Identification of risk factors for high-risk dedifferentiation in papillary thyroid carcinoma and construction of discriminative model
Abstract
Objective:
We initially found that the thyroid differentiation score (TDS) was associated with the prognosis of papillary thyroid carcinoma (PTC) patients. Therefore, this study aimed to investigate the influencing factors and construct a discriminative model of high-risk dedifferentiation, and to explore the possible mechanisms.
Methods:
Data were sourced from the TCGA database. The influences of the TDS, tumor mutation burden, and immune score on the progression-free interval (PFI) were assessed by the Kaplan-Meier method and multivariable Cox regression. Then, logistic regression analyses were utilized to explore the factors of dedifferentiation and a nomogram model was conducted. Additionally, differentially expressed genes (DEGs) were identified using RNA sequencing data, while their regulatory pathways were determined by the Kyoto Encyclopedia of Genes and Genomes (KEGG) analysis. Finally, the differential expression of key genes of major pathways was explored.
Results:
This study included 391 PTC patients. After analyzing the influences of the three indicators on survival, only TDS showed an association with PFI. Multivariable logistic analysis revealed that the disease duration and PTC subtypes influenced dedifferentiation. The nomogram model based on these two variables showed improved discriminative capability. The study identified 17 overlapping DEGs associated with the dedifferentiation and three primary enrichment pathways, with complement and coagulation cascade pathways being the most significant (P<0.001). The central gene was CD55, which showed high expression in high-risk dedifferentiated and tall cell PTC, and the expression level increased as the disease progressed.
Conclusion:
This research may contribute to promising identifying high-risk dedifferentiated PTC and also provide a potential therapeutic target.
Article type: Research Article
Keywords: thyroid differentiation score, papillary thyroid carcinoma, dedifferentiation, differentially expressed genes
Affiliations: Department of Breast and Thyroid Surgery, The Quzhou Affiliated Hospital of Wenzhou Medical University, Quzhou People’s Hospital, Quzhou, Zhejiang, China; Department of Thyroid Surgery, The Second Affiliated Hospital of Zhejiang University College of Medicine, Hangzhou, Zhejiang, China
License: Copyright © 2025 Liu, Zhu, He, Shu and Xiang CC BY 4.0 This is an open-access article distributed under the terms of the Creative Commons Attribution License (CC BY). The use, distribution or reproduction in other forums is permitted, provided the original author(s) and the copyright owner(s) are credited and that the original publication in this journal is cited, in accordance with accepted academic practice. No use, distribution or reproduction is permitted which does not comply with these terms.
Article links: DOI: 10.3389/fonc.2025.1535966 | PubMed: 40535127 | PMC: PMC12174466
Relevance: Moderate: mentioned 3+ times in text
Full text: PDF (12.5 MB)
Introduction
Thyroid cancer (THCA) is the most prevalent endocrine system malignancy, with 821,000 new cases worldwide in 2022, accounting for 4.1% of all new cancer cases globally and ranking 7th among malignant tumors (ref. 1, ref. 2). Papillary thyroid carcinoma (PTC) is the most common subtype of THCA, accounting for approximately 80%-90% of all cases (ref. 3). PTC originates from follicular epithelium (ref. 4). It includes more than ten subtypes, such as classical/usual PTC, infiltrating follicular PTC, tall cell PTC (TCPTC), and columnar cell PTC (ref. 5). PTC is highly differentiated and prone to regional lymph node metastasis at an early stage, with low local infiltration and recurrence rate, resulting in a better prognosis. The 5-year survival rates of PTC range from 83% to 98%, while well-differentiated classic PTC has a 10-year survival rate of up to 97% (ref. 6, ref. 7). However, some PTC subtypes may undergo dedifferentiation, making the tumor cells more aggressive and losing iodide uptake capacity, then leading to increased disease progression and mortality (ref. 8–ref. 10). Compared to identifying dedifferentiation through histopathology alone, the thyroid differentiation score (TDS) integrates the mRNA expression levels of 16 genes associated with thyroid metabolism and function, providing a more consistent method for identifying dedifferentiation (ref. 11, ref. 12).
With the advancements in immuno-oncology, immune checkpoint inhibitor (ICI) therapies have revolutionized cancer treatment. However, these groundbreaking therapies also have side effects (ref. 13). Tumor mutation burden (TMB), as an emerging biomarker, is considered to be a promising predictor of response to ICI therapy (ref. 14). Research has demonstrated that elevated TMB is associated with the response to ICI in several types of tumors. For example, in non-small cell lung cancer, high TMB is linked to significantly improved progression-free interval (PFI) in patients receiving combined Nivolumab and Ipilimumab treatment (ref. 15). Similarly, increased TMB is associated with improved survival rates in head and neck cancer and bladder cancer patients undergoing ICI therapy (ref. 16).
The tumor immune microenvironment (TIME) plays a crucial role in cancer progression and influences treatment outcomes and prognosis (ref. 17). In TIME, the key cluster cells that are most likely to influence clinical outcomes of THCA may be immune cells (ref. 18). Currently, immune scores can be obtained using multiple computer algorithms such as Cibersort, Timer, and ImmuCellAI, which can assess immune cell infiltration by RNA-seq expression data (ref. 19–ref. 21). PTC immune infiltrating cells such as dendritic cells, biased M2 phenotype tumor-associated macrophages, and mast cells are associated with tumor differentiation or anti-tumor immune responses (ref. 22–ref. 24). Several studies have investigated the relationship between known differentially expressed genes (DEGs) in PTC, TIME, and prognosis (ref. 25–ref. 27). However, these studies did not include currently unproven immune-related genes or prognostic genes that were not differentially expressed in the analysis. In addition, models that incorporate multiple genes limit the feasibility of their clinical application. To address these limitations, this study employed the ESTIMATE algorithm to calculate immune scores for PTC cases.
