analysis (GEPIA), an online web-based tool based on TCGA and GTEx data, is designed to verify the LINC00662 expression levels in pan-cancer. LINC00662-related survival analysis was conducted using the KM method and log-rank test.
Prediction of LINC00662 functions and pathways
The MEM-Multi Experiment Matrix database, which is based on the Affymetrix Gene Chip Human Genome U133 Plus 2.0 Array technology, was used to identify the relevant genes of LINC00662. Then, gene ontology (GO) analysis and Kyoto Encyclopedia of Genes and Genomes (KEGG) pathway analysis were performed using R software. Finally, Cytoscape software was utilized for constructing the signaling pathway network.
Statistical analysis
Stata 12.0 was used to estimate all statistical data. To investigate the relationship between LINC00662 expression and survival outcome, HRs with 95%CIs were determined. To investigate the link between LINC00662 expression and clinicopathological features, researchers estimated pooled odds ratios (ORs) with 95% CIs. If heterogeneity was moderate (P Q > 0.1, I 2 < 50%), a fixed-effects model was applied. Otherwise, a random-effects model was applied. Significant heterogeneity was addressed using methods such as subgroup analysis or sensitivity analysis. All data were presented in the form of Forest plots. Egger’s test and Begg’s funnel plot were used to determine possible publication bias, while sensibility analysis was employed to determine the causes of heterogeneity and to verify the stability of the results. p < 0.05 was considered statistically significant.
Results
Characteristics of studies
In total, 115 studies were initially obtained according to the search strategy (Web of Science = 35, Embase = 44, PubMed = 36, Cochrane = 0). After removing 38 duplicate studies, 45 articles were removed as extraneous papers by scanning the titles and abstracts. The remaining 32 studies were then carefully reviewed by reading the full article. Of them, 9 were eliminated due to the lack of eligible data, 9 were eliminated since they were physical experimental studies, and 14 studies (ref. Gong et al., 2018; ref. Li et al., 2019; ref. Wang et al., 2019; ref. Cheng B. et al., 2020; ref. Cheng L. et al., 2020; ref. Guo et al., 2020; ref. Liu and Meng, 2020; ref. Tian et al., 2020; ref. Wei et al., 2020; ref. Zhang et al., 2020; ref. Ma et al., 2021; ref. Wu et al., 2021; ref. Yu et al., 2021; ref. Wang et al., 2022) were finally included for meta-analysis. The study screening procedure is presented in Figure 1.

The 14 enrolled articles contained a total of 960 patients, with sample sizes between 39 and 105. All of these articles were conducted in China and published between 2018 and 2022. The above articles included ten tumors, including three cases of OSA (ref. Liu and Meng, 2020; ref. Yu et al., 2021; ref. Wang et al., 2022), two cases of HCC (ref. Guo et al., 2020; ref. Tian et al., 2020), two cases of CRC (ref. Wang et al., 2019; ref. Cheng B. et al., 2020), one case of bladder cancer (ref. Ma et al., 2021), one case of lung cancer (ref. Gong et al., 2018), one case of CC (ref. Wei et al., 2020), one case of ESCC (ref. Zhang et al., 2020), one case of BC (ref. Cheng L. et al., 2020), one case of PCa (ref. Li et al., 2019), and one case of OC (ref. Wu et al., 2021). Nine of these articles (ref. Gong et al., 2018; ref. Li et al., 2019; ref. Wang et al., 2019; ref. Cheng B. et al., 2020; ref. Guo et al., 2020; ref. Tian et al., 2020; ref. Ma et al., 2021; ref. Wu et al., 2021; ref. Yu et al., 2021) reported OS, two (ref. Guo et al., 2020; ref. Tian et al., 2020) reported RFS, and all studies reported clinical parameters. Three (ref. Li et al., 2019; ref. Guo et al., 2020; ref. Wu et al., 2021) OS data and one (ref. Guo et al., 2020) RFS data were obtained directly from the original text, and six (ref. Gong et al., 2018; ref. Wang et al., 2019; ref. Cheng B. et al., 2020; ref. Tian et al., 2020; ref. Ma et al., 2021; ref. Yu et al., 2021) OS data and one (ref. Tian et al., 2020) RFS data were extracted by KM curves. All studies employed real-time quantitative polymerase chain reaction (RT-qPCR) to detect the expression levels of LINC00662. The characteristics of the included articles are summarized in Table 1.
