RETRACTED ARTICLE: Optical and structural properties of Sn and Ag-doped PbS/PVA nanocomposites synthesized by chemical bath deposition
Abstract
In this work, Sn and Ag doped PbS/PVA nanocomposites, in three different concentrations were successfully prepared using the low-cost and simple method of chemical bath deposition (CBD). X-ray diffraction patterns confirmed the formation of the PbS cubic phase in all of the nanocomposites. FE-SEM images showed that PbS NPs are cubic in shape and the doping can alter the shape of grains. DLS analysis applied for solution NPs exhibited a 175 nm size distribution for PbS NPs and decreased by doping Ag and Sn to almost 100 nm and 110 nm, respectively. Optical absorption spectra showed the blue phenomena and the band gaps of Sn: PbS/PVA and Ag: PbS/PVA nanocomposites increased with adding Sn and Ag from 3.08 eV for pure PVA/PbS to 3.33 eV for Sn doped and 3.43 eV for Ag-doped samples. The nonlinear refractive index is decreased from 0.55 m2 W−1 for pure PVA/PbS to 0.11 m2 W−1 and 0.13 m2 W−1 for Sn and Ag-doped samples, respectively. Hence, doping Ag and Sn enhanced the optical sensitivity issue of nanocomposites and raised the optical resistivity. Collectively, our results can be useful in the design of linear and nonlinear optical devices such as sensors and optical switches and limiters.
Article type: Research Article
Keywords: Nonlinear optics, Photonic crystals, Materials science, Nanoparticles, Structural properties
Affiliations: https://ror.org/05pg2cw06grid.411468.e0000 0004 0417 5692Department of Physics, Azarbaijan Shahid Madani University, Tabriz, Iran; grid.459846.20000 0004 0611 7306Northwest Research Complex (Bonab), Radiation Applications Research School, Nuclear Science and Technology Research Institute (NSTRI), Tehran, Iran; https://ror.org/05hsgex59grid.412265.60000 0004 0406 5813Department of Physics, Kharazmi University, Tehran, Iran; grid.411463.50000 0001 0706 2472Department of Physics, Science and Research Branch, Islamic Azad University, Tehran, Iran; https://ror.org/03pnv4752grid.1024.70000 0000 8915 0953School of Chemistry and Physics and QUT Centre for Materials Science, Queensland University of Technology (QUT), Brisbane, Australia
License: © The Author(s) 2022, corrected publication 2023 CC BY 4.0 Open Access This article is licensed under a Creative Commons Attribution 4.0 International License, which permits use, sharing, adaptation, distribution and reproduction in any medium or format, as long as you give appropriate credit to the original author(s) and the source, provide a link to the Creative Commons licence, and indicate if changes were made. The images or other third party material in this article are included in the article’s Creative Commons licence, unless indicated otherwise in a credit line to the material. If material is not included in the article’s Creative Commons licence and your intended use is not permitted by statutory regulation or exceeds the permitted use, you will need to obtain permission directly from the copyright holder. To view a copy of this licence, visit http://creativecommons.org/licenses/by/4.0/.
Article links: DOI: 10.1038/s41598-022-16666-6 | PubMed: 35902699 | PMC: PMC9334611
Relevance: Relevant: mentioned in keywords or abstract
Introduction
Semiconductor nanoparticles (NPs) with tunable bandgap, structure, electrical, and linear and nonlinear optical properties are promising platforms for a variety of applications, including energy harvesting, biology, medicine, cameras, sensors, displays, communication and information technology, and illumination. Recent progress in semiconductor NPs with third-order optical susceptibility and the ultrafast response has been fueled by the rising trend toward the ever-growing market of light-controlled phase, optical switching, and optical power limiting devices1,2.
Despite the various advantages of inorganic NPs (INPs) such as inherent optical, magnetic, and electrical characteristics, synthesizing with highly controllable and uniform size, charge, composition, and shape, be designed to have multi-functionality, and finally easily functionalized with organic or biological molecules, there are basic concerning in their stability, biocompatibility, processability, and long-term cytotoxicity3–6. To modify the distinctive features of nanomaterials and build unique architectures, INPs and organic polymers are combined, and a material system with integrated characteristics is created. Accordingly, polymers have played a vital role to create a suitable platform synergistically with INPs, in which the produced systems combine the complementing capabilities of both parties to demonstrate increased features not readily accessible from their individual constituent parts. Additionally, integrating inorganic nanostructures’ optical, electrical, and magnetic capabilities with polymers leads to the development of hybrid and multimodal material systems. Polyvinyl alcohol (PVA) is used as the polymer matrix because of its mechanical strength, water solubility, and film-forming ability7–10.
Lead chalcogenides (PbX, X = S, Se, Te) are ideal materials for photovoltaics and thermoelectric devices owing to their scalable synthesis, size-tunable bandgap, solution-based deposition technology, and multiple exciton generation11,12. With the smallest direct band gap (0.41 eV) and largest exciton Bohr radius (18 nm), lead sulfide (PbS), which is a material in the IV-VI semiconductor group, has attracted a lot of attention over the years because of its promising applications in the development of optical devices like solar cells, sensors, optical switches, and infrared photodetectors13. It is also sensitive to grain size and has distinctive physical and mechanical qualities, including flexible structure, hardness, and strength14–17. However, lead toxicity is a major downside.
Lead is dangerous because it replaces other metals (iron, calcium) in biological reactions and interferes with metal flow in gene molecules. This has prevented the use of lead and cadmium nanoparticles in food and pharmaceuticals18,19. Lead’s toxicity is detrimental to the environment. It can trigger oxidative stress, tissue damage, and premature birth. Lead has the same effect on plants and animals as it does on humans by interfering with the enzymes within cells. Polluting the air, water, and soil with lead hinders the growth and survival of plants and trees20. Lead sulfide, which could be used in quantum dot solar cells and sensors, is released back into the environment when the device is broken or discarded, which can lead to the aforementioned issues. Various strategies, such as synthesis methods, doping, and combining with INPs, have been explored to combat the toxicity of lead sulphide.