Dedifferentiation, gene mutation, and immune microenvironment significantly impact the biological behavior and clinical prognosis of PTC. In this study, we initially explored the effects of these three markers on PFI in PTC patients, revealing that only TDS influenced prognosis. Subsequently, the influencing factors and mechanisms were explored for TDS to guide intervention strategies.
Materials and methods
Data acquisition and preprocessing
The transcriptome data and clinical information data of the PTC patients were from the Cancer Genome Atlas (TCGA) genome database (https://portal.gdc.cancer.gov/). PTC samples in the TCGA database were collected and sequenced primarily between 2010 and 2015. We obtained 507 PTC patients’ data, and 391 of them with complete TDS, TMB, and immune scores data were analyzed. Perl version 5.24.3 software was utilized to transform original RNA sequencing data into an RNA expression matrix.
Calculation of immune score, TDS, and TMB in PTC patients
ESTIMATE, a computerized algorithm, can infer the level of stromal and immune cell infiltration in tumor tissue based on expression profiles (ref. 28). The immune score of the immune microenvironment in PTC patients was calculated by the ESTIMATE algorithm.
TDS encompasses the expression levels of 16 thyroid metabolic and functional mRNAs (ref. 12). The log2 normalized RSEM values were first centered on the median of each sample to derive the log2 (fold-change) (FC), and then the TDS of each tumor tissue was obtained by summing the 16 genes of each sample. The calculation formula was as follows: TDS = log2 (FC) average of 16 genes (ref. 29, ref. 30). The genes involved were DIO1, DIO2, DUOX1, DUOX2, FOXE1, GLIS3, NKX2-1, PAX8, SLC26A4, SLC5A5, SLC5A8, TG, THRA, THRB, TPO, and TSHR.
TMB was defined as the number of somatic, coding, base substitution, and insertion-deletion variants per megabase (Mb) of the examined target genomic region (ref. 14). The formula was calculated as follows: sample TMB = number of mutations/exon region size (ref. 31). The TMB distribution for patients was directly acquired from the TCGA database.
Key indicators identification
We first explored the influence of immune score, TDS, and TMB on the survival outcome of PTC patients by Kaplan-Meier (KM) method and log-rank test. Due to the long overall survival and tumor-specific survival of PTC patients, this study collected limited mortality data. PFI was used as the survival indicator. PFI is defined as the time interval between the date of diagnosis of the disease and the occurrence of a new tumor event, including disease progression, local recurrence, distant metastasis, the new primary tumor, or death from a tumor (ref. 32). In the KM analysis, all the patients were divided into high and low groups according to the optimal cut-off value and median of TDS, TMB, and immune scores. The optimal cut-off value is the minimum P-value cut-off for univariable Cox analysis when PFI is the primary endpoint and is obtained from the R software package “survminer”. We then performed a Cox regression analysis to assess their association with PFI. The factor of PFI was regarded as the key indicator.
Definition of high/low-risk dedifferentiation
In this study, only TDS showed an association with PFI, thus becoming the research topic in the subsequent analysis. The 391 PTC patients were grouped by the optimal cut-off value (-0.303) of the TDS score. The low-differentiation score group (TDS≤-0.303) was defined as high-risk dedifferentiation, while the high-differentiation score group (TDS>-0.303) was designated as low-risk dedifferentiation. We then compared the baseline data between high and low-risk dedifferentiation groups.
Collected baseline variables
Relevant variables collected in this study were related to: demographic characteristics (age, sex, race), tumor-related clinical variables (disease duration, tumor size, TNM stage, PTC subtypes, stage, site, and focus type of primary lesions, lymph node preoperative assessment diagnostic imaging type, medical history of the thyroid gland disorder, radiation therapy and response to therapy, postoperative tumor residue after resection) and follow-up (follow-up after radiation treatment, PTC status after initial treatment).
The disease duration was defined as the time interval between initial diagnosis and completion of the TCGA program. Tumors with ≥99% of follicular structures were considered to be follicular variant PTC, and those with tall cells content ≥50% were defined as TCPTC. It has been noted that stage 1 and 2 tumors remain confined to the thyroid gland and have not yet spread to the central compartment of the lymph nodes; in stages 3 and 4, the cancer spreads to the lymph nodes, including other organs (ref. 33). Therefore, we combined stage 1 and 2 samples as early-stage samples and stage 3 and 4 samples as advanced-stage samples. Preoperative lymph node imaging was categorized as ultrasound-only or other. The other included computed tomography (CT)-only, magnetic resonance imaging (MRI)-only, or combinations. Response to radiotherapy was classified as complete response or other, with other conditions including partial response, stable disease, and radiographic progressive disease. Residual tumors after resection were categorized as absent or present. Complete resection of the tumor was defined as no tumor residue, resection with residue under a microscope and residue visible to the naked eye was classified as having residue. In the follow-up results, the status of PTC after initial treatment included both no imaging evidence of disease and disease persistence. Disease persistence included persistent locoregional disease and persistent distant metastases. In spite some samples had missing data, which are clinically valuable and worth analyzing, they were retained for baseline and/or subsequent analyses.