TABLE 1: Characteristics of studies in this meta-analysis.
| Study | Year | Country | Cancer type | Sample type | Total Size(n) | Detection method | Cutoff | Outcome | Multivariate analysis | HR statistic | Follow-up times (month) | NOS score |
|---|---|---|---|---|---|---|---|---|---|---|---|---|
| Cheng B | 2020 | China | colon cancer | Tissue | 72 | RT-qPCR | mean | CP/OS | No | SC | 36 | 7 |
| Cheng L | 2020 | China | BC | Tissue | 47 | RT-qPCR | median | CP | No | NA | NA | 6 |
| Gong | 2018 | China | LC | Tissue | 70 | RT-qPCR | NA | CP/OS | No | SC | 48 | 6 |
| Guo | 2020 | China | HCC | Tissue | 70 | RT-qPCR | NA | CP/OS/RFS | Yes | Rep | 60 | 7 |
| Li | 2019 | China | PCa | Tissue | 105 | RT-qPCR | median | CP/OS | Yes | Rep | 60 | 8 |
| Liu | 2020 | China | OSA | Tissue | 57 | RT-qPCR | median | CP | No | NA | NA | 6 |
| Ma | 2021 | China | bladder cancer | Tissue | 104 | RT-qPCR | NA | CP/OS | No | SC | 36 | 6 |
| Tian | 2020 | China | HCC | Tissue | 86 | RT-qPCR | median | CP/OS/RFS | No | SC | 60 | 7 |
| Wang | 2022 | China | OSA | Tissue | 56 | RT-qPCR | NA | CP | No | NA | NA | 6 |
| Wang | 2019 | China | CRC | Tissue | 56 | RT-qPCR | median | CP/OS | No | SC | 90 | 7 |
| Wei | 2020 | China | CC | Tissue | 39 | RT-qPCR | NA | CP | No | NA | NA | 6 |
| Wu | 2021 | China | OC | Tissue | 75 | RT-qPCR | median | CP/OS | Yes | Rep | 80 | 8 |
| Yu | 2021 | China | OSA | Tissue | 51 | RT-qPCR | median | CP/OS | Yes | SC | 60 | 8 |
| Zhang | 2020 | China | ESCC | Tissue | 72 | RT-qPCR | NA | CP | No | NA | NA | 6 |
HR, hazard ratio; BC, breast cancer; LC, lung cancer; HCC, hepatocellular carcinoma; PCa, prostate cancer; OSA, osteosarcoma; CRC, colorectal cancer; CC, cervical cancer; OC, ovarian cancer; ESCC, esophageal squamous cell carcinoma; NA, not available; CP, clinicopathological parameters; OS, overall survival; RFS, relapse free survival; SC, survival curve; Rep, report in text; RT-qPCR, real-time quantitative polymerase chain reaction; NOS, Newcastle–Ottawa Scale.
Association between LINC00662 expression and survival
Nine articles (ref. Gong et al., 2018; ref. Li et al., 2019; ref. Wang et al., 2019; ref. Cheng B. et al., 2020; ref. Guo et al., 2020; ref. Tian et al., 2020; ref. Ma et al., 2021; ref. Wu et al., 2021; ref. Yu et al., 2021) including 689 cancer patients reported a relationship between abnormal LINC00662 expression levels and OS. A fixed-effects model was used because no obvious heterogeneity existed (I 2 = 0%, P Q = 0.807). As shown in Figure 2A, the HR of the pooled OS was 1.91, indicating that LINC00662 overexpression was notably interrelated with poor OS. Furthermore, two articles (ref. Guo et al., 2020; ref. Tian et al., 2020), with a total of 156 patients with HCC, provided suitable data for RFS. A fixed-effects model was used as no obvious heterogeneity existed (I 2 = 25.7%, P Q = 0.246). LINC00662 overexpression was markedly interrelated with shorter RFS in patients with HCC (HR = 2.12, 95% CI 1.19–3.76, p = 0.010) (Figure 2B).

In addition, we conducted a subgroup meta-analysis based on tumor type (digestive tract tumors and non-digestive tract tumors), follow-up time (≥60 months or <60 months), HR availability (reported in text and survival curve), and NOS score (NOS scores ≥7 or <7) to investigate further the correlation between LINC00662 expression levels and OS. According to all subgroup analyses, revealed that LINC00662 overexpression was notably interrelated with poor OS (Figure 3; Table 2). The aforementioned results imply that LINC00662 expression levels is probably a prognostic factor for OS in patients with tumors.

TABLE 2: Subgroup meta-analysis of pooled HRs for OS.
| Stratified analysis | Studies (n) | Number of patients | Pooled HR (95% CI) | p-value | Heterogeneity | ||
|---|---|---|---|---|---|---|---|
| I2 (%) | p-value | Model | |||||
| Cancer type | |||||||
| Digestive tract tumors | 4 | 284 | 1.64 (1.05–2.58) | 0.031 | 0.0 | 0.782 | Fixed effects |
| Non-digestive tract tumors | 5 | 405 | 2.04 (1.51–2.75) | <0.001 | 0.0 | 0.586 | Fixed effects |
| Follow-up time | |||||||
| ≥60 | 6 | 443 | 2.16 (1.54–3.05) | <0.001 | 0.0 | 0.660 | Fixed effects |
| <60 | 3 | 246 | 1.66 (1.16–2.39) | 0.006 | 0.0 | 0.913 | Fixed effects |
| HR availability | |||||||
| Survival curve | 6 | 439 | 1.57 (1.14–2.17) | 0.005 | 0.0 | 0.989 | Fixed effects |
| Reported in text | 3 | 250 | 2.56 (1.73–3.81) | <0.001 | 0.0 | 0.807 | Fixed effects |
| NOS score | |||||||
| ≥7 | 7 | 515 | 2.04 (1.49–2.78) | <0.001 | 0.0 | 0.685 | Fixed effects |
| <7 | 2 | 174 | 1.70 (1.12–2.58) | 0.012 | 0.0 | 0.721 | Fixed effects |
HR, hazard ratio; CI, confidence interval; NOS, Newcastle–Ottawa Scale.
