The ncRNA-Mediated Overexpression of Ferroptosis-Related Gene EMC2 Correlates With Poor Prognosis and Tumor Immune Infiltration in Breast Cancer
Abstract
Ferroptosis is an iron-dependent programmed cell death process. Although ferroptosis inducers hold promising potential in the treatment of breast cancer, the specific role and mechanism of the ferroptosis-related gene EMC2 in breast cancer have not been entirely determined. The potential roles of EMC2 in different tumors were explored based on The Cancer Genome Atlas (TCGA), Genotype-Tissue Expression (GTEx), Gene Expression Profiling Interactive Analysis 2 (GEPIA2), Tumor Immune Estimation Resource (TIMER), Shiny Methylation Analysis Resource Tool (SMART), starBase, and cBioPortal for cancer genomics (cBioPortal) datasets. The expression difference, mutation, survival, pathological stage, DNA methylation, non-coding RNAs (ncRNAs), and immune cell infiltration related to EMC2 were analyzed. Gene Ontology (GO) and Kyoto Encyclopedia of Genes and Genomes (KEGG) analyses were performed to identify the differences in biological processes and functions among different related genes. The expression levels of core prognostic genes were then verified in breast invasive carcinoma samples using immunohistochemistry and breast invasive carcinoma cell lines using real-time polymerase chain reaction. High expression levels of EMC2 were observed in most cancer types. EMC2 expression in breast cancer tissue samples correlated with poor overall survival. EMC2 was mutated and methylated in a variety of tumors and affected survival. The LINC00665-miR-410-3p axis was identified as the most potential upstream ncRNA-related pathway of EMC2 in breast cancer. EMC2 levels were significantly positively correlated with tumor immune cell infiltration, immune cell biomarkers, and immune checkpoint expression. Our study offers a comprehensive understanding of the oncogenic roles of EMC2 across different tumors. The upregulation of EMC2 expression mediated by ncRNAs is related to poor prognosis and tumor immune infiltration in breast cancer.
Article type: Research Article
Keywords: ferroptosis-related gene, breast cancer, tumor immune cell infiltration, immune cell biomarkers, disease prognosis
Affiliations: School of Chinese Materia Medica, Beijing University of Chinese Medicine, Beijing, China; School of Life Science, Beijing University of Chinese Medicine, Beijing, China
License: Copyright © 2021 Liu, Yang, Han, Zhou, Qu and Shi CC BY 4.0 This is an open-access article distributed under the terms of the Creative Commons Attribution License (CC BY). The use, distribution or reproduction in other forums is permitted, provided the original author(s) and the copyright owner(s) are credited and that the original publication in this journal is cited, in accordance with accepted academic practice. No use, distribution or reproduction is permitted which does not comply with these terms.
Article links: DOI: 10.3389/fonc.2021.777037 | PubMed: 34956895 | PMC: PMC8692298
Relevance: Moderate: mentioned 3+ times in text
Full text: PDF (10.4 MB)
Introduction
Cancer is the leading cause of death and an essential obstacle to increasing life expectancy, globally. With the aging of populations and increasing socio-economic development, the burden of cancer is rapidly increasing. According to the 2020 Global Cancer Statistics Report (ref. 1), female breast cancer had surpassed lung cancer to become the world’s most commonly diagnosed cancer, with an estimated 2.3 million new cases in 2020 (11.7%); it was also the fifth leading cause of cancer deaths worldwide, with 685,000 deaths. In China, the number of new cases of breast cancer ranks fourth, after those of lung cancer, colorectal cancer, and gastric cancer. Therefore, there is an urgent need to develop effective therapeutic targets or identify promising prognostic biomarkers for breast cancer.
The term “ferroptosis” was first proposed in 2012, and it has since become one of the research hotspots in the field of tumors. Ferroptosis is considerably different from other cell death types in terms of morphology, molecular biology, and metabolic characteristics. Furthermore, the activation of ferroptosis can inhibit the proliferation of tumor cells, which is speculated to become a new tumor treatment method (ref. 2). The destruction of the endoplasmic reticulum membrane protein complex (EMC) family affects several cellular processes, including protein transport, organelle communication, endoplasmic reticulum stress, virus maturation, and lipid homeostasis. The EMC is closely related to neurological diseases and tumors. Rare EMC1 mutations are associated with severe human neurodegenerative diseases, which manifest as growth retardation, cerebellar atrophy, scoliosis, hypotonia, psychomotor retardation, epilepsy, and craniofacial abnormalities (ref. 3–ref. 5).
Changing the expression level of EMC subunits can regulate tumor growth in several human cancer models. EMC6 knockdown increases the proliferation of glioblastoma cells, while its overexpression slows down cell proliferation, inhibits invasiveness, and enhances chemotherapy sensitivity (ref. 6). EMC10-2 overexpression also inhibits glioma-induced cell cycle progression and invasion (ref. 7). In gastric cancer cells, EMC6 overexpression reduces invasiveness and induces cell cycle arrest and apoptosis, but it does not induce autophagy (ref. 8). In a study on the corresponding target screening of ferroptosis, EMC2, also known as: KIAA0103, TTC35, was found more sensitive to erastin; however, there is no report on the function of this gene in tumor immunotherapy, which is an obstacle to clarifying the relationship between EMC2 and tumor immunology.
Many factors regulate gene expression. Among them, ncRNAs are important regulators of eukaryotic gene expression and are related to monoallelic expression in other organisms (ref. 9). miRNA is a small endogenous ncRNA that negatively regulates the target gene expression (ref. 10). The long-chain gene expression in lncRNA regulatory factors play an important role in regulating many biological processes (ref. 11).