Influencing factors and model construction of high-risk dedifferentiation
After baseline comparison, we conducted a logistic regression analysis to explore the key factors and established a nomogram model for predicting the high-risk dedifferentiation. The performance of the nomogram model was then evaluated by several analyses. The detailed information is shown in the following Statistical analysis section.
Potential mechanism exploration associated with dedifferentiation
The RNA-seq expression data of PTC patients were normalized using the log2 (X+1) method. Supplementary Table S1 displays the normalized data of 16 TDS-related genes and CD55. The “Limma” package in R software was used to detect the differentially expressed genes (DEGs) between the high-risk dedifferentiation group and the low-risk differentiation group (DEG1), as well as high and low nomogram score groups (DEG2), based on the threshold of adjusted P-value < 0.05 and |log2 (FC)| > 1. Gene expression volcano plots were created with Graphpad Prism 8. Overlapping genes between DEG1 and DEG2 were identified using Venn diagrams (bioinformatics.psb.ugent.be/webtools/Venn/). Kyoto Encyclopedia of Genes and Genomes (KEGG) enrichment analysis was performed to determine the pathways associated with the overlapping genes and identify genes in major pathways. Finally, the expression levels of key genes involved in the major pathways were analyzed for differences between PTC subtypes and dedifferentiation risk groups, and the correlation between gene expression level and disease duration was also assessed.
Statistical analysis
Continuous variables with non-normal distribution were characterized by medians and quartiles (P25, P75), and the differences between high and low-risk dedifferentiation groups were compared using the Wilcoxon-Mann-Whitney test. Categorical variables were presented as frequencies (n) and proportions (%) and then compared by the Chi-square test/Fisher exact test. Variables that were statistically different from baseline comparisons were included in logistic regression analyses to explore the factors influencing high-risk dedifferentiation in PTC patients. Collinearity analysis was performed due to the joint confirmation of tumor staging by T, N, and M staging indicators, and the potential for interactions among other indicators. Collinearity was considered present when the variance inflation factor (VIF) exceeded 10.
Based on the results of multivariable logistic regression, a model for high-risk dedifferentiation was constructed using the nomogram method. Receiver operating characteristic analysis (ROC) was used to evaluate the performance of the key factors in predicting high-risk dedifferentiation using “pROC” packages, while decision curve analysis (DCA) based on “rmda” packages was used to assess the net clinical benefit of the model. In addition, based on the “dplyr” and “Hmisc” packages in the R software, integrated discrimination improvement (IDI) analysis and net reclassification improvement (NRI) analysis were conducted to explore the improvement in the performance of the models compared to the individual influences. Restricted cubic spline (RCS) analysis via “rms” packages was utilized to explore the association of nomogram score and dedifferentiation. These analyses were performed using R software (version 4.4.1), with statistical significance set at P < 0.05.
Results
The influence of three biomarkers on PFI
The influence of three tumor biomarkers including TDS, TMB, and immune scores on PFI was analyzed in 391 PTC patients. All patients were divided into high and low-score groups according to the optimal cut-off value and median of TDS, TMB, and immune scores. For the TDS score, the high-differentiated group had a better prognosis compared to the low-differentiated group (P<0.05) (f1). Regarding TMB, groups with high mutation burden showed worse prognosis compared to the low mutation burden group (P<0.001) (f1). Immune score showed no significant influence on prognosis (P>0.05) (f1). The results of multivariable Cox regression analysis revealed that on both continuous and dichotomous TDS, TMB, and immune scores categorized by the optimal cut-off value, only TDS remained an influencing factor of PFI after adjusted age, sex, and race (T1). Due to the association between TDS and PFI, therefore the differentiation status of PTC patients became the topic of our next analysis.

Table 1: Results of multivariable Cox analysis of the influences of TDS, TMB and immune scores on PFI in PTC patients.
| Variables | HR | 95%CI | P-value |
|---|---|---|---|
| COX model 1 | |||
| Age | 1.018 | 0.997-1.039 | 0.093 |
| Gender | 0.770 | 0.372-1.594 | 0.481 |
| Race | 0.644 | 0.190-2.183 | 0.480 |
| TDS as continuous variable | 0.691 | 0.506-0.945 | 0.021 |
| TMB as continuous variable | 1.285 | 0.875-1.888 | 0.201 |
| Immune score as continuous variable | 1.000 | 1.000-1.000 | 0.179 |
| COX model 2 | |||
| Age | 1.012 | 0.989,1.035 | 0.314 |
| Gender | 0.763 | 0.370,1.573 | 0.463 |
| Race | 0.636 | 0.191,2.117 | 0.461 |
| TDS as dichotomized variable | 2.480 | 1.186,5.185 | 0.016 |
| TMB as dichotomized variable | 1.615 | 0.779,3.344 | 0.197 |
| Immune score as dichotomized variable | 0.533 | 0.264,1.076 | 0.079 |
HR, Hazard ratio; CI, Confidence interval; TDS, Thyroid differentiation score; TMB, Tumor mutation burden.