Association between LINC00662 and clinicopathological parameters
In total, 14 articles (ref. Gong et al., 2018; ref. Li et al., 2019; ref. Wang et al., 2019; ref. Cheng B. et al., 2020; ref. Cheng L. et al., 2020; ref. Guo et al., 2020; ref. Liu and Meng, 2020; ref. Tian et al., 2020; ref. Wei et al., 2020; ref. Zhang et al., 2020; ref. Ma et al., 2021; ref. Wu et al., 2021; ref. Yu et al., 2021; ref. Wang et al., 2022) presented usable data regarding the link between LINC00662 expression levels and clinicopathological parameters, which included age, sex, tumor stage, tumor size, LNM, differentiation grade, and distant metastasis (DM). The analysis was conducted using ORs and their 95% CIs. According to the results, LINC00662 overexpression was notably interrelated with advanced tumor stage (OR = 4.23, 95% CI 2.50–7.17, p < 0.001), larger tumor size (OR = 1.49, 95% CI 1.11–1.99, p = 0.008), earlier LNM (OR = 2.40, 95% CI 1.25–4.59, p = 0.008), and earlier DM (OR = 4.78, 95% CI 2.57–8.88, p < 0.001). However, the differences in terms of age (OR = 1.16, 95% CI 0.90–1.51, p = 0.246), gender (OR = 1.10, 95% CI 0.79–1.53, p = 0.578), and differentiation grade (OR = 1.53, 95% CI 0.71–3.33, p = 0.280) were not statistically significant. The results were presented in Figure 4 and Table 3.

TABLE 3: Association of LINC00662 expression with clinicopathological features.
| Clinicopathological parameters | Studies | Patients (n) | OR (95% CI) | p-value | Heterogeneity (I 2, P) | Model |
|---|---|---|---|---|---|---|
| Age (old vs. young) | 14 | 960 | 1.16 (0.90–1.51) | 0.246 | 0.0%, 0.951 | Fixed |
| Gender (male vs. female) | 10 | 694 | 1.10 (0.79–1.53) | 0.578 | 0.0%, 0.592 | Fixed |
| Tumor stage (III + IV vs. I + II) | 12 | 804 | 4.23 (2.50–7.17) | <0.001 | 63.6%, 0.001 | Random |
| Tumor size (big vs. small) | 11 | 771 | 1.49 (1.11–1.99) | 0.008 | 25.3%, 0.203 | Fixed |
| LNM (positive vs. negative) | 8 | 570 | 2.40 (1.25–4.59) | 0.008 | 66.3%, 0.004 | Random |
| Differentiation (poor vs. well/moderate) | 8 | 550 | 1.53 (0.71–3.33) | 0.280 | 73.1%, 0.000 | Random |
| Distant metastasis (yes vs. no) | 6 | 416 | 4.78 (2.57–8.88) | <0.001 | 50.3%, 0.074 | Random |
OR, odds ratio; CI, confidence interval; LNM, lymph node metastasis.
Sensitivity analysis
To assess the reliability of LINC00662 expression and OS relevance findings, we conducted sensitivity analysis. No single study was found to alter the results (Figure 5A), and therefore, high LINC00662 expression was reliably associated with poor OS. Meanwhile, we performed sensitivity analysis by using the results of clinicopathological parameters. The heterogeneity of the relevance of LINC00662 overexpression to the tumor stage (Figure 5B) was completely eliminated after excluding the study of Cheng et al. (ref. Cheng B. et al., 2020) and Zhang et al. (ref. Zhang et al., 2020) (P Q = 0.427, I 2 = 1.2%), without affecting the results (OR = 3.84, 95% CI 2.76–5.35, p < 0.001). In a sensitivity analysis of LNM (Figure 5C), excluding the study of Wu et al. (ref. Wu et al., 2021) significantly reduced heterogeneity (P Q = 0.337, I 2 = 12.2%), but did not affect the final results (OR = 3.02, 95% CI 2.02–4.50, p < 0.001). For the sensitivity analysis on differentiation grade (Figure 5D), heterogeneity was significantly reduced with the elimination of the studies of Wei et al. (ref. Wei et al., 2020) and Zhang et al. (ref. Zhang et al., 2020) (P Q = 0.265, I 2 = 22.5%), and a significant correlation was observed between high LINC00662 expression and the degree of tumor differentiation (OR = 2.29, 95% CI 1.49–3.52, p < 0.001). Furthermore, sensitivity analysis of the relevance of LINC00662 overexpression to DM (Figure 5E) displayed complete elimination of heterogeneity after the exclusion of the study of Cheng et al. (ref. Cheng B. et al., 2020) (P Q = 0.578, I 2 = 0.0%), but the results were not affected (OR = 3.54, 95% CI 2.25–5.56, p < 0.001).