In this study, we performed expression, survival, and mutation analyses for EMC2 in various human cancers; to the best of our knowledge, this is the first study on these lines. In addition, we discussed the regulation of non-coding RNA (ncRNA) related to EMC2, including microRNA (miRNA) and long non-coding RNA (lncRNA), in breast cancer. Finally, we determined the relationship between EMC2 expression and immune cell infiltration, immune cell biomarkers, or immune checkpoints in breast invasive carcinoma (BRCA). Taken together, our findings indicate that the ncRNA-mediated upregulation of EMC2 expression is associated with prognosis and poor tumor immune infiltration in of BRCA.
Materials and Methods
TCGA and Oncomine Data Retrieval and Analysis
TCGA tumor dataset for 33 cancer types was downloaded from https://genome-cancer.ucsc.edu/. For differential expression analysis, the R (version “4.1”) package ‘limma’ was used (ref. 12). Oncomine, a cancer microarray database and web-based data-mining platform aimed at facilitating discovery from genome-wide expression analyses (https://www.oncomine.org/resource/login.html). Search for “TTC35”, threshold (p-value): 0.05, threshold (fold change): 1.5, threshold (gene rank): Top 10%, data type: all (ref. 13). A p-value < 0.05 was considered statistically significant.
GEPIA2 Database Analysis
Gene expression profiling interactive analysis 2 (GEPIA2; http://gepia2.cancer-pku.cn/#index/) is a tumor/normal differential expression analysis based on TCGA and gene tissue expression (GTEx) data, for analysis according to cancer type or pathological stage, patient survival analysis, network tools for similar gene detection, correlation analysis, and dimensionality reduction analysis (ref. 14). GEPIA2 was used to detect the expression of EMC2 and lncRNA in different types of human cancers, with p < 0.05 considered statistically significant. It was also used to analyze the survival of EMC2 in 33 different cancer types (including overall survival [OS] and relapse-free survival [RFS]), as well as to evaluate the prognostic value of candidate lncRNAs in BRCA. A log-rank p-value < 0.05 was considered statistically significant. In addition, the GEPIA2 database was used to evaluate the correlation between EMC2 expression in BRCA and immune checkpoints. Absolute values of R > 0.1 and p < 0.05 were judged as statistically significant. Univariate and multivariate Cox proportional hazards models were used for survival analysis, and the R package ‘Survival’ (2.41-3) was used for the Kaplan–Meier estimation of OS.
EMC2 Mutation Analysis
After logging in to the cBioPortal website (https://www.cbioportal.org/), “TCGA Pan-Cancer Atlas Research” was selected in the “Quick Selection” column, and “EMC2” was entered to query gene mutation characteristics (ref. 15). We observed the mutation frequency, mutation type, and copy number variation (CNV) results of all TCGA tumors in the “Tumor Type Summary” module, and observed the mutation site information of EMC2 in the protein structure diagram through the “mutation” module. We also used the “comparison” module to obtain data on overall, disease-free, progression-free, and disease-free survival differences in TCGA cancer cases with or without EMC2 genetic changes. Kaplan–Meier plots of log-rank p-values were also generated.
EMC2 CpG Site Methylation Analysis
Shiny methylation analysis resource tool (SMART; http://www.bioinfo-zs.com/smartapp/) is a user-friendly and easy-to-use web application for comprehensively analyzing the DNA methylation data of TCGA (ref. 16). Here, by searching “EMC2,” we explored the difference in the average methylation level of the tumor and normal groups of EMC2 in each type of cancer and the effect of methylation on tumor survival.
Candidate miRNA Prediction
Several target gene prediction programs, such as PitA, RNA22, miRmap, microT, Miranda, PicTar, and TargetScan, were used to predict the upstream binding miRNAs of EMC2 (ref. 17). Only predicted miRNAs usually appear in the above two programs before they are used in subsequent analyses. These predicted miRNAs were considered candidate miRNAs for EMC2.
StarBase Analysis
starBase (http://starbase.sysu.edu.cn/) is the most comprehensive database of mRNA and protein-RNA interaction networks (ref. 18). We used starBase to analyze the expression correlation of miRNA-EMC2, hsa-miR-410-3p-lncRNA, or lncRNA-EMC2 in BRCA. TCGA data was used to analyze the expression levels of hsa-miR-410-3p and lncRNA in BRCA and normal controls.
Kaplan–Meier Plotter Analysis
The online Kaplan–Meier plotter (http://kmplot.com/analysis/) was used to perform a hsa-miR-410-3p survival analysis on BRCA, and a log-rank p-value < 0.05 was considered statistically significant (ref. 19).
TIMER Database Analysis
The tumor immune estimation resource (TIMER, https://cistrome.shinyapps.io/timer/) is a web server for the comprehensive analysis of tumor-infiltrating immune cells (ref. 20). TIMER is used to analyze the correlation between the expression level of EMC2 in BRCA and the expression level of immune checkpoints, and used the R package ‘GSVA’ to analyze the relationship between the expression level of EMC2 and immune cell infiltration in breast cancer. p < 0.05 was considered statistically significant.
Cell Culture
The human breast epithelial cell line MCF10A and human breast cancer cell lines MCF-7 and MDA-MB-231 were obtained from Bei Na Biotechnology Co., Ltd. (Beijing, China). The MCF7 and MDA-MB-231 cells were maintained in high-glucose Dulbecco’s modified Eagle medium (DMEM; Gibco, Grand Island, NY, USA) supplemented with 10% fetal bovine serum (FBS; Gibco), and 1% penicillin–streptomycin (Gibco). The MFC10A cells were cultured in DMEM/Ham’s F-12 medium (Invitrogen) supplemented with 10% FBS (Gibco), 0.5 µg/ml hydrocortisone (Sigma-Aldrich, St. Louis, MO, USA), 20 ng/ml epidermal growth factor (Sigma-Aldrich), 10 μg/ml insulin (Sigma-Aldrich), and 1% penicillin–streptomycin (Gibco). Cells were cultured in a humidified atmosphere containing 5% CO2 and 95% air at 37°C.