Baseline characteristics of high/low-risk dedifferentiation groups
T2 demonstrates the differences in baseline data between the high/low-risk dedifferentiation groups. The median age of 391 PTC patients was 46.000 (34.000,58.000). The majority were non-Hispanic (90.064%), with a lower proportion in the high-risk group compared to the low-risk group (86.250% vs. 94.079%, P=0.021). Among the continuous variables, disease duration, tumor length, tumor width, number of examined lymph nodes, and number of positive lymph nodes were higher in the high-risk group than the low-risk group (all P<0.05). Among the categorical variables, 28.302% of patients in the high-risk group had a medical history of thyroid gland disorder, lower than the low-risk group (44.643%) (P=0.006). The percentage of patients with classic/usual PTC was higher in the high-risk group than in the low-risk group (82.065% vs 60.099%) (P<0.001). T3 stage, T4 stage, N1 stage, advanced stage, follow-up after radiation treatment, and residual tumor were more prevalent in the high-risk group than in the low-risk group (all P<0.05).
Table 2: The baseline information of participants grouped by the risk of dedifferentiation.
| Variables | Total(n=391) | Low risk(n=205) | High risk(n=186) | P-value |
|---|---|---|---|---|
| Age, years | 391(100.000) | 46.000(34.000,58.000) | 47.000(34.000,58.000) | 0.904 |
| Tumor depth, cm | 319(81.586) | 1.500(1.000,2.000) | 1.600(1.000,2.500) | 0.240 |
| Tumor length, cm | 369(94.373) | 2.400(1.500,3.500) | 2.800(1.800,4.000) | 0.016 |
| Tumor width, cm | 334(85.422) | 1.900(1.200,2.700) | 2.200(1.500,3.000) | 0.015 |
| Number of examined lymph nodes | 297(75.959) | 4.000(2.000,10.000) | 7.000(3.000,17.000) | 0.014 |
| Number of positive lymph nodes | 294(75.192) | 0.000(0.000,3.000) | 2.000(0.000,6.000) | <0.001 |
| I-131 doses, mCi | 184(47.059) | 100.000(75.200,125.000) | 101.000(94.600,150.000) | 0.268 |
| Disease duration, years | 390(99.744) | 1.000(1.000,3.000) | 2.000(1.000,5.000) | <0.001 |
| Gender, n(%) | 0.715 | |||
| Male | 100(25.575) | 54(26.341) | 46(24.731) | |
| Female | 291(74.425) | 151(73.659) | 140(75.269) | |
| Race, n(%) | 0.021 | |||
| Non-Hispanic | 281(90.064) | 143(94.079) | 138(86.250) | |
| Hispanic | 31(9.936) | 9(5.921) | 22(13.750) | |
| PTC subtypes, n(%) | <0.001 | |||
| Classical/usual | 273(70.543) | 122(60.099) | 151(82.065) | |
| Follicular | 85(21.964) | 76(37.438) | 9(4.891) | |
| Tall cell | 29(7.494) | 5(2.463) | 24(13.043) | |
| Stage, n(%) | 0.002 | |||
| Early | 268(68.895) | 155(75.980) | 113(61.081) | |
| Advanced | 121(31.105) | 49(24.020) | 72(38.919) | |
| T stage, n(%) | <0.001 | |||
| T1 | 114(29.306) | 73(35.784) | 41(22.162) | |
| T2 | 131(33.676) | 78(38.235) | 53(28.649) | |
| T3 | 129(33.162) | 52(25.490) | 77(41.622) | |
| T4 | 15(3.856) | 1(0.490) | 14(7.568) | |
| N stage, n(%) | <0.001 | |||
| N0 | 186(47.570) | 119(58.049) | 67(36.022) | |
| N1 | 205(52.430) | 86(41.951) | 119(63.978) | |
| M stage, n(%) | 0.358 | |||
| M0 | 217(55.641) | 109(53.431) | 108(58.065) | |
| M1 | 173(44.359) | 95(46.569) | 78(41.935) | |
| PTC status after initial treatment, n(%) | 0.083 | |||
| Tumor free | 233(91.016) | 135(93.750) | 98(87.500) | |
| Persistent | 23(8.984) | 9(6.250) | 14(12.500) | |
| Follow-up after radiation treatment, n(%) | 0.010 | |||
| No | 136(39.306) | 84(45.652) | 52(32.099) | |
| Yes | 210(60.694) | 100(54.348) | 110(67.901) | |
| Lymph node preoperative assessment diagnostic imaging type, n(%) | 0.830 | |||
| Ultrasound | 225(78.947) | 116(79.452) | 109(78.417) | |
| Other | 60(21.053) | 30(20.548) | 30(21.583) | |
| Medical history of thyroid gland disorder, n(%) | 0.006 | |||
| Normal | 207(63.303) | 93(55.357) | 114(71.698) | |
| Nodular hyperplasia | 57(17.431) | 38(22.619) | 19(11.950) | |
| Lymphocytic thyroiditis | 63(19.266) | 37(22.024) | 26(16.352) | |
| Primary neoplasm focus type, n(%) | 0.569 | |||
| Unifocal | 206(53.927) | 104(52.525) | 102(55.435) | |
| Multifocal | 176(46.073) | 94(47.475) | 82(44.565) | |
| Primary site, n(%) | 0.106 | |||
| Left lobe | 140(36.269) | 68(33.333) | 72(39.560) | |
| Right lobe | 166(43.005) | 98(48.039) | 68(37.363) | |
| Bilateral and isthmus | 80(20.725) | 38(18.627) | 42(23.077) | |
| Radiation, n(%) | 0.057 | |||
| No | 55(35.714) | 31(43.662) | 24(28.916) | |
| Yes | 99(64.286) | 40(56.338) | 59(71.084) | |
| Radiation response, n(%) | 0.511 | |||
| Complete | 120(85.106) | 55(87.302) | 65(83.333) | |
| Other | 21(14.894) | 8(12.698) | 13(16.667) | |
| Residual tumor, n(%) | 0.023 | |||
| Absent | 306(88.696) | 169(92.350) | 137(84.568) | |
| Present | 39(11.304) | 14(7.650) | 25(15.432) | |
PTC, Papillary thyroid carcinoma.