From a synthesis point of view, the simplicity and low cost of the suggested nanoparticle production method are very important21,22. In this regard, we can refer to several significant approaches that are suitable for PbS-based material systems synthesis, including the sequential ion layer adsorption and reaction (SILAR)23 method, the spin-coating24 method, spray-pyrolysis25, microwave heating26, and the chemical bath method. In the SILAR process, surfaces are cleaned or coated with mesoporous TiO2 to prepare them for ion adsorption and reaction, then dipped in the precursor solution to generate the necessary layer. Spin-coating involves pouring chemicals at a specified temperature and speed onto a revolving substrate, which improves coating. The SILAR method is used to deposit PbS on TiO2 for quantum dot solar cells. This method involves dipping in metals and other raw materials, washing, and then dipping in sulfur. It forms a layer of lead sulfide on top of the TiO2, which, depending on the solvent, makes a stable, long-lasting cell. Using one-step spin coating, we prepared the material in a viscous solvent and heated the substrate to generate the lead sulfide layer. In the two-step procedure, the initial is added in stages. This method is used to deposit many layers, such as PbS on TiO2 for solar cells or the PbS monolayer. Combining these two methods may also produce sequential PbS layers. Spray-pyrolysis is another approach for coating PbS, which produces a homogenous layer and can be fine-tuned in terms of thickness. The PbS colloidal material is sprayed from a nozzle at an adjustable distance onto a rotating or stationary substrate while the substrate is heated to a temperature between 275 °C and 350 °C. For the synthesis of PbS, microwave heating is another extensively used approach, in which the precursors are heated in a microwave oven until the reaction occurs. Finally, the layer is dried in the vicinity of an oven or in the open air, depending on the method used. The chemical bath approach used in this study is superior to the other four in terms of film quality and expense27,28.
Concerning the commercialization of PbS-based material systems, it should be noted that, as a result of advances in materials engineering (surface chemistry) and device physics (structures and defect engineering), colloidal PbS-based material systems are on the verge of commercialization. The most advanced upscaling approach is continuous solution-processed roll-to-roll processing, such as spray-coating or printing-coating29. The deposition procedure affects the optoelectronic properties of colloidal quantum dots (CQD) solid films, and few studies have used revolutionary large-scale production methods30. Diverse ligand exchange techniques have been examined to minimize inter-particle spacing for better carrier transit and to improve surface passivation to reduce trap-induced recombination losses. Alternative solution-processed processes for producing colloidal PbS-based material systems may not require expensive high vacuum or temperature equipment31.
The CBD approach is inexpensive and straightforward, and it allows us to change morphological, structural, and optical aspects32. Material engineering parameters include temperature, growth duration, pH, precursor concentration, solvents, and annihilation. Temperature changes of 10 to 30 °C increased the XRD peak strength in 111 and 200 preferential orientations, particle sizes, and absorption, causing a blue shift. Furthermore, by changing the concentration of precursors, the band gap of the samples decreased with increasing particle size, whereas the decrease in NPs size is associated with the increase in the band gap. Deposition or growth duration of crystals also affects material morphology, structure, and optics. Additionally, increasing growth time increases grain size and the intensity of 111 and 200 preferred orientations in XRD patterns. Increasing the pH of the reaction dish reduces PbS particle grain size and bandgap. Changing time, pH, and PbS can vary the morphology of nanocubes, nanowires, nanotubes, and nonbars33–35.
On the other hand, the doping method, which is the most useful technique for inducing and tuning material properties, completely improved the physicochemical properties and behavior of the nanosized material, along with its many advantages13. Importantly, the nature and concentration of dopants play a critical role in achieving desirable characteristics and better efficiency for nanostructured semiconducting materials14. To use PbS in photovoltaic and photodetection applications, however, it is necessary to improve the separation efficiency of photogenerated electrons and holes, which can be accomplished by doping. Doping PbS with metal ions such as Al, Sb, Sn, Sr, and Cu for example, allows the optical and electrical properties to be adjusted, increasing the conversion efficiency36,37.
Silver (Ag) is a desirable noble metal with a high electrical conductivity and surface plasmon resonance. It is also having good biosensing and chemical characteristics, as well as minimal cytotoxicity and good stability. Besides Ag-doped inorganic materials shows outstanding antibacterial characteristics and photocatalytic activity13,38. Tin (Sn) is a semiconducting substance with characteristics such as high adsorption coefficients, low toxicity, and hole mobility. In addition, the use of Sn is accompanied by considerably increased gas sensing and photoelectrochemical characteristics39–41. Inspired by the fact that nonlinear optical characteristics of PbS as a material with third-order optical nonlinearities are expected to provide new opportunities in optical switching devices, it is required to explore the optical nonlinearity of PVA/PbS using appropriate Ag and Sn dopant concentrations42.
In this work, using Ag and Sn doping and combing PVA with PbS, we have adjusted considerably the properties of PbS NPs for widespread potential applications. PbS/PVA, Ag: PbS/PVA, and Sn: PbS/PVA nanocomposites have been prepared by using simple and low-cost chemical bath deposition (CBD). The resultant nanocomposites have been analyzed with XRD and FE-SEM morphologically. PL intensity of the samples increased with increasing the doping concentration in 280 nm excitation mode. Importantly, for the first time, NPs’ size, bandgap, and nonlinear refractive index values of the PVA/PbS material system were tuned through doping and the presence of polyvinyl alcohol (PVA) as a stabilizer of NPs. While the minimum bandgap value was 3.11 eV (PVA/PbS), the maximum bandgap value reported was 4.48 eV (PVA). The band gap values for undoped, Ag-doped and Sn-doped samples were set between 3.11 eV and 3.33 eV and 3.43 eV, respectively. Additionally, doping agents reduced particle sizes from 175 to 100 nm and 125 nm. Finally, it is evident that Ag and Sn doping decreased the nonlinear refractive index from 0.55 × 10−9 (m/W) for pure PVA/PbS to 0.13 × 10−9 (m/W) and 0.11 × 10−9 (m/W). The nonlinear properties exhibited resistance against intense light by entering the doping agent as expected. Therefore, the optical and optoelectrical properties of PbS nanoparticles (NPs) were tuned, and the tunability is related to concomitant Ag and Sn doping and stabilizing them with polyvinyl alcohol (PVA). This makes synthesized nanocomposites promising for optical switching applications, and the devices sensitive to optical damage.