EMC2 Expression Analysis
Total RNA was extracted from the normal human breast epithelial cell line MCF 10A and breast cancer cell lines MCF7 and MDA-MB-231 using TRIzol reagent (Sigma-Aldrich). The extracted RNA was reverse-transcribed to cDNA using HiScript II Q RT SuperMix (R223-01; Vazyme Biotech, Nanjing, China). Real-time PCR was performed on a QuantStudio™ 6 Flex (Life Technologies, USA) using ChamQ SYBR qPCR Master Mix (Q711-02; Vazyme Biotech, Nanjing, China). The 2–ΔΔCt method was used to calculate the relative gene expression levels and then normalized against GAPDH. Primers were designed and synthesized by Sangon Biotech (Shanghai, China). The primer sequences are listed in Supplementary Table 1.
Statistical Analysis
The statistical analysis in this study was automatically calculated by the online databases mentioned in the above sections. A p-value < 0.05 or log-rank p-value < 0.05 was considered to be statistically significant.
Results
Differences in the Expression of EMC2 in Tumors
To explore the possible role of EMC2 in carcinogenesis, we first analyzed its expression in 33 human cancers. As shown in f1, compared with the normal group, EMC2 was expressed differently in 22 cancer types, of which 18 were highly expressed in the tumor group, that included breast invasive carcinoma (BRCA), cholangiocarcinoma (CHOL), colon adenocarcinoma (COAD), lymphoid neoplasm diffuse large B-cell lymphoma (DLBC), glioblastoma multiforme (GBM), head and neck squamous cell carcinoma (HNSC), kidney chromophobe (KICH), kidney renal clear cell carcinoma (KIRC), brain lower grade glioma (LGG), liver hepatocellular carcinoma (LIHC), lung adenocarcinoma (LUAD), lung squamous cell carcinoma (LUSC), pancreatic adenocarcinoma (PAAD), prostate adenocarcinoma (PRAD), rectum adenocarcinoma (READ), stomach adenocarcinoma (STAD), skin cutaneous melanoma (SKCM), and thymoma (THYM). There were four cancer types with low expression in the tumor group, comprising acute myeloid leukemia (LAML), ovarian serous cystadenocarcinoma (OV), testicular germ cell tumors (TGCT), and thyroid carcinoma (THCA). However, BRCA, CHOL, DLBC, GBM, HNSC, KIRC, LAML, LIHC, LUAD, LUSC, OV, PAAD, PRAD, SKCM, STAD, TGCT, and THYM showed significant differences in 17 tumors. We further verified the expression of EMC2 in tumors containing paired samples. As shown in f1, there were significant differences in the expression levels of EMC2 in BRCA, CHOL, esophageal carcinoma (ESCA), HNSC, KIRC, papillary renal cell carcinoma (KIRP), LIHC, LUSC, STAD, and THCA compared with the corresponding adjacent normal tissue controls. Second, we used GEPIA2 to analyze the influence of EMC2 expression on tumor grading and found significant differences in COAD, ESCA, KIRC, and TCGT (f1). The Oncomine database was used to evaluate the differential expression of EMC2 in tumors, and similar results were obtained (Supplementary Figure 1). The above results show that EMC2 is a potential oncogene for eight cancers.

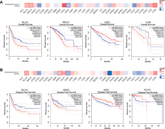
EMC2 Expression Affects the Prognosis of Human Cancer
Next, a pan-cancer survival analysis was performed; it included two prognostic indices: OS and RFS. For OS, a high EMC2 expression level showed unfavorable prognoses in bladder urothelial carcinoma (BLCA), BRCA, and uveal melanoma (UVM); however, KIRC patients with higher EMC2 expression showed a better prognosis (f2). For RFS, BLCA and HNSC patients with high EMC2 expression levels showed poor prognoses, while KIRC and pheochromocytoma and paraganglioma (PCPG) patients with high EMC2 expression levels had better prognostic survival (f2). On this basis, we used univariate and multivariate Cox regression to analyze the effect of EMC2 expression and other clinicopathological factors on breast cancer prognosis. The top 300 positive and negative correlation genes of EMC2 were then subjected to GO and KEGG enrichment analyses, respectively. As shown in Supplementary Table 2, the results show that EMC2 expression had an important effect on breast cancer and could be used as an independent prognostic indicator; these findings were irrespective of the regression analysis used (univariate or multivariate). Therefore, the expression of EMC2 in breast cancer can have significant effects on factors such as tumor progression and even patient survival. GO and KEGG enrichment analysis found that genes positively related to EMC2 are mainly involved in RNA transport and cell cycle regulation (Supplementary Figure 2), whereas genes negatively related to EMC2 are mainly involved in ECM-receptor interaction, the relaxin signaling pathway, and focal adhesion (Supplementary Figure 3).

Effect of EMC2 Mutations on Human Cancer
We observed EMC2 mutations in different tumor samples in TCGA cohort. As shown in f3, the frequency of EMC2 mutations in OV patients with “amplification” as the primary type was the highest (>15.41%), followed by breast cancer (10.33%). Uterine corpus endometrial carcinoma (UCEC) was mainly of the “mutation” type, and its mutation frequency was about 4.54%. Some patients (about 1.15%) with mesothelioma lacked EMC2. f3 shows the types and locations of EMC2 mutations. In addition, we explored the potential relationship between EMC2 mutations and the clinical survival and prognosis among patients with different cancer types. f3 shows that compared with PRAD patients without EMC2 mutations, those with EMC2 mutations had decreased OS (p = 3.384e-4), disease-free survival (p = 1.137e-3), and progression-free survival (p = 8.209e-4), whereas the disease-specific survival rate (p = 2.81e-7) was particularly poor. In breast cancer patients, survival was not affected by the above mentioned mutations. Considering the number of clinical samples, the effect of EMC2 structural mutations on breast cancer prognosis requires further analysis.