The influencing factors of high-risk dedifferentiation
Collinearity analysis of the 13 significantly different variables revealed no collinearity (all VIF<10) (Supplementary Table S2). The 13 variables were included in the logistic regression analysis. The results of univariable logistic regression showed that except for the number of examined lymph nodes, the other 12 variables were related to dedifferentiation (all P<0.05). Further multivariable logistic analysis containing all variables showed that only disease duration and PTC subtypes were influential factors for high-risk dedifferentiated PTC. Follicular variant PTC was a protective factor for high-risk dedifferentiation (OR=0.207, 95%CI: 0.035-0.872) and tall cell PTC was a risk factor for it (OR=8.035, 95%CI: 1.389-72.04). Longer disease duration increased the likelihood of dedifferentiation (OR=1.192, 95%CI: 1.018-1.427) (all P<0.05) (T3). Further analysis revealed that TCPTC had the lowest TDS, and TDS decreased with increasing disease duration (f2).
Table 3: Results of logistic regression analysis of factors associating with high-risk of dedifferentiation.
| Variables | Univariable analysis | Multivariable analysis |
|---|---|---|
| OR(95%CI) | OR(95%CI) | |
| Tumor length | 1.168(1.025-1.332)** | 0.752(0.356-1.531) |
| Tumor width | 1.230(1.023-1.477)** | 2.131(0.828-5.920) |
| Number of examined lymph nodes | 1.011(0.996-1.027) | 0.976(0.932-1.020) |
| Number of positive lymph nodes | 1.048(1.003-1.096)** | 1.071(0.940-1.242) |
| Disease duration, years | 1.136(1.065-1.212)*** | 1.192(1.018-1.427)** |
| Race | ||
| Non- Hispanic | Reference | Reference |
| Hispanic | 2.533(1.127-5.694)** | 2.398(0.614-11.466) |
| PTC subtypes | ||
| Classical/usual | Reference | Reference |
| Follicular | 0.096(0.046-0.199)*** | 0.207(0.035-0.872)** |
| Tall cell | 3.878(1.437-10.464)** | 8.035(1.389-72.04)** |
| T stage | ||
| T1 | Reference | Reference |
| T2 | 1.210(0.721-2.030) | 0.592(0.162-2.027) |
| T3 | 2.636(1.568-4.433)*** | 1.511(0.368-6.093) |
| T4 | 24.927(3.163-196.456)** | 3.94(0.182-146.565) |
| N stage | ||
| N0 | Reference | Reference |
| N1 | 2.458(1.634-3.696)*** | 2.199(0.749-6.585) |
| Stage | ||
| Early | Reference | Reference |
| Advanced | 2.016(1.303-3.119)** | 0.381(0.099-1.309) |
| Follow-up after radiation treatment | ||
| No | Reference | Reference |
| Yes | 1.777(1.145-2.757)** | 0.948(0.346-2.534) |
| Medical history of thyroid gland disorder | ||
| Normal | Reference | Reference |
| Nodular hyperplasia | 0.408(0.221-0.754)** | 1.556(0.394-6.212) |
| Lymphocytic thyroiditis | 0.573(0.324-1.015) | 0.819(0.283-2.355) |
| Residual tumor | ||
| Absent | Reference | Reference |
| Present | 2.203(1.103-4.400)** | 2.158(0.403-14.145) |
* : P<0.05,**; P<0.001,***.
OR, Odds ratio; CI, Confidence interval; PTC, Papillary thyroid carcinoma.