Materials and methods
Synthesis of materials
The simple chemical procedure, the CBD method, was carried out for the preparation of PbS/PVA nanocomposite. Briefly, PVA aqueous solution (2 wt%) in deionized water was prepared by magnetic stirring for 1 h at 60 °C bath temperature. After the PVA solution had been allowed to age, then 5 ml \({\text{Pb}}\left( {{\text{NO}}_{3} } \right)_{2}\) (0.05 mol/lit) and 5 ml \({\text{Na}}_{2} {\text{S}}\) (0.1 mol/lit) were added to the 10 ml PVA solution drop by drop at 70 °C bath temperature and stirred for 1 h. Although at the beginning the bath was colorless, its color changed slightly from light red to brown, which proves that the PbS NPs are formed. Separately, 1.5 ml \({\text{SnCl}}_{2}\) (0.1, 0.3 and 0.6 mM) and 1.5 ml \({\text{AgNO}}_{3}\) (0.2, 0.4 and 0.8 mM) was added to the PbS/PVA solution with continuous stirring. As a control, pure PbS NPs were also synthesized under the same reaction conditions without adding Ag and Sn (PVA/PbS). The pH was adjusted to 9 in all baths. To purify the synthesized PbS/PVA, Ag: PbS/PVA, and Sn: PbS/PVA nanocomposites, they were centrifuged at 7000 rpm for 60 min. All chemicals were of analytical grade (Merck) and were used as received without further purification. The obtained PbS NPs had stability for more than 3 months.
Analysis instruments
The X-ray diffraction pattern was recorded using D8-Advance Bruker, Cu-Kα radiation (λ = 1.5406 Å). An FP-6200 spectrofluorometer (JASCO Corporation, Tokyo, Japan) and UV–Vis double beam spectrophotometer (T80 UV–Vis, PG Instruments) were used to record fluorescence and absorption spectra, respectively. FE-SEM images were obtained using MIRA3 FEG-SEM of Tescan company and DLS analysis done by the Nanotrac Wave of Microtrac company. The nonlinear optical properties of nanocomposites were measured by using the single-beam Z-scan technique. A continuous-wave He–Ne Gaussian beam with a 632.8 nm wavelength was used for the incitement of samples. Nano-colloid samples were poured into a cell with 1 mm thickness and were placed in the pass of laser light. Laser beam focused by 150 mm focal length lens that provides a 0.07 mm2 spot size and 1.54 × 106 W/m2 intensity. The nonlinear refractive index and nonlinear absorption coefficients were measured with closed and open aperture, respectively. References43,44 show the theoretical and experimental details of the Z-scan technique.
Results and discussion
Structural characterization
Figure 1 shows the XRD patterns of undoped, Ag and Sn doped PbS/PVA nanocomposite samples. It is revealed from the X-ray diffraction pattern of the samples that all diffraction peaks (> 20°) could be assigned to the cubic phase of PbS (JCPDS file no. 05-592). The diffraction peaks around angles of 26°, 30°, 43°, 50°, and 53° are clearly detected which, respectively, correspond to the (111), (200), (220), (311), and (222) Miller planes of the PbS. The appearance of sharp and number of diffraction peaks, reveals the polycrystalline nature of the nanocomposites. It is clear that the PVA only arrests the PbS NPs growth and does not introduce any phase change. The peak located at 2θ = 20° corresponds to PVA.

It is proven that the requirements for preferred orientation depend solely on the stress deviators. For equilibrium over a given crystal-fluid interface, the optimal crystal orientation under any force is typically one for which the crystal’s elastically weakest direction is perpendicular to the interface. The ideal orientation minimizes the chemical potential required for equilibrium across the plane normal to the major pressure axis with the largest magnitude. Thus, the weakest axis of a crystal tends to line up with the greatest principal pressure axis or axes, whereas the strongest axis aligns perpendicularly thereto45.
Under certain conditions, theory predicts that a tiny girdle of crystals will form around the unique stress axis46. Then preferential orientation causes a special crystal plane to have a greater share of intensity in the XRD pattern. Preferential orientation occurs more for layered materials, which are seen under the influence of the forming and arranging stresses of the crystals. According to the previous research on the structural properties of PbS, a small amount of metal impurities injected into the PbS medium prepared in its different types of films and colloids should cause metal ions to enter the medium in three ways 47,48 as a replacement for Pb2+ ions; distribute among PbS particles; or both substitution and distribution at the same time in different proportions. However, impurities change the shape of the lattice, and this changes the strength and width of the peaks in the diffraction pattern48. On the other hand, as the crystal becomes smaller and the number of crystal defects increases, the intensity of the peak in X-ray diffraction increases, and there is a minor shift toward bigger angles at the peak angular location due to kinematic scattering49. Here, diffraction intensity increases in the direction of the crystal plane (220) and shifts to larger angles (Fig. 2). With the entrance of silver and tin ions, the X-ray pattern remains unchanged and only a change in the intensity of the peaks is discernible. In particular, silver and tin have smaller ionic radii than lead, thereby we believe that Sn2+ and Ag+ distribute among PbS NPs.

Notably, by increasing the doping concentration, the peaks were sharp and stronger. In addition, the XRD patterns do not show the existence of Sn and Ag element diffraction peaks, which confirmed that nanocomposites include only Ag:PbS and Sn:PbS compounds rather than a co‐formation of separate elements. XRD pattern for PbS is compatible with previous reports50,51. Our results are in agreement with previous works, in which PbS material is studied under metal doping50,52–54.
Not only was there no substantial change as a result of the steady addition of Sn and Ag dopants, but there was also a decrease in the intensity of XRD reflections regarding the (111) and (200), which can be attributed to Sn-and Ag-doping. This results in some lattice disorder. Notably, doping usually causes lattice disorder at the same time, and the amount of damage is proportional to the amount of Sn and Ag doping. Table 1 shows the calculated values for crystallite size, strain size, and lattice constant.