Effect of EMC2 CpG Site Methylation on Human Cancer
DNA methylation can function to silence tumor suppressor genes along with genetic mutations. Thus, we calculated differentially methylated CpG sites based on the tumor and normal samples. The CpG sites of the EMC2 promoter were significantly methylated in the tumor samples compared to in the normal samples of most cancer types (f4). Moreover, EMC2 methylation had a significant effect on the survival of tumors (f4). We found that EMC2 showed hypomethylation in BLCA, BRCA, HNSC, KIRC, KIRP, LIHC, LUAD, PRAD, READ, and UCEC, but hypermethylation in COAD and LUSC.

Prediction and Analysis of miRNA Upstream of EMC2
To determine whether ncRNAs regulate EMC2, we first predicted upstream miRNAs that could bind to EMC2, and found 19 such miRNAs. To improve visualization, a miRNA–EMC2 regulatory network was established using Cytoscape software (f5). Based on the mechanism of miRNA in regulating the target gene expression, we speculated a negative correlation between miRNA and EMC2; therefore, an expression correlation analysis was performed. As shown in f5, EMC2 expression was significantly negatively correlated with miR-410-3p expression. The expression and prognostic value of miR-410-3p in BRCA were also determined. As mentioned above, in f5, miR-410-3p expression was significantly downregulated in BRCA, and its upregulated expression was positively correlated with prognosis (f5). These findings could that miR-410-3p is the most significant miRNA regulating EMC2 in BRCA.

Prediction and Analysis of lncRNA Upstream of miR-410-3p
Using starBase, 30 lncRNAs were predicted that were upstream of miR-410-3p. Similarly, to improve visualization, the lncRNA-miR-410-3p regulatory network was constructed using Cytoscape software (Supplementary Figure 4). Then, the corresponding normal tissue data in BRCA were extracted using GTEx and TCGA to determine the expression levels of these lncRNAs in BRCA. As shown in f6, among all the 30 lncRNAs, only NEAT1 and LINC00665 were significantly down- and upregulated in BRCA, respectively, compared to the normal control. Subsequently, the prognostic value of the two lncRNAs in BRCA was evaluated. As shown in f6, these lncRNAs did not significantly influence the survival of breast cancer patients. According to the competing endogenous RNA (ceRNA) hypothesis, lncRNA can increase mRNA expression by competitively binding and sharing miRNA. Therefore, a negative correlation between lncRNA and miRNA or a positive correlation between lncRNA and mRNA plausibly exists. As shown in T1, the starBase database was used to detect the expression correlation between the two lncRNAs in BRCA and miR-410-3p or EMC2. Using the expression analysis, survival analysis, and considering the correlation analysis, LINC0065 was found the most significant lncRNA upstream of the miR-410-3p/EMC2 axis in BRCA.

Table 1: Correlation analysis between lncRNA and miRNA-410-3p or lncRNA and EMC2 in BRCA determined by starBase database.
| lncRNA | miRNA | R-value | p value |
|---|---|---|---|
| NEAT1 | miRNA-410-3p | 0.111 | 2.54E-04 |
| LINC00665 | miRNA-410-3p | -0.112 | 2.12E-04 |
| lncRNA | mRNA | R-value | p value |
| NEAT1 | EMC2 | -0.071 | 1.89E-02 |
| LINC00665 | EMC2 | 0.172 | 9.42E-09 |
Correlation Between EMC2 Expression and Immune Cell Infiltration in BRCA
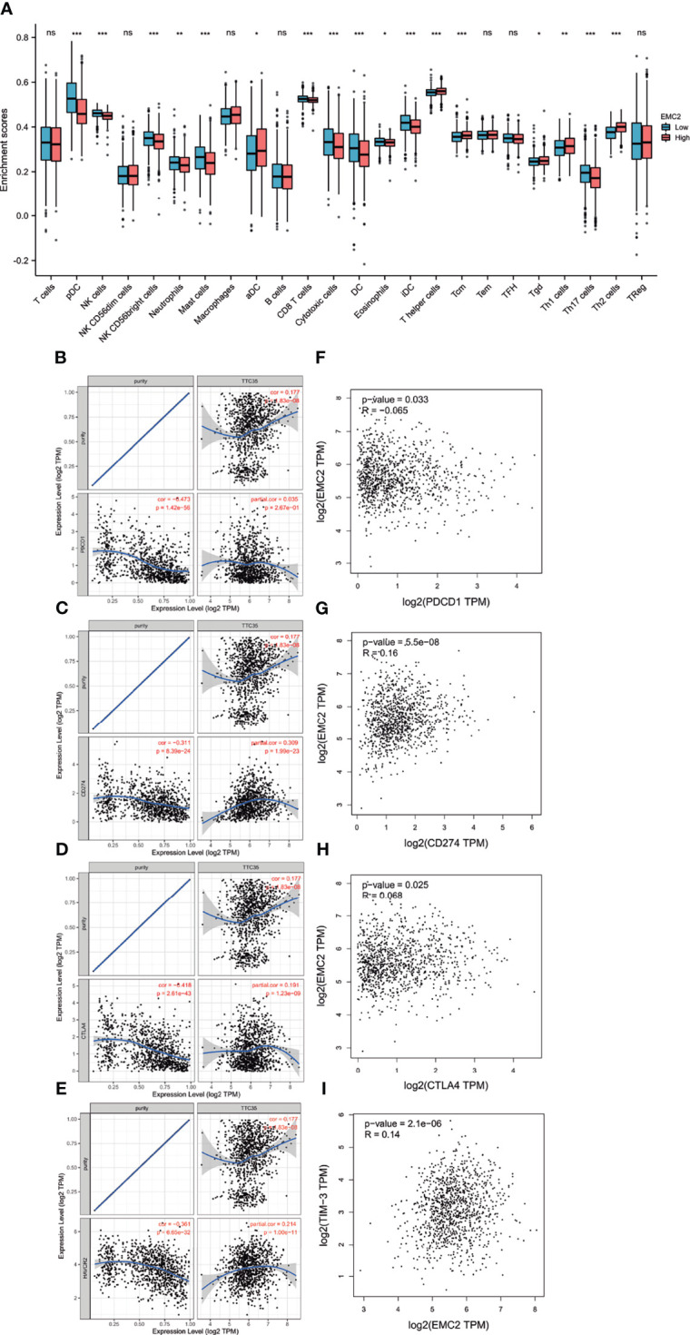
Immunotherapy is a treatment method that enhances or inhibits immune system function to cure diseases. Immunotherapy has achieved satisfactory results in malignant melanoma, lung cancer, and other tumors. Compared with lung cancer and melanoma, breast cancer is considered a “weakly immunogenic” tumor, and its immunotherapy effect is not sufficient. Therefore, it is necessary to find new genes to improve the immunotherapy of breast cancer. As correlation analysis can provide critical clues for studying EMC2 functions and mechanisms, the correlation between the expression level of EMC2 and the level of immune cell infiltration was evaluated. As shown in f7, the expression of EMC2 in BRCA was related to the infiltration of 17 immune cells, including CD8+ T cells, mast cells, natural killer (NK) cells, T helper cells (Th1, Th2, and Th17), and neutrophils.