Analysis of publication bias
Additionally, we used Begg’s funnel plot and Egger’s regression test to analyze the publication bias of the included studies on the correlation between LINC00662 expression and OS. Neither Begg’s funnel plot (Figure 5F) nor Egger’s regression test (Pr > |t| = 0.307) found significant publication bias, suggesting that our results are plausible.
Validation of LINC00662 results in public databases
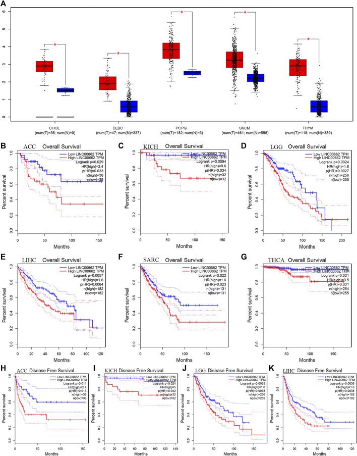
To further confirm the reliability of our results, we assessed the relationship between LINC00662 expression in pan-cancer and prognosis of cancer patients by using the GEPIA database. Regarding aberrant LINC00662 expression, LINC00662 was highly expressed in cholangiocarcinoma (CHOL), lymphoid neoplasm diffuse large B-cell lymphoma (DLBC), pheochromocytoma and paraganglioma (PCPG), skin cutaneous melanoma (SKCM), and thymoma (THYM) (|log2FC| Cutoff: 1, p-value: 0.01, Figure 6A). Regarding the relationship between LINC00662 expression and prognosis, LINC00662 overexpression was notably interrelated with worse OS in adrenocortical carcinoma (ACC; Figure 6B), kidney chromophobe (KICH; Figure 6C), brain lower grade glioma (LGG; Figure 6D), liver hepatocellular carcinoma (LIHC; Figure 6E), sarcoma (SARC; Figure 6F), and thyroid carcinoma (THCA; Figure 6G), and shorter DFS in ACC (Figure 6H), KICH (Figure 6I), LGG (Figure J), and LIHC (Figure 6K).

LINC00662 function and pathway prediction
We screened 200 LINC00662-related genes from the MEM database for GO and KEGG pathway analyses (Figure 7; Table 4). The GO analysis revealed that these genes were remarkably correlated with the cellular amino acid biosynthetic process, mitochondrial matrix, and transaminase activity. Additionally, the KEGG pathway analysis demonstrated that these genes were strongly interrelated with amino acid metabolic pathways. Furthermore, we built a signaling pathway network with Cytoscape (Figure 8).

TABLE 4: Gene ontology analysis of LINC00662-related genes.
| GO number | Description | Genes | p-Value |
|---|---|---|---|
| GO:0005759 | mitochondrial matrix | HIBADH, SHMT2, GPT2, PYCR1, ACOT13, ALDH1L2, ACAT1, MTHFD1L, LACTB2, MTHFD2, PCCB, ME2, PCK2 | 3.44716E-06 |
| GO:0006564 | L-serine biosynthetic process | PSAT1, SHMT2, PHGDH, PSPH | 1.1503E-05 |
| GO:0005829 | Cytosol | CLIC4, PSMD8, MAP1LC3B, SESN2, PHGDH, RPL37, CHAC1, ACP1, ZNF322, PSPH, DFFA, GGPS1, COG5, CSNK2A2, ACOT13, EEF1A1, PREPL, CRYZL1, PCCB, TRIB3, MTFR1, PFDN2, ADPRM, URI1, SHMT2, RNF7, EHBP1, LMAN1, MTHFD1L, CBS, RAB23, EIF4EBP1, DPH5, CAMTA1, ZNF146, SH3BGR, PCK2, EIF2B3, ANKRD27, GOT1, PMM1, ZNF260, GFPT1, ASNS, EIF2S2, MIB1, ABI2, XPOT, PSAT1, PRKRA, POLR3D, CTH, SPIRE1, RNF187 | 2.99414E-05 |
| GO:0030170 | pyridoxal phosphate binding | GOT1, PSAT1, SHMT2, CBS, CTH, GPT2 | 3.0397E-05 |
| GO:0005739 | Mitochondrion | CLIC4, URI1, HIBADH, SHMT2, MTX2, PYCR1, ACOT13, ALDH1L2, HSPA13, ACAT1, COX7A2L, MAP1LC3B, HAX1, MTHFD1L, MTHFD2, PCCB, SESN2, PFDN2, MTFR1, ME2, SMIM20, PCK2 | 8.75681E-05 |
| GO:0046655 | folic acid metabolic process | MTHFD1L, SHMT2, MTHFD2, ALDH1L2 | 0.000222182 |
| GO:0006563 | L-serine metabolic process | SHMT2, CBS, PSPH | 0.000526162 |
| GO:0035999 | tetrahydrofolate interconversion | MTHFD1L, SHMT2, MTHFD2 | 0.001553891 |
| GO:0034599 | cellular response to oxidative stress | PRKRA, SESN2, PYCR1, SLC7A11, ATF4 | 0.003681906 |

Molecular mechanisms of LINC00662 carcinogenesis in various cancers
The molecular mechanisms of LINC00662-related carcinogenesis are recapitulated as follows.