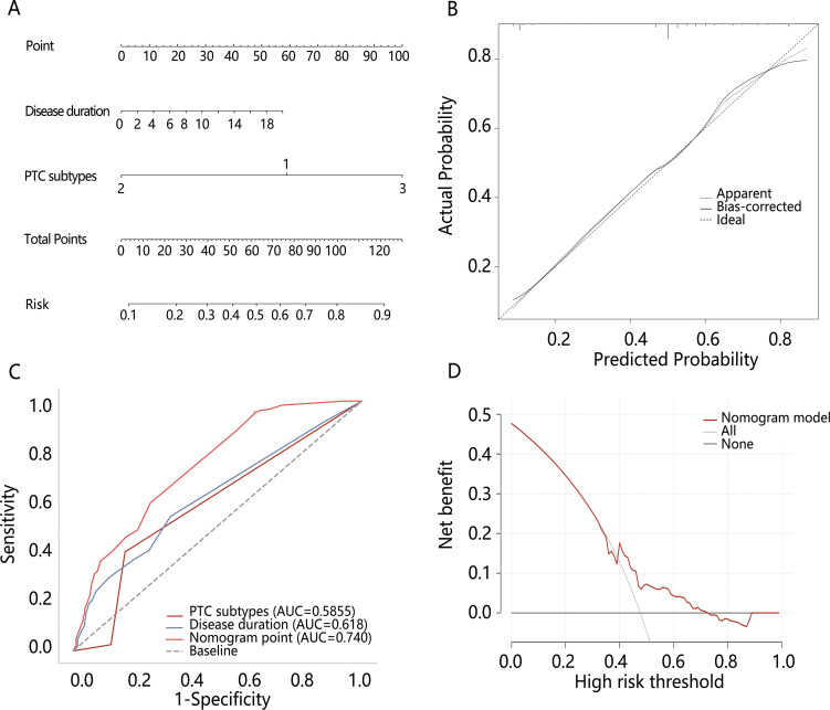
Nomogram model construction and performance evaluation
Based on the multivariable logistic regression results, the nomogram model was constructed based on disease duration and PTC subtypes. Meanwhile, the calibration curve of the nomogram model was plotted, demonstrating good calibration (f3). The performance of disease duration and PTC subtypes as well as the nomogram model in predicting high-risk dedifferentiation was further evaluated by ROC analysis (T4, f3). Results indicated that PTC subtypes had the highest specificity (0.821), while the nomogram model exhibited the highest AUC (0.740), sensitivity (0.957), Youden index (0.328), and accuracy (0.524). The Delong test revealed that the AUC value of the nomogram model was significantly higher than the AUC values for disease duration alone and PTC subtypes alone (all P<0.001). DCA confirmed that the nomogram model could provide a net clinical benefit, with a risk interval of 0.40-0.76 (f3). IDI analysis showed that the performance of the nomogram model was improved by 15.3% compared to single disease duration (IDI=0.153, 95%CI: 0.118-0.188, P<0.001) and 18.8% improvement compared to PTC subtypes (IDI=0.188, 95%CI: 0.149-0.228, P<0.001). NRI analysis suggested that nomogram model discriminative performance improved by 25.8% and 5.7% compared to PTC subtypes (NRI=0.258, 95%CI: 0.180-0.337) and disease duration (NRI=0.057, 95%CI: -0.039-0.169), respectively. These results indicated that the constructed nomogram model possessed good discriminative capability.

Table 4: The results of ROC analysis of factors associated with high-risk dedifferentiation.
| Variables | PTC subtypes | Disease duration | Nomogram Point |
|---|---|---|---|
| AUC | 0.585(0.534-0.620) | 0.618(0.572-0.667) | 0.740(0.696-0.792) |
| Sensitivity | 0.396(0.338-0.458) | 0.538(0.239-0.606) | 0.957(0.575-0.987) |
| Specificity | 0.821(0.754-0.860) | 0.663(0.617-0.927) | 0.371(0.323-0.781) |
| Youden index | 0.217(0.133-0.288) | 0.201(0.149-0.286) | 0.328(0.268-0.426) |
| Accuracy | 0.476(0.410-0.535) | 0.523(0.468-0.578) | 0.524(0.480-0.574) |
| Best cutoff | 2.000(2.000-2.000) | 2.000(2.000-6.000) | 37.338(14.361-64.719) |
| Delong test | P<0.001 | P<0.001 | / |
Potential mechanism associated with dedifferentiation
We next explored the potential mechanism associated with the PTC dedifferentiation. RCS analysis initially indicated a linear positive relationship between nomogram score and dedifferentiation risk (P for overall<0.001, P for nonlinear=0.841), suggesting the involvement of common biomarkers between them (f4). Therefore, we then explored the DEGs between high and low-risk dedifferentiation groups, as well as between high and low-nomogram score groups who were divided by their optimal cut-off value. According to the criteria of |log2 FC)|>1 and adjusted P-value<0.05 (f4), there were 290 DEGs obtained in the different dedifferentiation groups (Supplementary Table S3) and 32 DEGs obtained in the different nomogram score groups (Supplementary Table S4), with 17 overlapping genes between the two groups (Supplementary Table S5; f4). Among the 17 overlapping genes, we found 11 up-regulated genes and 6 down-regulated genes. KEGG enrichment analysis revealed three significant pathways: complement and coagulation cascades, proteoglycans in cancer, and aldosterone-regulated sodium reabsorption (all P<0.05) (f5). Among these, the complement and the coagulation cascades pathway were the main pathway, with CD55 identified as a key factor (f5).


We further analyzed the expression level of CD55 between groups with different PTC subtypes, disease duration, and dedifferentiation (f6). The results showed significant upregulation of CD55 expression in the high-risk dedifferentiation group. Tall cell PTC exhibited higher CD55 expression levels compared to follicular PTC. Additionally, CD55 expression levels demonstrated an increasing trend with prolonged disease duration.

Discussion
Clinical treatment response and prognosis in PTC patients can be evaluated using dedifferentiation, TMB, and immune scores. Our research utilized high-throughput sequencing data from the TCGA database to calculate TDS, TMB, and immune scores for PTC tumor samples. The influences of the three tumor biomarkers on PFI in PTC patients were further examined. Multivariable Cox analysis revealed that only TDS was an influence factor of PFI, highlighting the crucial role of cellular differentiation levels in patient prognosis. Therefore, investigating the high-risk clinical features and molecular mechanisms of high-risk dedifferentiated populations could facilitate early detection, enabling appropriate therapeutic interventions and potentially improving patient outcomes.