Correlation Between EMC2 Expression and Immune Cell Biomarkers in BRCA
To further explore the role of EMC2 in tumor immunity, we used the GEPIA database to determine the correlation of EMC2 expression with immune cell biomarkers in BRCA. As shown in T2, EMC2 showed correlation with B-cell biomarkers (CD19 and CD79A), CD8+ T cell biomarkers (CD8B), M1 macrophage biomarkers (IRF5), M2 macrophage biomarkers (CD163 and MS4A4A), dendritic cell biomarkers (HLA-DPB1, CD1C, and NRP1), NK cell biomarkers (KIR2DL3, KIR2DL4, and KIR3DL3), mast cell biomarkers (TPSB2 and TPSAB1), Th1 cell markers (TNF-α), Th2 cell markers (GATA3), Th17 cell markers (STAT3), and Tfh cell markers (BCL6). These findings partially indicate a significant correlation between EMC2 expression and immune cell infiltration.
Table 2: Correlation analysis between EMC2 and biomarkers of immune cells in BRCA determined by GEPIA2 database.
| Immune cell | Biomarker | R value | p value |
|---|---|---|---|
| B cell | CD19 | -0.082 | 6.80E-03** |
| CD79A | -0.09 | 3.10E-03** | |
| CD4+ T cell | CD4 | 0.032 | 3.00E-01 |
| CD8+ T cell | CD8A | 0.0034 | 9.10E-01 |
| CD8B | -0.06 | 4.70E-02* | |
| M1 Macrophage | NOS2 | 0.054 | 7.80E-02 |
| IRF5 | 0.17 | 9.40E-09*** | |
| PTGS2 | 0.022 | 4.70E-01 | |
| M2 Macrophage | CD163 | 0.13 | 2.10E-05*** |
| VSIG4 | 0.058 | 5.50E-02 | |
| MS4A4A | 0.13 | 2.20E-05*** | |
| Neutrophil | CEACAM8 | -0.012 | 6.90E-01 |
| ITGAM | -0.055 | 6.80E-02 | |
| CCR7 | -0.0054 | 8.60E-01 | |
| Dendritic cells | HLA-DPB1 | -0.17 | 4.00E-08*** |
| HLA-DQB1 | 0.014 | 6.50E-01 | |
| HLA-DRA | -0.016 | 6.00E-01 | |
| HLA-DPA1 | 0.0068 | 8.20E-01 | |
| CD1C | -0.18 | 1.60E-09*** | |
| NRP1 | 0.064 | 3.40E-02* | |
| ITGAX | 0.027 | 3.70E-01 | |
| NK cells | KIR2DL1 | 0.029 | 3.40E-01 |
| KIR2DL3 | 0.069 | 2.30E-02* | |
| KIR2DL4 | 0.096 | 1.60E-03** | |
| KIR3DL1 | 0.014 | 6.50E-01 | |
| KIR3DL2 | 0.032 | 3.00E-01 | |
| KIR3DL3 | 0.076 | 1.20E-02* | |
| KIR2DS4 | 0.048 | 1.20E-01 | |
| Mast cells | TPSB2 | -0.16 | 5.60E-08*** |
| TPSAB1 | -0.18 | 6.10E-09*** | |
| CPA3 | -0.016 | 6.10E-01 | |
| HDC | -0.046 | 1.30E-01 | |
| MS4A2 | 0.015 | 6.20E-01 | |
| Th1 | T-bet | -0.043 | 1.60E-01 |
| STAT4 | 0.0091 | 7.60E-01 | |
| TNF-α | 0.093 | 2.20E-03** | |
| Th2 | GATA3 | 0.087 | 4.20E-03** |
| STAT6 | 0.036 | 2.40E-01 | |
| STAT5A | 0.028 | 3.50E-01 | |
| IL13 | 0.031 | 3.00E-01 | |
| Th17 | STAT3 | 0.25 | 7.40E-17*** |
| IL17A | 0.043 | 1.60E-01 | |
| Tfh | BCL6 | 0.068 | 2.50E-02* |
*p value < 0.05; **p value < 0.01; ***p value < 0.001.
Relationship Between EMC2 and Immune Checkpoints
PD1/PD-L1, CTLA-4, and TIM-3 are critical immune checkpoints responsible for tumor immune escape. Considering the potential carcinogenic effects of EMC2 in BRCA, the relationships between BRCA and PD1, PD-L1, CTLA-4, and TIM-3 were evaluated. f7 shows that EMC2 expression is significantly positively correlated with PD-L1, CTLA-4, and TIM-3 in BRCA, regulated by purity. From the expression correlation analysis, we also found that EMC2 was significantly positively correlated with PD-L1, CTLA-4, and TIM-3 in BRCA (f7). These results indicate that tumor immune escape may involve the EMC2-related carcinogenesis of BRCA.