- • In HCC, LINC00662 facilitated the progression of HCC and the polarization of M2 macrophages by binding miR-107, miR-15a and miR-16 competitively to upregulate WNT3A expression and secretion, thereby activating the Wnt/β-catenin signaling pathway (ref. Tian et al., 2020). Additionally, LINC00662 also exerted tumorigenic effects through simultaneous regulation of intracellular S-adenosylhomocysteine (SAH) and S-adenosylmethionine (SAM) levels resulting in altered methylation profiles (ref. Guo et al., 2020).
- • In lung cancer, LINC00662 affected lung cancer progression by modulating miR-320d/E2F1 and miR-145-5p/PAFAH1B2 axis (ref. Lv et al., 2021; ref. Xu et al., 2021).
- • In CC, LINC00662 was involved in CC progression through regulation of miR-103a-3p/PDK4 and miR-497-5p/CDC25A (ref. Wei et al., 2020; ref. Liu Y. L. et al., 2021).
- • In OSA, LINC00662 promoted OSA progression by sponging miR103a-3p and regulating SIK2 expression (ref. Huang et al., 2021). In addition, LINC00662 could also affect OSA proliferation, invasion and migration by modulating miR-16-5p/ITPR1 and microRNA-15a-5p/Notch2 axis (ref. Liu and Meng, 2020; ref. Yu et al., 2021).
- • In melanoma, LINC00662 promoted melanoma progression via sponging miR-890 to up-regulate ELK3 (ref. Xia et al., 2020).
- • In chordoma, LINC00662 facilitated chordoma progression via sponging miR-16-5p to activate RNF144B (ref. Wang et al., 2020).
- • In glioma, LINC00662 could be an oncogene by modulating the miR-107/HMGB1 and the miR-34a5p/LMAN2L axis (ref. Geng et al., 2020; ref. Wu et al., 2020).
- • In CRC, LINC00662 facilitated colon cancer progression via binding miR-340-5p to upregulate CLDN8/IL22 expression and activating extracellular signal-regulated kinase (ERK) signaling pathway (ref. Cheng B. et al., 2020). In addition, LINC00662 could also promote the development of CRC via modulating the miR497-5p/AVL9 axis (ref. Wang et al., 2019).
- • In OSCC, LINC00662 promoted the growth and metastasis of OSCC via miR-144-3p/EZH2 Axis (ref. Liu P. et al., 2021). Besides, LINC00662 inflected the radiosensitivity of OSCC cells through hnRNPC-modulated AK4 (ref. Chen Y. Z. et al., 2020).
- • In OC, LINC00662 facilitated the survival and glycolysis of OC cells via miR-375 to modulate HIF-1α expression (ref. Tao et al., 2020). In addition, LINC00662 promoted OC progression via activating the GRP78/P38 pathway (ref. Wu et al., 2021).
- • In PCa, LINC00662 promoted the metastasis and proliferation of PCa cells via modulating miR-34a (ref. Li et al., 2019).
- • In BC, LINC00662 facilitated the progression of BC cells through modulating the miR-497-5p/EglN2 axis (ref. Cheng L. et al., 2020).
- • In ESCC, LINC00662 promoted the progression of ESCC via sponging miR-3405p to activate HOXB2 (ref. Zhang et al., 2020).
- • In GC, LINC00662 accelerated GC progression via modulating the Hippo-YAP1 pathway (ref. Liu et al., 2018). Additionally, LINC00662 facilitated the progression of GC progression via sponging miR-195-5p to up-regulate centrosomal protein 55 (ref. Tao et al., 2022).
- • In bladder cancer, facilitated bladder cancer progression via sponging miR-199a-5p (ref. Ma et al., 2021).
Discussion
The field of lncRNAs had received a lot of press attention lately because of the accelerated advancement of high-throughput sequencing technologies (ref. Müller et al., 2015). Numerous studies have demonstrated that lncRNAs are implicated in tumorigenesis and development and are closely related to the prognosis of patients with tumors (ref. Ge et al., 2018; ref. Hu et al., 2021). In previous meta-analyses, FOXP4-AS1 (ref. Zhang et al., 2022b), SNHG15 (ref. Chen C. et al., 2020) and SNHG17 (ref. Zhang et al., 2022a) were all linked to the clinicopathological characteristics and prognosis of various malignancies. These findings suggested that lncRNA could be a distinct cancer prognostic biomarker and therapeutic target.