Multivariable logistic regression analysis of high-risk dedifferentiation indicated that PTC subtypes and disease duration were significant risk factors for dedifferentiation. The nomogram model combining PTC subtypes and disease duration demonstrated good discriminative ability and can be clinically beneficial. PTC exhibits various variant subtypes (ref. 34). The American Thyroid Association classifies PTC subtypes such as tall cell, diffuse sclerosing, and hobnail as intermediate risk based on their aggressiveness, with TCPTC being the most common aggressive PTC subtype. These subtypes are less differentiated than classic PTC (ref. 35–ref. 37). Our results also revealed that TCPTC had the highest risk of dedifferentiation compared with classic/usual PTC and follicular variant PTC. In KEGG pathway analysis, we found that FN1 as a marker of epithelial-mesenchymal transition (EMT) was involved in PTC dedifferentiation. EMT plays a key role in PTC invasion and anaplastic transformation (ref. 38, ref. 39). It has been suggested that as the disease progresses, some PTCs may undergo dedifferentiation, transforming into anaplastic thyroid cancer (ATC) and poorly differentiated thyroid cancer, accompanied by more aggressive pathological and clinical behaviors (ref. 8). A median disease duration transforming PTC into ATC has been reported as 6 years (ref. 40). Furthermore, in terms of molecular classification, PTC can be categorized into BRAF-like and RAS-like PTC (ref. 41). Different oncogenic drivers may cause PTC to exhibit different degrees of differentiation (or TDS) (ref. 42). TDS is a comprehensive indicator related to the expression and function of genes involved in iodine metabolism (ref. 43). Low TDS may cause patients to develop radioactive iodine resistance, leading to poor prognosis and high mortality (ref. 44).
Further, our study identified 17 genes associated with PTC dedifferentiation. Enrichment analysis of these DEGs revealed core pathways and hub genes, potentially offering new insights into dedifferentiation mechanisms. KEGG analysis demonstrated that the PLAUR gene was involved in the proteoglycans in cancer. Research has shown that the PLAUR gene plays a role in PTC differentiation and HER2-positive breast cancer metastasis (ref. 45, ref. 46). Evidence suggests that the PLAUR gene activates the urokinase fibrinogen activator receptor (uPAR). uPAR promotes the activation of fibrinogen, which breaks down the peri-tumor stroma and basement membrane (e.g., fibronectin, proteoglycans), creating conditions for tumor invasion and metastasis (ref. 47).
Our analysis revealed that the most important pathways in the KEGG enrichment analysis were the complement and coagulation cascades. The complement system is crucial for eliminating foreign microorganisms and regulating both innate and adaptive immunity (ref. 48). Research has demonstrated that the coagulation and complement cascade pathway has multiple positive and negative effects on the incidence, progression, and prognosis of tumors, as well as influencing tumor microenvironment components (ref. 49–ref. 51). Activation of the complement pathway leads to the formation of membrane attack complexes that induce cellular activity under target cell lysis or shedding. Inappropriate complement activation or altered expression of complement regulatory proteins inhibits the elimination of tumor cells by immune cells, which is associated with a variety of tumors (ref. 52, ref. 53) Coagulation begins after complement activation, subsequently triggering platelet activity (ref. 54). Activated platelets can influence immune cell function, leading to inflammation (ref. 55). The previous study has confirmed thrombocytosis accompanying inflammation-related colorectal cancer and highlighted the crucial role of interleukin-6 (IL-6) in this process (ref. 56). Research has shown that IL-6, activin-A, and granulocyte colony-stimulating factor (G-CSF) in the tumor microenvironment promote the dedifferentiation of hepatocellular carcinoma cells as well as thyroid cancer cells (ref. 57, ref. 58). In the present study, CD55 was identified as a key gene in the coagulation and complement cascade pathway. Known as a complement decay accelerator, CD55 is involved in tumor dedifferentiation, proliferation, invasion, and migration and its upregulation may be associated with tumor progression (ref. 59–ref. 61). Previous studies have shown that the complement system is activated in PTC and regulated through CD46, CD55, and CD59 (ref. 62). CD55 protects thyroid cancer cells from complement-mediated attack and promotes carcinogenesis by allowing tumor cells to escape from cytolysis (ref. 63). The results of our analysis suggested that CD55 expression in patients was up-regulated with increasing disease duration (or in TCPTC), potentially activating complement and coagulation cascade pathway, thus promoting cancer cell dedifferentiation. Based on these results we propose the following clinical recommendations: first, CD55 can be used as a potential prognostic marker for identifying patients at high risk of dedifferentiation, and it is recommended that CD55 immunohistochemical evaluation can be added to postoperative pathology testing and follow-up monitoring should be intensified (e.g., by shortening the interval between follow-ups or by increasing the number of imaging studies) for patients at high risk. Second, more aggressive treatment strategies should be considered for patients with high CD55 expression, such as expanding the extent of surgery or consideration of adjuvant therapies targeting CD55-related pathways (e.g., complement signaling or EMT pathway). In addition, future studies should further validate the predictive value of CD55 and explore its molecular mechanisms to develop possible targeted interventions, such as immunotherapy combined with complement-modulating therapies. Ultimately, the clinical application of CD55 needs to be optimized through multicenter prospective studies to optimize detection criteria and integrate other molecular markers to improve the accuracy of risk stratification.
The innovation of this study is to combine clinical and genetic data to achieve individualized prognostic assessment of PTC patients, providing a more accurate tool for clinical practice and facilitating personalized treatment and management of PTC patients. Nevertheless, there are some limitations of this study: (1) No external validation was performed; (2) There were no clear boundaries for TDS subgroups. In this study, TDS was grouped by the optimal cut-off value, while some studies were grouped by median or 0 (ref. 43, ref. 64). Therefore, future research should investigate optimal TDS grouping thresholds; (3) Data were only obtained from the TGCA database, which limited the extrapolation of results due to the influences of region and ethnicity.