EMC2 Analysis Using RT-qPCR and Human Protein Atlas
After analyzing EMC2 expression with RT-qPCR (f8) and immunohistochemistry (f8), we confirmed that it was upregulated in MCF7 and MDA-MB-231 cells compared to MCF10A cells. The HPA provides a map showing the distribution and relative abundance of proteins in normal human breast tissues and cancer tissues. The protein levels of the EMC2 was significantly higher in tumor tissues compared with normal tissues based on the HPA database; the EMC2 protein levels were consistent with the RT-qPCR results. The results were significant (p < 0.05).

Discussion
The incidence and mortality of breast cancer in women rank first and second globally, respectively (ref. 21). This disease seriously endangers women’s lives and health, and its global burden exceeds that of most other cancers (ref. 22). Clarifying the molecular mechanisms of breast cancer can help in the development of effective therapeutic drugs or the search for key clues of promising prognostic biomarkers. An increasing number of studies have shown that the EMC plays a vital role in the initiation and progression of cancer in humans (ref. 8, ref. 23). However, in breast cancer, the function of EMC2 is still unclear, and further research is needed.
Owing to the lack of research on EMC2 in cancer, in this study, we aimed to perform a pan-cancer analysis of EMC2 expression using TCGA. We found that EMC2 is highly expressed in many tumors, but lowly in LAML, OV, TGCT, and THCA. The survival analysis of EMC2 in tumors shows that BRCA patients with high EMC2 expression could have a poor survival prognosis. In general, hypermethylation of genes lead to downregulated gene expression (ref. 24). However, we found that although EMC2 is hypermethylated, it is highly expressed in COAD and LUSC. CpG methylation in the promoter region promotes gene transcription in tumors (ref. 25). Several potential molecular mechanisms by which gene activation may be regulated under the influence of a hypermethylated gene promoter. First, under certain circumstances, promoter DNA hypermethylation hinders the binding of transcription inhibitors, thereby promoting downstream gene transcription. Second, hypermethylated promoters interact with enhancers but not with silencers to recruit transcription activators and enhance downstream gene transcription. Third, there are multiple variable promoters in certain mammalian genes, which promote the formation of alternative splicing bodies and cause functional differences in the form of protein isoforms. A hypermethylated promoter may induce transcription of the first promoter, increasing the target gene transcript activity and reducing the alternative spliceosome content. However, the specific reasons for the hypermethylation of the promoter region and the high expression of EMC2 in COAD and LUSC have not been reported. Therefore, the methylation regulation of this gene requires further research.
The cBioPortal database was used to analyze the effect of EMC2 mutation on tumor prognosis. Although this mutation had no significant effect on the prognosis of breast cancer, it had a significant difference on prostate cancer. EMC2 mainly uses gene amplification as the main mutation mode, which leads to its high expression in most tumors. In breast cancer, we find the amplification rate of EMC2 is 11% and the deep deletion rate is 0.1%. Gene amplification can lead to a selective increase in the copy number of certain genes in cells, which is the main mechanism of oncogene activation. This oncogene amplification can lead to the overexpression of the corresponding product, thereby promoting tumor growth and giving cells the potential for immortal proliferation (ref. 26). In addition, gene amplification is one of the main mechanisms for tumor cells to evade the efficacy of chemotherapy drugs (ref. 27). In this study, we analyzed the relationship between EMC2 expression and the co-expression of common oncogenes and drug resistance genes in tumors. The results showed that EMC2 has a significant co-expression relationship with multiple oncogenes and drug resistance genes. The high expression of EMC2 caused by its own gene amplification may also affect the expression of other genes, thereby improving the proliferation and drug resistance of tumor cells. Therefore, the use of EMC2 as a target is of great significance to the diagnosis, prognosis, and treatment of tumors. The results of our multivariate Cox regression analysis suggested that EMC2 can be used as an independent prognostic factor for breast cancer. All of these results collectively indicate that EMC2 has an important function in breast cancer and could become a new tumor prognostic biomarker.
For decades, the focus of cancer biology research has been the involvement of protein-coding genes. Only recently was a whole class of molecules, called “ncRNAs” was discovered in this regard. ncRNAs play a key regulatory role in shaping cell activity, including carcinogenic molecules and molecules that act in a tumor-suppressing manner. Previous research suggests that most of these miRNAs are tumor suppressor miRNAs in BRCA (ref. 28). For example, NEAT1 induced breast cancer progression by regulating the miR-410-3p/CCND1 axis, indicating that NEAT1 may be a potential therapeutic target in breast cancer (ref. 29).
In contrast, the inhibition of miR-410-3p in MCF7 cells resulted in higher proliferation, as assessed using the MTT, plate colony formation, and EdU assays. In addition, miR-410-3p is expressed at low levels with snail in breast cancer samples (ref. 30). Differentiation antagonizing non-protein-coding RNA (DANCR) targets and regulates miR-758-3p, and its overexpression can attenuate the anti-cancer effect of miR-758-3p on breast cancer cells (ref. 31). The rescue of miR-299-5p expression inhibits breast cancer cell migration and invasion, while the inhibition of miR-299-5p promotes cell migration and invasion (ref. 32). Through correlation, expression, and survival analyses, miR-410-3p was found to be the most significant miRNA tumor suppressor upstream of EMC2.