LINC00662, a potential new cancer-related lncRNA, has been found to be upregulated in various malignancies and considered to function as a novel oncogene in tumor development. This anomalous expression typically resulted in poor clinical outcomes such as shorter OS and RFS, positive LNM, advanced tumor stage, and earlier DM (ref. Li et al., 2019; ref. Liu and Meng, 2020; ref. Ma et al., 2021). In many malignancies, LINC00662 was also engaged in cell biological processes, including cell proliferation, migration, invasion, cell cycle arrest, and apoptosis inhibition (ref. He et al., 2021). LINC00662 could act as a molecular sponge for miRNAs that influence tumor progression, and these miRNAs include miR-497-5p, miR-30b-3p, miR-103a-3p, etc. (ref. Wang et al., 2019; ref. Liu Y. L. et al., 2021; ref. Wang et al., 2022). As a whole, these papers suggested that LINC00662 was linked to carcinogenesis and progression.
Because of the usefulness of LINC00662 in various cancers remains disputed, we conducted a meta-analysis to investigate the prognostic value and clinicopathological significance of LINC00662 differential expression in cancer patients. Our results suggested that LINC00662 overexpression was remarkably interrelated with worse OS in cancer patients and shorter RFS in patients with HCC. Moreover, further subgroup analysis indicated that LINC00662 overexpression was remarkably interrelated with worse OS in all subgroups, irrespective of the tumor type, follow-up time, HR availability and NOS score. Furthermore, patients with LINC00662 overexpression were more likely to have advanced tumor stage, larger tumor size, earlier LNM, and earlier DM. In a word, LINC00662 has an oncogenic role in tumors and may be a promising prognostic indicator. In addition, we used a public database to further confirm our results. LINC00662 overexpression was discovered in CHOL, DLBC, PCPG, SKCM, and THYM. Elevated LINC00662 expression was interrelated with worse OS in ACC, KICH, LGG, LIHC, SARC, THCA, and shorter DFS in ACC, KICH, LGG, LIHC. Collectively, the findings indicated that LINC00662 may be used as a novel biomarker for prognosis in cancer patients.
LINC00662 mainly acts through the Wnt/β-catenin signaling pathway, SMD signaling pathway, the ERK signaling pathway, and Hippo signaling pathway (ref. Liu et al., 2018; ref. Cheng B. et al., 2020; ref. Tian et al., 2020). Furthermore, bioinformatics databases were used to forecast the functional mechanisms of LINC00662. GO and KEGG analyses indicated that the main biological functions of LINC00662-related genes were the cellular amino acid biosynthetic process, mitochondrial matrix, and transaminase activity, and that these genes were mainly significantly associated with amino acid metabolic pathways. These findings act as a reference for future studies on the mechanism of action of LINC00662.
Our meta-analysis has several limitations. Firstly, the sample size was relatively small and all incorporated items were conducted in China influenced the generalizability of the findings. To resolve this problem, we further verified our results by using public database to improve the credibility of our conclusions. Secondly, the HR values and 95% CIs for certain studies were obtained through KM curves extraction, which may have introduced some bias due to inaccurate calculation. Additionally, the cut-off of LINC00662 expression varied from study to study, which may have led to heterogeneity among studies.
Conclusion
In summary, our study indicated that elevated LINC00662 expression is significantly correlated with shorter survival (including OS and RFS) and worse clinicopathological features (including tumor stage, tumor size, LNM, and DM). Therefore, LINC00662 could be a promising prognostic biomarker and therapeutic target in various cancers. Nevertheless, our conclusions require further confirmation through additional multicenter, high-quality, large-sample studies.
References
- M. A. Avila, C. Berasain, B. Sangro, J. Prieto. New therapies for hepatocellular carcinoma.. Oncogene, 2006. [DOI | PubMed]
- C. Chen, Y. Feng, J. Wang, Y. Liang, W. Zou. Long non-coding RNA SNHG15 in various cancers: A meta and bioinformatic analysis.. BMC Cancer, 2020. [DOI | PubMed]