Table 1: Numerical values of PVA/PbS and Sn (Ag) doped PVA/PbS crystal parameters.
| Sample | (hkl) | 2 Theta (deg) | FWHM(β) (rad) | d-spacing (Å) | Crystallite size (nm) | Strain (ε) × 10−3 | Lattice constant (Å) |
|---|---|---|---|---|---|---|---|
| PbS/PVA | (220) | 43.48 | 0.4086 | 2.0812 | 21.8532 | 1.6 | 5.8829 |
| Sn: PbS/PVA (0.1 µM) | (220) | 43.70 | 0.3933 | 2.0709 | 22.7208 | 1.5 | 5.8548 |
| Sn: PbS/PVA (0.3 µM) | (220) | 43.86 | 0.4455 | 2.0639 | 20.0698 | 1.8 | 5.8350 |
| Sn: PbS/PVA (0.6 µM) | (220) | 43.83 | 0.2055 | 2.0653 | 43.5044 | 0.83 | 5.8407 |
| Ag: PbS/PVA (0.2 µM) | (220) | 43.49 | 0.4290 | 2.0810 | 20.8147 | 1.7 | 5.8412 |
| Ag: PbS/PVA (0.4 µM) | (220) | 43.83 | 0.1736 | 2.0652 | 51.4986 | 0.71 | 5.8429 |
| Ag: PbS/PVA (0.8 µM) | (220) | 43.82 | 0.1904 | 2.0657 | 46.9530 | 0.77 | 5.8831 |
The broadened profile of the diffraction peaks originates from the small sizes of the nanocrystals. The Debye–Scherrer equation is used to estimate the crystallite size:
\[
D = k\lambda {/}\beta_{2\theta } \cos \theta ,
\]
and micro-strain (ε) is determined using the following relation:
\[
\varepsilon = \frac{{\beta_{2\theta } {\text{cos}}\theta }}{4}
\]
here \(\beta_{2\theta }\) is FWHM of the diffraction peak corrected for instrumental factors, λ = 1.5406 Å, and k is the shape factor which takes a value of about 0.9. The size of the PbS crystallites has been estimated to be 8.53 nm, 20 nm and 16.7 nm for undoped, Sn doped (0.6 μM) and Ag doped (0.8 μM) samples at (220) Miller plane, respectively. Apart from Sn 0.3 μM and Ag 0.2 μM, the crystallite size increases with the addition of impurities. Also, for strain size, it can be stated that its value does not follow a specific trend. It must be mentioned that the X waves diffract from the surface of different polycrystals in the X-Ray case, and calculating the size from the Debye–Scherrer relation gives the average crystallite size; however, the scattering of light in the case of DLS from a bunch of (clusters) crystallites gives the average particle sizes, so the average particle sizes are obviously larger than the average crystallite size.
The lattice constant a was calculated using the following equation:
\[
\frac{1}{{d^{2}_{hkl} }} = \frac{{h^{2} + k^{2} + l^{2} }}{{a^{2} }}
\]
The mean values of the lattice constant for the PbS/PVA, Ag: PbS/PVA (0.2 μM AgNO3) and Sn: PbS/PVA (0.3 μM SnCl2) samples were 5.8829, 5.8412 and 5.8350 Å, respectively. With the addition of Ag and Sn doping content the lattice constant a decrease, indicating the successful incorporation of Ag and Sn at Pb sites. The lattice constant of the bulk PbS crystals, according to the reference data, is 5.9360 Å. This shows that the NPs were under strain which depends on the preparation conditions.
As Ag+ and Sn2+ ions incorporate into PbS/PVA nanocomposite and increasing the concentration of impurity make identical peaks stronger. The rising of lattice parameters with Ag and Sn doping could be attributed to the diffusion of the small ionic radius of Ag+ and Sn2+ ions into the PbS unit cell during the interaction process, which resulted in the unit cell volume expanding. Using Vegard’s law, we can figure out how Ag and Sn doping in the PVA/PbS matrix, which can happen either interstitially or substitutionally, affects the lattice constants. Ag (i.e., 0.115 nm) and Sn (i.e., 0.118 nm) have smaller ionic radii than Pb (i.e., 0.119 nm), which also supports the possibility of interstitial doping.
FE-SEM and DLS studies
For investigating the morphology of the obtained nanocomposites, the two set products (doped and undoped) were analyzed by field emission scanning electron microscopy (FE-SEM). Figure 3 shows SEM and high-magnification SEM images of PbS/PVA nanocomposites for pure PbS/PVA (Fig. 3a), 0.8 μM Ag-doped PbS/PVA (Fig. 3b), and 0.6 μM Sn-doped PbS/PVA (Fig. 3c) with 70 °C bath temperature and stirred for 1 h. The SEM images of all samples illustrate the appropriate size distribution of PbS NPs embedded in PVA. In Fig. 3a, the high-resolution FE-SEM image of PbS/PVA shows that the shape of particles is cubic with nearly equal size.

The FE-SEM images of Ag (Fig. 3b) and Sn (Fig. 3c) doped PbS/PVA samples reveal the change in particle shape. With Ag and Sn doping, the morphology of the NPs changes to spherical and the average size decreases. The same results for morphology variation, have been obtained by other researchers52,54.
An efficient tool for measuring particle size distribution is the dynamic light scattering (DLS), which uses for measuring the colloidal solutions size distribution of NPs. Dispersed NPs in the colloidal solution can scatter the incident light proportional to the sixth power of particle radii. For NPs smaller than one-tenth of incident light wavelength, the scattering is independent of angle (Rayleigh scattering). By exceeding this limit the energy of light scatters in different directions with different amounts (Mie scattering) and makes the size measuring possible by detecting the uneven energy scattering55. For particles that are not spherical, nanotubes, nanorods, DLS uses hypothetical radii corresponding to a sphere56. The intensity distribution describes how much light is scattered by the particles in different sizes on the DLS data plot.
DLS is an ensemble averaging instrument whose size estimations are derived from observing the diffusion of a very large number of particles in the observation volume of the experiment57. Hence, many TEM and SEM researchers appear to take fewer than a few hundred photos, so their nanoparticle population numbers are not as robust as those from DLS. In addition, DLS is a phase solution analysis, which can be an additional benefit because particles agglomerate during drying. DLS is a good technique for detecting the particle size of suspensions ranging from 1 nm to about 10 m58. During the production of a substance, the majority of particles can be made to have the same size or shape because of how the temperature, concentration, pH, and other parameters are set. The majority of PbS nanoparticles were discovered to have an average particle size of 175 nm. The entry of two ions of Ag+ and Sn2+ shifts the maximum particle size distribution to smaller numbers, i.e., below 150 nm. The DLS analyses of pure, Ag and Sn doped samples, are presented in Fig. 4. It can be seen that the average particle sizes of pure PbS/PVA, Ag and Sn doped PbS/PVA are 175 nm, 100 nm and 110 nm, respectively.