According to the ceRNA hypothesis, the lncRNA upstream of the miRNA-410-3p/EMC2 axis should also be an oncogene in BRCA. Accordingly, we predicted lncRNAs on the miRNA-410-3p/EMC2 axis and found 55 potential lncRNAs. Through expression, survival, and correlation analyses, we found that LINC00665 was the most significantly upregulated lncRNA. LINC00665 is involved in tumor proliferation, invasion, drug resistance, angiogenesis, and epithelial-mesenchymal transition (EMT) as an oncogene in various tumor, including breast cancer. For example, knockdown of LINC00665 significantly inhibits the growth of breast cancer cells in vitro, significantly weakens the migration and invasion abilities, reduces the expression of EMT-related genes, and promotes apoptosis. By contrast, the overexpression of LINC00665 can promotes breast cancer progression (ref. 11, ref. 33).
The tumor development process involves mutual transformation and mutual checks and balances between the tumor and immune cells. Recent studies have described the rich tumor immune microenvironment in breast cancer subgroups, these immune infiltrations include innate and adaptive immunity cells, which can be detected and characterized in biopsy specimens and have prognostic value (ref. 34). We found that EMC2 expression was significantly correlated with a variety of immune cells. In addition, EMC2 was also significantly associated with biomarkers of these infiltrated immune cells. This indicates that tumor immune infiltration may partly account for EMC2-mediated carcinogenesis in BRCA.
In addition, immune checkpoint inhibitors are effective in many types of solid tumors. Tumor immune checkpoint blockade immunotherapy targeting PD-1 or CTLA-4 prolongs the OS rate of cancer patients (ref. 35). Therefore, we also evaluated the relationship between EMC2 and immune checkpoints. The results show that the upregulation of EMC2 expression is significantly related to CD274, CTLA4, and TIM-3 in BRCA, indicating that targeting EMC2 may improve immunotherapy in BRCA.
In conclusion, we clarified that EMC2 is highly expressed in multiple cancer types, including BRCA, and is positively correlated with unfavorable prognoses in BRCA. We determined the upstream regulatory mechanism of EMC2 in BRCA, namely the LINC00665/miR-410-3p/EMC2 axis (f9). Our findings also indicate that EMC2 may exerts its carcinogenic effects by increasing tumor immune cell infiltration and immune checkpoint expression. However, these results need to be validated using basic in vitro and in vivo experiments and large-scale clinical trials in the future.

Data Availability Statement
The datasets presented in this study can be found in online repositories. The names of the repository/repositories and accession number(s) can be found in the article/Supplementary Material.
Author Contributions
XL designed the research framework and revised the manuscript. XL, PY, QZ, and LH contributed to the data analysis. XL wrote the manuscript. XS and QQ provided comments during the writing. All authors contributed to the article and approved the submitted version.
Funding
This study was supported by the National Natural Science Foundation of China (NSFC, NO.82174093).
Conflict of Interest
The authors declare that the research was conducted in the absence of any commercial or financial relationships that could be construed as a potential conflict of interest.
Publisher’s Note
All claims expressed in this article are solely those of the authors and do not necessarily represent those of their affiliated organizations, or those of the publisher, the editors and the reviewers. Any product that may be evaluated in this article, or claim that may be made by its manufacturer, is not guaranteed or endorsed by the publisher.
References
- RL Siegel, KD Miller, A Jemal. Cancer Statistic.. Ca-a Cancer J Clin (, 2020. [DOI]
- SJ Dixon, KM Lemberg, MR Lamprecht, R Skouta, EM Zaitsev, CE Gleason. Ferroptosis: An Iron-Dependent Form of Nonapoptotic Cell Death.. Cell (, 2012. [DOI]
- L Abu-Safieh, M Alrashed, S Anazi, H Alkuraya, AO Khan, M Al-Owain. Autozygome-Guided Exome Sequencing in Retinal Dystrophy Patients Reveals Pathogenetic Mutations and Novel Candidate Disease Genes.. Genome Res (, 2013. [DOI]
- T Harel, G Yesil, Y Bayram, Z Coban-Akdemir, WL Charng, E Karaca. Monoallelic and Biallelic Variants in EMC1 Identified in Individuals With Global Developmental Delay, Hypotonia, Scoliosis, and Cerebellar Atrophy.. Am J Hum Genet (, 2016. [DOI]
- TS Geetha, L Lingappa, AR Jain, H Govindan, N Mandloi, S Murugan. A Novel Splice Variant in EMC1 Is Associated With Cerebellar Atrophy, Visual Impairment, Psychomotor Retardation With Epilepsy.. Mol Genet Genomic Med (, 2018. [DOI]
- X Shen, S Kan, J Hu, M Li, G Lu, M Zhang. EMC6/TMEM93 Suppresses Glioblastoma Proliferation by Modulating Autophagy.. Cell Death Dis (, 2016. [DOI | PubMed]
- KS Junes-Gill, CE Lawrence, CJ Wheeler, R Cordner, TG Gill, V Mar. Human Hematopoietic Signal Peptide-Containing Secreted 1 (Hhss1) Modulates Genes and Pathways in Glioma: Implications for the Regulation of Tumorigenicity and Angiogenesis.. BMC Cancer (, 2014. [DOI | PubMed]