- W. Chen, Y. Li, L. Guo, C. Zhang, S. Tang. Long non-coding RNA FTX predicts a poor prognosis of human cancers: A meta-analysis.. Biosci. Rep., 2021. [DOI | PubMed]
- Y. Z. Chen, C. C. Bao, X. X. Zhang, X. S. Lin, Y. M. Fu. Knockdown of LINC00662 represses AK4 and attenuates radioresistance of oral squamous cell carcinoma.. Cancer Cell Int., 2020. [DOI | PubMed]
- B. Cheng, A. M. Rong, Q. B. Zhou, W. L. Li. LncRNA LINC00662 promotes colon cancer tumor growth and metastasis by competitively binding with miR-340-5p to regulate CLDN8/IL22 co-expression and activating ERK signaling pathway.. J. Exp. Clin. Cancer Res., 2020. [DOI | PubMed]
- L. Cheng, Z. H. Xing, P. Zhang, W. Q. Xu. Long non-coding RNA LINC00662 promotes proliferation and migration of breast cancer cells via regulating the miR-497-5p/EglN2 axis.. Acta Biochim. Pol., 2020. [DOI | PubMed]
- L. Ge, J. H. Tian, Y. N. Li, J. X. Pan, G. Li, D. Wei. Association between prospective registration and overall reporting and methodological quality of systematic reviews: A meta-epidemiological study.. J. Clin. Epidemiol., 2018. [DOI | PubMed]
- Y. B. Geng, Y. L. Wu, C. Xu, T. Li, L. W. Zhang. Long non-coding RNA LINC00662 regulated proliferation and migration by targeting miR-34a-5p/lman2l Axis in glioma.. Onco. Targets. Ther., 2020. [DOI | PubMed]
- W. J. Gong, Y. Su, Y. Liu, P. Sun, X. M. Wang. Long non-coding RNA Linc00662 promotes cell invasion and contributes to cancer stem cell-like phenotypes in lung cancer cells.. J. Biochem., 2018. [DOI | PubMed]
- T. Guo, C. Gong, P. Wu, S. F. Battaglia-Hsu, J. Feng, P. P. Liu. LINC00662 promotes hepatocellular carcinoma progression via altering genomic methylation profiles.. Cell Death Differ., 2020. [DOI | PubMed]
- Y. He, Y. Xu, X. Yu, Z. Sun, W. Guo. The vital roles of LINC00662 in human cancers.. Front. Cell Dev. Biol., 2021. [DOI | PubMed]
- S. P. Hu, M. X. Ge, L. Gao, M. Jiang, K. W. Hu. LncRNA HCP5 as a potential therapeutic target and prognostic biomarker for various cancers: A meta-analysis and bioinformatics analysis.. Cancer Cell Int., 2021. [DOI | PubMed]
- J. Huang, F. Lin, C. Xu, Y. Xu. LINC00662 facilitates osteosarcoma progression via sponging miR-103a-3p and regulating SIK2 expression.. J. Tissue Eng. Regen. Med., 2021. [DOI | PubMed]
- M. Huarte, J. L. Rinn. Large non-coding RNAs: Missing links in cancer?. Hum. Mol. Genet., 2010. [DOI | PubMed]
- N. Li, L. Y. Zhang, Y. H. Qiao, R. J. Song. Long noncoding RNA LINC00662 functions as miRNA sponge to promote the prostate cancer tumorigenesis through targeting miR-34a.. Eur. Rev. Med. Pharmacol. Sci., 2019. [DOI | PubMed]
- Y. Lin, Y. Shen, J. Chen, C. Hu, Z. Zhou, C. Yuan. The function of LncRNA FTX in several common cancers.. Curr. Pharm. Des., 2021. [DOI | PubMed]
- P. Liu P., J. Widjaja, P. R. Dolo, L. Yao, J. Hong, Y. Shao. Comparing the anti-diabetic effect of sleeve gastrectomy with transit bipartition against sleeve gastrectomy and roux-en-Y gastric bypass using a diabetic rodent model.. Obes. Surg., 2021. [DOI | PubMed]
- S. H. Liu, X. H. Meng. LINC00662 long non-coding RNA knockdown attenuates the proliferation, migration, and invasion of osteosarcoma cells by regulating the microRNA-15a-5p/notch2 Axis.. Onco. Targets. Ther., 2020. [DOI | PubMed]
- Y. L. Liu, S. Qiu, X. L. Zheng, Y. Y. Qiu, S. H. Yao, Y. Ge. LINC00662 modulates cervical cancer cell proliferation, invasion, and apoptosis via sponging miR-103a-3p and upregulating PDK4.. Mol. Carcinog., 2021. [DOI | PubMed]
- Z. Liu, Y. Yao, S. Huang, L. Li, B. Jiang, H. Guo. LINC00662 promotes gastric cancer cell growth by modulating the Hippo-YAP1 pathway.. Biochem. Biophys. Res. Commun., 2018. [DOI | PubMed]
- X. Lv, Y. J. Lian, Z. Y. Liu, J. G. Xiao, D. H. Zhang, X. H. Yin. Exosomal long non-coding RNA LINC00662 promotes non-small cell lung cancer progression by miR-320d/E2F1 axis.. Aging, 2021. [DOI | PubMed]
- X. Ma, Y. Wen, Y. Wang, M. Zhang, L. Shi, C. Wang. Linc00662 plays an oncogenic role in bladder cancer by sponging miR-199a-5p.. Am. J. Transl. Res., 2021. [PubMed]