In this study, particle size was evaluated using FE-SEM images acquired with image-J software. The particle diameters of PVA/PbS, Ag and Sn-doped PVA/PbS were 180, 110, and 130 nm, respectively. This indicates a close correlation with the DLS results. The disparities between XRD-calculated crystallite sizes and FE-SEM-obtained particle sizes are due to the difference between crystallite size and particle size. By lowering the particle size, these two can approach. From the results of XRD and SEM, we can figure out that FE-SEM-recorded particles are made when several crystallites stick together and are arranged in different ways during the synthesis process.
Optical study
Absorption and bandgap
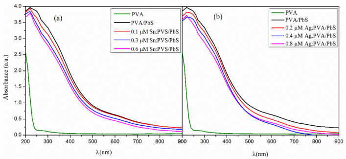
It is well known that nanocomposite materials show interesting size and dopant-dependent absorption and emission properties. Figure 5, comprises the room-temperature optical absorption of PVA, undoped PbS/PVA with Sn doped (Fig. 5a), and Ag-doped (Fig. 5b) samples, at different concentrations of Sn and Ag in the range of 200–900 nm. It can be seen that the absorbance value rises from the long wavelength to the short wavelength. The undoped, Ag, and Sn doped PbS/PVA samples, exhibit excitation absorption peaks at 220–300 nm. These absorption peaks can be attributed to the 1Se-1Sh, and 1Se-1Ph transitions of PbS nanoparticles59.

The bandgap of the samples was estimated using the Tauc relation, that is:
\[
(\alpha h\nu )^{2} = B(h\nu – E_{g} )
\]
where B and Eg are a constant and the bandgap energy, respectively. The values of the optical absorption coefficient, \(\alpha\), were calculated from \(\alpha = {{2.303A} \mathord{\left/ {\vphantom {{2.303A} d}} \right. \kern-\nulldelimiterspace} d}\), where A and d are the absorbance value and cell thickness, respectively. Figure 6, presents the functional dependence of \((\alpha h\nu )^{2}\) verses \((h\nu )\) for undoped and Sn-doped PbS/PVA (Fig. 6a) and undoped and Ag-doped (Fig. 6b) nanocomposites. This variation is a straight line, which confirms the direct optical transition. The extrapolation of straight-line portions of the resulting plot to zero absorption coefficient, \(\alpha = 0\), leads to the estimation of the bandgap energy values. By this, the bandgap energy values are 3.08 eV for pure PVA/PbS and 3.11, 3.25 and, 3.33 eV for 0.1, 0.3 and, 0.6 μM Sn doped samples as well as 3.15, 3.31, and 3.43 eV for 0.2, 0.4, and 0.8 μM Ag-doped samples, respectively. Interestingly, in line with the previous study38, we have shown that the measured opto-electrical values and characteristics make synthesized nanocomposites good for photovoltaic applications.

The large confinement radii of PbS NPs (~ 20 nm), allow higher tunability of their optical and optoelectrical properties. Then the bandgap values were increased by increasing dopant concentration. In all samples, the bandgap increases from the bulk bandgap value (~ 0.41 eV) of PbS, which is attributed to the quantum confinement effect in PbS nanocrystals embedded PVA matrix. This control over the bandgap using metal impurity made PbS/polymer NPs a good candidate for optoelectronic devices and sensors. Previous reports of the doping effect for tuning optical properties of PbS exhibited the increase and decrease in absorption and bandgap values with respect to dopant type and concentration but most of them reported the blue shift50,52,60,61.
Photoluminescence spectroscopy
Embedded NPs in the polymer may significantly enhance the excitation transfer efficiency across the nanoparticle-polymer interface and thereby plays an important role to achieve enhanced quantum efficiency in optical devices. Also, the luminescent properties of metal-doped PbS nanoparticles appear to be quite useful to study because metal-doped PbS the same as PbS nanoparticles in polymer have strong visible photoluminescence (PL) at room temperature.
Here, PL measurement of nanocomposites was carried out with a spectrofluorometer at room temperature. Under irradiation at 280 nm excitation wavelength, photoluminescence emission spectra of Sn and Ag-doped PbS/PVA are shown in Fig. 7a,b, respectively. In both cases, the PL spectra show a nearly sharp emission peak at 428 nm. Sharp PL transitions have applications in fluorescent markers and laser emitters. Similar to the absorption, the strong quantum confinement is also reflected in the room-temperature PL spectra of the PbS/PVA nanocomposites.

Cao et al.62 have reported that the PL peak for their PbS nanocubes appeared at 434 nm. They synthesized the PbS nanocrystals through a facile and inexpensive synthetic route between lead acetate and dithioglycol without any surfactant. A PL peak at about 428 nm is associated with the transition of electrons from the conduction band edge to holes trapped in interstitial Pb2+ sites. The emission at 428 nm exhibits a Stokes’ shift compared with the absorption band edge (220–300 nm) in the UV–Vis absorption spectra (Fig. 5). Also, doped PbS/PVA shows a Stokes shift greater than the pure PbS/PVA. Hence, we find that the incorporation of Ag and Sn in PbS NPs increases the Stokes shift.
It is obvious that PL intensity in Sn-doped (Fig. 7a) and Ag-doped nanocomposites (Fig. 7b) have increased compared with undoped PbS/PVA. Then, Sn and Ag ions intensified the photoluminescence in our sample conditions. In general, nanocomposites’ PL intensity has increased with increasing Sn and Ag concentrations. Pendyala and Rao63 have synthesized the PbS quantum dots in PVA capped with mercaptoethanol (C2H5OSH) and tested their PL response in the NIR region for ion probing. They showed that Zn, Cd, Ag, and Hg enhanced the luminescence intensity and Cu quenched the luminescence. Their experiments were carried out on thin films, but we performed experiments on solutions from samples. However, most of the researchers reported that Ag+ could quench the PL of cadmium chalcogenides such as CdS, CdSe, and CdTe nanoparticles. Also, few reports have on PL enhancement of CdS NPs by Ag+ ions63. It is well known that the enhancement of PL was attributed to the passivation of surface trap states and quenching mechanisms can be related to the non-radiative recombination pathways and electron transfer processes. Also, the PL enhancement or quenching depends on the band alignment of the respective interacting ion species and the selectivity of the capping agent63,64.