- X Wang, Y Xia, C Xu, X Lin, P Xue, S Zhu. ER Membrane Protein Complex Subunit 6 (EMC6) Is a Novel Tumor Suppressor in Gastric Cancer.. BMB Rep (, 2017. [DOI]
- J Guizetti, A Barcons-Simon, A Scherf. Trans-Acting GC-Rich Non-Coding RNA at Var Expression Smodulates Gene Counting in Malaria Parasite.. Nucleic Acids Research (, 2016. [DOI]
- L Ding, Q Li, J Chakrabarti, A Munoz, E Faure-Kumar, R Ocadiz-Ruiz. MiR130b from Schlafen4(+) MDSCs Stimulates Epithelial Proliferation and Correlates With Preneoplastic Changes Prior to Gastric Cancer.. Gut (, 2020. [DOI]
- CN Brocker, D Kim, T Melia, K Karri, TJ Velenosi, S Takahashi. Long Non-Coding RNA Gm15441 Attenuates Hepatic Inflammasome Activation in Response to PPARA Agonism and Fasting.. Nat Commun (, 2020. [DOI | PubMed]
- GK Smyth, J Michaud, HS Scott. Use of Within-Array Replicate Spots for Assessing Differential Expression in Microarray Experiments.. Bioinformatics (, 2005. [DOI]
- DR Rhodes, JJ Yu, K Shanker, N Deshpande, R Varambally, D Ghosh. ONCOMINE: A Cancer Microarray Database and Integrated Data-Mining Platform.. Neoplasia (, 2004. [DOI | PubMed]
- Z Tang, B Kang, C Li, T Chen, Z Zhang. GEPIA2: An Enhanced Web Server for Large-Scale Expression Profiling and Interactive Analysis.. Nucleic Acids Res (, 2019. [DOI | PubMed]
- J Gao, BA Aksoy, U Dogrusoz, G Dresdner, B Gross, SO Sumer. Integrative Analysis of Complex Cancer Genomics and Clinical Profiles Using the Cbioportal.. Sci Signal (, 2013. [DOI | PubMed]
- Y Li, D Ge, CL Lu. The SMART App: An Interactive Web Application for Comprehensive DNA Methylation Analysis and Visualization.. Epigenet Chromatin (, 2019. [DOI]
- S Wang, L Shen, H Luo. Identification and Validation of Key miRNAs and a microRNA-mRNA Regulatory Network Associated With Ulcerative Colitis.. DNA Cell Biol (, 2021. [DOI]
- JH Li, S Liu, H Zhou, LH Qu, JH Yang. Starbase V2.0: Decoding miRNA-ceRNA, miRNA-ncRNA and Protein-RNA Interaction Networks From Large-Scale CLIP-Seq Data.. Nucleic Acids Res (, 2014. [DOI]
- B Gyrffy. Survival Analysis Across the Entire Transcriptome Identifies Biomarkers With the Highest Prognostic Power in Breast Cancer.. Comput Struct Biotechnol J (, 2021. [DOI | PubMed]
- T Li, J Fan, B Wang, N Traugh, Q Chen, JS Liu. TIMER: A Web Server for Comprehensive Analysis of Tumor-Infiltrating Immune Cells.. Cancer Res (, 2017. [DOI]
- PJ Gong, YC Shao, Y Yang, WJ Song, X He, YF Zeng. Analysis of N6-Methyladenosine Methyltransferase Reveals METTL14 and ZC3H13 as Tumor Suppressor Genes in Breast Cancer.. Front Oncol (, 2020. [DOI | PubMed]
- T Krastev, A van Turnhout, E Vriens, L Smits, R van der Hulst. Long-Term Follow-Up of Autologous Fat Transfer vs Conventional Breast Reconstruction and Association With Cancer Relapse in Patients With Breast Cancer.. JAMA Surg (, 2019. [DOI | PubMed]
- MX Shen, JB Ding. Expression Levels and Roles of EMC-6, Beclin1, and Rab5a in the Cervical Cancer.. Eur Rev Med Pharmacol Sci (, 2017
- V Koroknai, I Szasz, H Hernandez-Vargas, N Fernandez-Jimenez, C Cuenin, Z Herceg. DNA Hypermethylation Is Associated With Invasive Phenotype of Malignant Melanoma.. Exp Dermatol (, 2020. [DOI | PubMed]
- J Smith, S Sen, RJ Weeks, MR Eccles, A Chatterjee. Promoter DNA Hypermethylation and Paradoxical Gene Activation.. Trends Cancer (, 2020. [DOI | PubMed]
- DG Albertson. Gene Amplification in Cancer.. Trends Genet (, 2006. [DOI]
- O Shoshani, SF Brunner, R Yaeger, P Ly, Y Nechemia-Arbely, DH Kim. Chromothripsis Drives the Evolution of Gene Amplification in Cancer.. Nature (, 2021. [DOI]
- H Toda, N Seki, S Kurozumi, Y Shinden, Y Yamada, N Nohata. RNA-Sequence-Based microRNA Expression Signature in Breast Cancer: Tumor-Suppressive miR-101-5p Regulates Molecular Pathogenesis.. Mol Oncol (, 2020. [DOI]
- X Liu, WR Yao, HW Xiong, Q Li, YL Li. LncRNA NEAT1 Accelerates Breast Cancer Progression Through Regulating miR-410-3p/CCND1 Axis.. Cancer Biomarkers (, 2020. [DOI]
- YF Zhang, Y Yu, WZ Song, RM Zhang, S Jin, JW Bai. miR-410-3p Suppresses Breast Cancer Progression by Targeting Snail.. Oncol Rep (, 2016. [DOI]
- XH Zhang, BF Li, J Ding, L Shi, HM Ren, K Liu. LncRNA DANCR-miR-758-3p-PAX6 Molecular Network Regulates Apoptosis and Autophagy of Breast Cancer Cells.. Cancer Manag Res (, 2020. [DOI]
- C Li, A Wang, Y Chen, Y Liu, H Zhang, J Zhou. MicroRNA−299−5p Inhibits Cell Metastasis in Breast Cancer by Directly Targeting Serine/Threonine Kinase 39.. Oncol Rep (, 2020. [DOI]
- L Qi, B Sun, B Yang, S Lu. LINC00665 Stimulates Breast Cancer Progression via Regulating miR-551b-5p.. Cancer Manag Res (, 2021. [DOI]
- S Burugu, K Asleh-Aburaya, TO Nielsen. Immune Infiltrates in the Breast Cancer Microenvironment: Detection, Characterization and Clinical Implication.. Breast Cancer (, 2017. [DOI | PubMed]
- Y Fan, Y Geng, L Shen, ZL Zhang. Advances on Immune-Related Adverse Events Associated With Immune Checkpoint Inhibitors.. Front Med (, 2021. [DOI | PubMed]