- S. Müller, S. Raulefs, P. Bruns, F. Afonso-Grunz, A. Plötner, R. Thermann. Next-generation sequencing reveals novel differentially regulated mRNAs, lncRNAs, miRNAs, sdRNAs and a piRNA in pancreatic cancer.. Mol. Cancer, 2015. [DOI | PubMed]
- A. Renganathan, E. Felley-Bosco. Long noncoding RNAs in cancer and therapeutic potential.. Adv. Exp. Med. Biol., 2017. [DOI | PubMed]
- H. Sung, J. Ferlay, R. L. Siegel, M. Laversanne, I. Soerjomataram, A. Jemal. Global cancer statistics 2020: GLOBOCAN estimates of incidence and mortality worldwide for 36 cancers in 185 countries.. Ca. Cancer J. Clin., 2021. [DOI | PubMed]
- F. Tao, L. Qi, G. Liu. Long intergenic non-protein coding RNA 662 accelerates the progression of gastric cancer through up-regulating centrosomal protein 55 by sponging microRNA-195-5p.. Bioengineered, 2022. [DOI | PubMed]
- L. M. Tao, Y. F. Gong, H. M. Yang, J. H. Pei, X. J. Zhao, S. S. Liu. LINC00662 promotes glycolysis and cell survival by regulating miR- 375/HIF-1α axis in ovarian cancer.. J. Biol. Regul. Homeost. Agents, 2020. [DOI | PubMed]
- X. Tian, Y. Wu, Y. Yang, J. Wang, M. Niu, S. Gao. Long noncoding RNA LINC00662 promotes M2 macrophage polarization and hepatocellular carcinoma progression via activating Wnt/β-catenin signaling.. Mol. Oncol., 2020. [DOI | PubMed]
- B. Wang, Z. Xu, X. Wang, S. Xia, P. Cai, M. Wang. Knockdown of lncRNA LINC00662 suppresses malignant behaviour of osteosarcoma cells via competition with miR-30b-3p to regulate ELK1 expression.. J. Orthop. Surg. Res., 2022. [DOI | PubMed]
- C. B. Wang, Y. Wang, J. J. Wang, X. L. Guo. LINC00662 triggers malignant progression of chordoma by the activation of RNF144B via targeting miR-16-5p.. Eur. Rev. Med. Pharmacol. Sci., 2020. [DOI | PubMed]
- H. Wang, M. Yu, W. Hu, X. Chen, Y. Luo, X. Lin. Linc00662 promotes tumorigenesis and progression by regulating miR-497-5p/AVL9 Axis in colorectal cancer.. Front. Genet., 2019. [DOI | PubMed]
- Y. Wang, L. Fu, T. Lu, G. Zhang, J. Zhang, Y. Zhao. Clinicopathological and prognostic significance of long non-coding RNA miat in human cancers: A review and meta-analysis.. Front. Genet., 2021. [DOI | PubMed]
- J. M. Wei, L. L. Wang, Y. L. Sun, Y. X. Bao. LINC00662contributes to the progression and the radioresistance of cervical cancer by regulatingmiR-497-5p andCDC25A.. Cell biochem. Funct., 2020. [DOI | PubMed]
- J. S. Wu, X. L. Guo, D. X. Xu, H. R. Zhang. LINC00662 sponges miR-107 accelerating the invasiveness and proliferation of glioma cells.. J. Cancer, 2020. [DOI | PubMed]
- Y. Wu, Q. H. Guo, X. Z. Ju, Z. X. Hu, L. F. Xia, Y. Deng. HNRNPH1-stabilized LINC00662 promotes ovarian cancer progression by activating the GRP78/p38 pathway.. Oncogene, 2021. [DOI | PubMed]
- X. Q. Xia, W. L. Lu, Y. Y. Ye, J. Chen. LINC00662 promotes cell proliferation, migration and invasion of melanoma by sponging miR-890 to upregulate ELK3.. Eur. Rev. Med. Pharmacol. Sci., 2020. [DOI | PubMed]
- Z. Y. Xu, J. Peng, Z. Z. Shi, X. L. Chen, H. Z. Cheng, H. Wang. Silencing linc00662 inhibits cell proliferation and colony formation of lung cancer cells via regulating the miR-145-5p-PAFAH1B2 axis.. Biochem. Cell Biol., 2021. [DOI | PubMed]
- M. Xue, Y. Zhuo, B. Shan. MicroRNAs, long noncoding RNAs, and their functions in human disease.. Methods Mol. Biol., 2017. [DOI | PubMed]
- M. Yu, W. Lu, Z. Cao, T. Xuan. LncRNA LINC00662 exerts an oncogenic effect on osteosarcoma by the miR-16-5p/ITPR1 Axis.. J. Oncol., 2021. [DOI | PubMed]
- G. Zhang, L. Fu, Y. Wang, B. Liu, S. Ma, H. Ma. Integrative pan-cancer analysis indicates the prognostic importance of long noncoding RNA SNHG17 in human cancers.. Pathol. Res. Pract., 2022a. [DOI | PubMed]
- G. Zhang, Y. Wang, X. Han, T. Lu, L. Fu, H. Jin. FOXP4-AS1 may be a potential prognostic biomarker in human cancers: A meta-analysis and bioinformatics analysis.. Front. Oncol., 2022b. [DOI | PubMed]
- Z. M. Zhang, X. Y. Liang, L. Ren, S. X. Zhang, S. Y. Li, T. X. Wan. LINC00662promotes cell viability and metastasis in esophageal squamous cell carcinoma by spongingmiR-340-5p and upregulatingHOXB2.. Thorac. Cancer, 2020. [DOI | PubMed]
- C. Zhong, Q. Zhang, M. Zhang, Y. Qi, S. Duan. LINC00662: A new oncogenic lncRNA with great potential.. J. Cell. Physiol., 2021. [DOI | PubMed]