Our prepared PbS/PVA, Ag, and Sn doped nanocomposites show suitable stability for more than 3 months when stored in a refrigerator and no major decrease in PL intensity was observed. Considering these properties, Sn and Ag-doped PbS/PVA nanocomposites can be introduced as appropriate for ion probing applications as well.
Nonlinear optical properties
It is well known that an intense laser irradiance leads to optical nonlinear phenomena in the materials65. The nonlinear refractive index and nonlinear absorption coefficient can be measured by applying the closed and open aperture Z-scan techniques, respectively. The nonlinear refractive index, \({\text{n}}_{2}\), can be calculated by recording the closed aperture data and using the following Eq. 66,67:
\[
{\text{n}}_{2} = \frac{{\Delta {\text{P}}_{{{\text{p}} – {\text{v}}}} {\uplambda }}}{{0.406(1 – {\text{S}})^{0.25} 2{\pi I}_{0} {\text{L}}_{{{\text{eff}}}} }}
\]
where \(\Delta {\text{P}}_{{{\text{p}} – {\text{v}}}}\) is the peak-valley transmittance difference, \(\lambda\) the incident beam wavelength, S the aperture transmittance, \(I_{0} = \frac{{2P_{in} }}{{\pi \omega_{0}^{2} }}\) is the incident intensity at the focal point with Pin the laser power. Additionally, \({\text{L}}_{{{\text{eff}}}} = \left( {1 – {\text{e}}^{{ – {\alpha L}}} } \right)/{\upalpha }\) is the effective thickness of the sample with L as the sample thickness and α as the linear absorption coefficient. These data from close aperture are fitted by the equation from the theoretical interview66. The presence of peak-valley in close aperture data shows the self-defocusing phenomena that correspond with a negative nonlinear index (n2 < 0)42. The origin of the nonlinear refractive index could be electronic, molecular, or thermal. Compared to other similar works42,53,68, the mechanism of nonlinearity in this work is thermal. From Fig. 8, it is obvious by doping Ag (Fig. 8a) and Sn (Fig. 8b), the nonlinear refractive index decreased by increasing impurity concentrations. This indicates that Tin and silver could change nonlinear optical properties, which decreasing the n2 means increasing resistance against optical damage or decreasing the optical sensitivity. The numerical values of calculated nonlinear refractive index for samples are 0.55 (m2 W−1) for pure PVA/PbS and 0.44, 0.32 and, 0.11 (m2 W−1) for 0.8, 0.4 and 0.2 μM Ag:PVA/PbS and 0.49, 0.25, and 0.13 (m2 W−1) for 0.6, 0.3 and 0.1 μM Sn:PVA/PbS (Table 2). Our results can be useful in the design of linear and nonlinear optical devices such as sensors and optical switches and limiters53.

Table 2: Numerical values for the nonlinear refractive index of PVA/PbS and Sn and Ag-doped PVA/PbS.
| Sample | − n2 × 10−9 (m/W) |
|---|---|
| PbS/PVA | 0.55 |
| 0.1 µM Sn doped PbS/PVA | 0.49 |
| 0.3 µM Sn doped PbS/PVA | 0.25 |
| 0.6 µM Sn doped PbS/PVA | 0.13 |
| 0.2 µM Ag doped PbS/PVA | 0.44 |
| 0.4 µM Ag doped PbS/PVA | 0.32 |
| 0.8 µM Ag doped PbS/PVA | 0.11 |
Conclusions
Controlling and tuning the optical and optoelectrical properties of PbS nanoparticles (NPs) through doping and combining with organic materials creates a unique platform for photovoltaic and thermoelectric devices. Despite numerous investigations, the captured features have only been managed and controlled for a short range. To create PbS NPs for diverse applications, for the first time, undoped, Sn, and Ag-doped PbS/PVA nanocomposite colloidal solutions were successfully prepared using a simple, low cost, and environmentally friendly procedure. X-ray diffraction results confirmed that the pure PVA/PbS possess a cubic phase structure with a new phase after Sn and Ag doping. The crystallite phase change under doping was also determined from FE-SEM images. The particle size observed from FE-SEM and DLS analyzes is vary between 100–175 nm, and decreasing the NPs size distribution by doping is obvious. Using the doping approach, the band gap expanded to 3.33 eV for 0.6 μM Sn-doped samples and 3.43 eV for 0.8 μM Ag-doped samples. The FE-SEM images showed that PbS nanoparticles are embedded in a polymer matrix with cubic and spherical crystals in shape for undoped and doped nanocomposites, respectively. The estimated bandgap values of NPs increased with increasing the Sn and Ag concentration, which is influenced by the Ag and Sn doping at PbS. According to the PL spectrum, Sn and Ag ions increased the luminescence radiation. The Z-scan curves showed a peak-valley behavior indicating the negative nonlinear refractive index sign. It also decreased with increasing the Sn and Ag concentration. Importantly, through doping and the presence of polyvinyl alcohol (PVA) as an NP stabilizer, the size, bandgap, and nonlinear refractive index values of the PVA/PbS material system were modified in this work. The least reported bandgap value was 3.11 eV (PVA/PbS), whereas the maximum reported value was 4.48 eV (PVA). The values for the band gap for undoped, Ag-doped, and Sn-doped samples were 3.11 eV, 3.33 eV, and 3.43 eV, respectively. Moreover, doping agents diminished particle sizes from 175 to 100 nm and 125 nm. Doping the PbS-PVA composite with Ag and Sn metals decreased the nonlinear optical refractive index intensity from 0.55 × 10−9 (m/W) to 0.13 × 10−9 (m/W) and 0.11 × 10−9 (m/W) for pure PVA/PbS, Sn and Ag doped PVA/PbS, which helps to reduce the optical damage problem. Therefore, the optical and optoelectrical properties of PbS nanoparticles (NPs) were tuned, and the tunability was associated with concurrent Ag and Sn doping and polyvinyl alcohol stabilization (PVA). Finally, our findings can be applied to the development of linear and nonlinear optical devices such as sensors, optical switches, and limiters.
References
- 1.García de Arquer, F. P. et al. Semiconductor quantum dots: Technological progress and future challenges. Science373, eaaz8541 (2021).
- 2.Pomerantseva, E., Bonaccorso, F., Feng, X., Cui, Y. & Gogotsi, Y. Energy storage: The future enabled by nanomaterials. Science366, eaan8285 (2019).
- K Yang, S Zhang, J He, Z Nie. Polymers and inorganic nanoparticles: A winning combination towards assembled nanostructures for cancer imaging and therapy. Nano Today, 2021. [DOI]
- T Otsuka. Formation of quantum dots in GaN/AlGaN FETs. Sci. Rep., 2020. [DOI | PubMed]
- J Flajšmanová. Using the transient trajectories of an optically levitated nanoparticle to characterize a stochastic Duffing oscillator. Sci. Rep., 2020. [DOI | PubMed]
- N Kaur, M Singh, D Pathak, T Wagner, J Nunzi. Organic materials for photovoltaic applications: Review and mechanism. Synth. Met., 2014. [DOI]
- C Yi, Y Yang, B Liu, J He, Z Nie. Polymer-guided assembly of inorganic nanoparticles. Chem. Soc. Rev., 2020. [DOI | PubMed]
- I-Y Jeon, J-B Baek. Nanocomposites derived from polymers and inorganic nanoparticles. Materials, 2010. [DOI]
- D Pathak, R Bedi, D Kaur. Characterization of laser ablated AgInSe2 films. Mater. Sci.-Pol., 2010
- S Alem, R de Bettignies, J-M Nunzi, M Cariou. Efficient polymer-based interpenetrated network photovoltaic cells. Appl. Phys. Lett., 2004. [DOI]
- SR Rosario. Deposition of p-type Al doped PbS thin films for heterostructure solar cell device using feasible nebulizer spray pyrolysis technique. Physica B, 2019. [DOI]
- R Das, R Kumar. Preparation of nanocrystalline PbS thin films and effect of Sn doping and annealing on their structural and optical properties. Mater. Res. Bull., 2012. [DOI]
- SR Rosario. Ag-doped PbS thin films by nebulizer spray pyrolysis for solar cells. Int. J. Energy Res., 2020. [DOI]
- AM Ahmed, M Rabia, M Shaban. The structure and photoelectrochemical activity of Cr-doped PbS thin films grown by chemical bath deposition. RSC Adv., 2020. [DOI | PubMed]
- SR Rosario. Fabrication of heterostructure solar cell using the optimized Sn incorporated PbS films via atomized nebulizer spray pyrolysis. Mater. Sci. Semicond. Process., 2020. [DOI]
- J Chen. Regulating thiol ligands of p-type colloidal quantum dots for efficient infrared solar cells. ACS Energy Lett., 2021. [DOI]
- S Aynehband. Solution processing and self-organization of pbs quantum dots passivated with formamidinium lead iodide (FAPbI3). ACS Omega, 2020. [DOI | PubMed]
- M Ayoubi. Biochemical mechanisms of dose-dependent cytotoxicity and ROS-mediated apoptosis induced by lead sulfide/graphene oxide quantum dots for potential bioimaging applications. Sci. Rep., 2017. [DOI | PubMed]
- K Hedayati, M Kord, M Goodarzi, D Ghanbari, S Gharigh. Photo-catalyst and magnetic nanocomposites: Hydrothermal preparation of core–shell Fe3O4@ PbS for photo-degradation of toxic dyes. J. Mater. Sci. Mater. Electron., 2017. [DOI]
- Q Li. The oxidative damage and inflammatory response induced by lead sulfide nanoparticles in rat lung. Food Chem. Toxicol., 2013. [DOI | PubMed]
- D Jamwal. Twin-tail surfactant peculiarity in superficial fabrication of semiconductor quantum dots: toward structural, optical, and electrical features. J. Phys. Chem. C, 2015. [DOI]
- S Aynehband, M Mohammadi, R Poushimin, J-M Nunzi, A Simchi. Efficient FAPbI 3–PbS quantum dot graphene-based phototransistors. New J. Chem., 2021. [DOI]
- A Hajjaji. Enhancement of photocatalytic and photoelectrochemical properties of TiO2 nanotubes sensitized by SILAR-Deposited PbS nanoparticles. J. Materiom., 2020. [DOI]
- 24.Mlowe, S., & Revaprasadu, N. Preparation of spin coated PbS thin films using bis-tetrahydroquinolinedithiocarbamatolead (II) complex as a single source precursor. Inorg. Nano-Met. Chem., 1–5 (2022).
- B Thangaraju, P Kaliannan. Spray pyrolytically deposited PbS thin films. Semicond. Sci. Technol., 2000. [DOI]
- Y Ni. A novel aqueous-phase route to prepare flower-shaped PbS micron crystals. J. Cryst. Growth, 2004. [DOI]
- T Kim. Design strategy of quantum dot thin-film solar cells. Small, 2020. [DOI]
- Y Zhang. PbS nanoparticles for ultrashort pulse generation in optical communication region. Part. Part. Syst. Charact., 2018. [DOI]
- H Lee, H-J Song, M Shim, C Lee. Towards the commercialization of colloidal quantum dot solar cells: Perspectives on device structures and manufacturing. Energy Environ. Sci., 2020. [DOI]
- MA Mubarok. PbS-based quantum dot solar cells with engineered π-conjugated polymers achieve 13% efficiency. ACS Energy Lett., 2020. [DOI]
- Y Zhang. Hybrid quantum dot/organic heterojunction: A route to improve open-circuit voltage in PbS colloidal quantum dot solar cells. ACS Energy Lett., 2020. [DOI]
- MP Campos. Growth kinetics determine the polydispersity and size of PbS and PbSe nanocrystals. Chem. Sci., 2022. [DOI | PubMed]
- J Valenzuela-Jauregui, R Ramırez-Bon, A Mendoza-Galvan, M Sotelo-Lerma. Optical properties of PbS thin films chemically deposited at different temperatures. Thin Solid Films, 2003. [DOI]
- RK Joshi, A Kanjilal, H Sehgal. Solution grown PbS nanoparticle films. Appl. Surf. Sci., 2004. [DOI]
- B Abdallah, R Hussein, N Al-Kafri, W Zetoun. PbS thin films prepared by chemical bath deposition: effects of concentration on the morphology, structure and optical properties. Iran. J. Sci. Technol. Trans. A Sci., 2019. [DOI]
- M Liu. Colloidal quantum dot electronics. Nat. Electron., 2021. [DOI]
- S Zheng, J Chen, EM Johansson, X Zhang. PbS colloidal quantum dot inks for infrared solar cells. Iscience, 2020. [DOI | PubMed]
- MH Jameel. A comparative study on characterizations and synthesis of pure lead sulfide (PbS) and Ag-doped PbS for photovoltaic applications. Nanotechnol. Rev., 2021. [DOI]
- N Popov. Influence of Sn doping on the structural, magnetic, optical and photocatalytic properties of hematite (α-Fe2O3) nanoparticles. J. Phys. Chem. Solids, 2022. [DOI]
- S Keerthana. Influence of tin (Sn) doping on Co3O4 for enhanced photocatalytic dye degradation. Chemosphere, 2021. [DOI | PubMed]
- J Yang. Sn doping effect on NiO hollow nanofibers based gas sensors about the humidity dependence for triethylamine detection. Sens. Actuators B Chem., 2021. [DOI]
- M Rahma, H Saadon, M Mahdi. High-performance all-optical limiting based on nonlinear refraction of metal-doped PbS/PVA freestanding nanocomposite films. Optik, 2018. [DOI]
- 43.Van Stryland, E. W. & Sheik-Bahae, M. in Materials Characterization and Optical Probe Techniques: A Critical Review. 102910Q (International Society for Optics and Photonics).
- 44.Singh, V. & Aghamkar, P. in AIP Conference Proceedings. 030095 (AIP Publishing LLC).
- AE Madani. Experimental and Ab initio investigation of the physical properties of PbS thin films prepared by chemical bath deposition (CBD). Braz. J. Phys., 2021. [DOI]
- M Cheraghizade, R Yousefi, F Jamali-Sheini, A Saáedi, NM Huang. Large-scale and facial fabrication of PbS nanorods by sulfuration of a Pb sheet. Mater. Sci. Semicond. Process., 2014. [DOI]
- OP Moreno. Morphological, optical and structural analysis in CdS, CdS-CdCO3 and CdCO3 thin solid films grown by chemical bath. Optik, 2018. [DOI]
- OP Moreno. Optical and structural properties of PbSIn3+ nanocrystals grown by chemical bath. Thin Solid Films, 2016. [DOI]
- Z Tshemese, MD Khan, S Mlowe, N Revaprasadu. Synthesis and characterization of PbS nanoparticles in an ionic liquid using single and dual source precursors. Mater. Sci. Eng. B, 2018. [DOI]
- M Shkir, KV Chandekar, T Alshahrani, A Kumar, S AlFaify. A novel terbium doping effect on physical properties of lead sulfide nanostructures: A facile synthesis and characterization. J. Mater. Res., 2020. [DOI]
- TM Hammad, JK Salem, S Kuhn, NMA Shanab, R Hempelmann. Surface morphology and optical properties of PVA/PbS nanoparticles. J. Lumin., 2015. [DOI]
- M Shkir. Facilely synthesized Cu: PbS nanoparticles and their structural, morphological, optical, dielectric and electrical studies for optoelectronic applications. Mater. Sci. Semicond. Process., 2019. [DOI]
- V Krishnakumar, G Shanmugam, R Nagalakshmi. Large third-order optical nonlinearity of Mg-doped PbS/PVA freestanding nanocomposite films. J. Phys. D Appl. Phys., 2012. [DOI]
- M Shkir. Rapid microwave-assisted synthesis of Ag-doped PbS nanoparticles for optoelectronic applications. Ceram. Int., 2019. [DOI]
- S Bhattacharjee. DLS and zeta potential–what they are and what they are not?. J. Control Release, 2016. [DOI | PubMed]
- VY Rudyak, D Tretiakov. On diffusion of single-walled carbon nanotubes. Thermophys. Aeromech., 2020. [DOI]
- AA Bhirde, M-J Chiang, R Venna, S Beaucage, K Brorson. High-throughput in-use and stress size stability screening of protein therapeutics using algorithm-driven dynamic light scattering. J. Pharm. Sci., 2018. [DOI | PubMed]
- C Ligiero. Influence of particle size on the SARS-CoV-2 spike protein detection using IgG-capped gold nanoparticles and dynamic light scattering. Mater. Today Chem., 2022. [DOI | PubMed]
- B Liu. Optical properties and thermal stability evaluation of solar absorbers enhanced by nanostructured selective coating films. Powder Technol., 2021. [DOI]
- M Shkir, I Yahia, S AlFaify. A facilely one pot low temperature synthesis of novel Pt doped PbS nanopowders and their characterizations for optoelectronic applications. J. Mol. Struct., 2019. [DOI]
- 61.Shkir, M., Khan, A., Hamdy, M. & AlFaify, S. A facile microwave synthesis of PbS: Sr nanoparticles and their key structural, morphological, optical, photoluminescence, dielectric and electrical studies for optoelectronics. Mater. Res. Express6, 1250e1256 (2020).
- H Cao, G Wang, S Zhang, X Zhang. Growth and photoluminescence properties of PbS nanocubes. Nanotechnology, 2006. [DOI]
- NB Pendyala, KK Rao. Efficient Hg and Ag ion detection with luminescent PbS quantum dots grown in poly vinyl alcohol and capped with mercaptoethanol. Colloids Surf. A, 2009. [DOI]
- A Arivarasan. Investigations of rare earth doped CdTe QDs as sensitizers for quantum dots sensitized solar cells. J. Lumin., 2020. [DOI]
- R Righini. Ultrafast optical Kerr effect in liquids and solids. Science, 1993. [DOI | PubMed]
- M Neo, N Venkatram, G Li, W Chin, J Wei. Size-dependent optical nonlinearities and scattering properties of PbS nanoparticles. J. Phys. Chem. C, 2009. [DOI]
- H Saadon. Z-scan studies and optical limiting in a new organic-polymer composite film. Opt. Quant. Electron., 2016. [DOI]
- RA Ganeev, IA Shuklov, AI Zvyagin, DV Dyomkin, SI Bocharova, VS Popov, VF Toknova, AA Lizunova, OV Ovchinnikov, VF Razumov. Low-order optical nonlinearities of PbS quantum dot liquids and films. Opt. Mater., 2021. [DOI]