Conclusion
In terms of clinical features, our findings revealed that disease duration and PTC subtypes were risk factors for high-risk dedifferentiation. At the molecular level, we identified 17 DEGs linked to high-risk dedifferentiation, potentially playing crucial roles in regulating PTC dedifferentiation. The complement coagulation cascade pathway may play a dominant role in PTC dedifferentiation, and the CD55 could be the critical gene for PTC dedifferentiation, but further studies are needed to validate the results of these findings.
References
- T Carling, R Udelsman. Thyroid cancer.. Annu Rev Med. (, 2014. [DOI]
- F Bray, M Laversanne, H Sung, J Ferlay, RL Siegel, I Soerjomataram. Global cancer statistics 2022: GLOBOCAN estimates of incidence and mortality worldwide for 36 cancers in 185 countries.. CA Cancer J Clin. (, 2024. [DOI]
- G Laetitia, S Sven, J Fabrice. Combinatorial therapies in thyroid cancer: an overview of preclinical and clinical progresses.. Cells. (, 2020. [DOI | PubMed]
- M Xing. Molecular pathogenesis and mechanisms of thyroid cancer.. Nat Rev Cancer. (, 2013. [DOI]
- G Rindi, O Mete, S Uccella, O Basturk, S La Rosa, LAA Brosens. Overview of the 2022 WHO classification of neuroendocrine neoplasms.. Endocr Pathol. (, 2022. [DOI]
- TA Axelsson, J Hrafnkelsson, EJ Olafsdottir, JG Jonasson. Tall cell variant of papillary thyroid carcinoma: a population-based study in Iceland.. Thyroid. (, 2015. [DOI]
- Y Ito, A Miyauchi, M Kihara, M Fukushima, T Higashiyama, A Miya. Overall survival of papillary thyroid carcinoma patients: A single-institution long-term follow-up of 5897 patients.. World J Surg. (, 2018. [DOI]
- M Volante, AK Lam, M Papotti, G Tallini. Molecular pathology of poorly differentiated and anaplastic thyroid cancer: what do pathologists need to know?. Endocr Pathol. (, 2021. [DOI | PubMed]
- JA Fagin, SA Wells. Biologic and clinical perspectives on thyroid cancer.. N Engl J Med. (, 2016. [DOI]
- A Antonelli, P Fallahi, SM Ferrari, A Carpi, P Berti, G Materazzi. Dedifferentiated thyroid cancer: a therapeutic challenge.. BioMed Pharmacother. (, 2008. [DOI]
- S Papp, SL Asa. When thyroid carcinoma goes bad: a morphological and molecular analysis.. Head Neck Pathol. (, 2015. [DOI | PubMed]
- Integrated genomic characterization of papillary thyroid carcinoma.. Cell. (, 2014. [DOI]
- LL Ritterhouse. Tumor mutational burden.. Cancer Cytopathol. (, 2019. [DOI]
- ZR Chalmers, CF Connelly, D Fabrizio, L Gay, SM Ali, R Ennis. Analysis of 100,000 human cancer genomes reveals the landscape of tumor mutational burden.. Genome Med. (, 2017. [DOI | PubMed]
- MD Hellmann, TE Ciuleanu, A Pluzanski, JS Lee, GA Otterson, C Audigier-Valette. Nivolumab plus ipilimumab in lung cancer with a high tumor mutational burden.. N Engl J Med. (, 2018. [DOI]
- RM Samstein, CH Lee, AN Shoushtari, MD Hellmann, R Shen, YY Janjigian. Tumor mutational load predicts survival after immunotherapy across multiple cancer types.. Nat Genet. (, 2019. [DOI]
- P Nieto, M Elosua-Bayes, JL Trincado, D Marchese, R Massoni-Badosa, M Salvany. A single-cell tumor immune atlas for precision oncology.. Genome Res. (, 2021. [DOI]
- SM Ferrari, P Fallahi, MR Galdiero, I Ruffilli, G Elia, F Ragusa. Immune and inflammatory cells in thyroid cancer microenvironment.. Int J Mol Sci. (, 2019. [DOI | PubMed]
- AM Newman, CL Liu, MR Green, AJ Gentles, W Feng, Y Xu. Robust enumeration of cell subsets from tissue expression profiles.. Nat Methods. (, 2015. [DOI]
- T Li, J Fan, B Wang, N Traugh, Q Chen, JS Liu. TIMER: A web server for comprehensive analysis of tumor-infiltrating immune cells.. Cancer Res. (, 2017. [DOI]
- YR Miao, Q Zhang, Q Lei, M Luo, GY Xie, H Wang. ImmuCellAI: A unique method for comprehensive T-cell subsets abundance prediction and its application in cancer immunotherapy.. Adv Sci (Weinh). (, 2020. [DOI | PubMed]
- KJ Na, H Choi. Immune landscape of papillary thyroid cancer and immunotherapeutic implications.. Endocr Relat Cancer. (, 2018. [DOI]
- B Caillou, M Talbot, U Weyemi, C Pioche-Durieu, A Al Ghuzlan, JM Bidart. Tumor-associated macrophages (TAMs) form an interconnected cellular supportive network in anaplastic thyroid carcinoma.. PloS One. (, 2011. [DOI | PubMed]
- RM Melillo, V Guarino, E Avilla, MR Galdiero, F Liotti, N Prevete. Mast cells have a protumorigenic role in human thyroid cancer.. Oncogene. (, 2010. [DOI]
- W He, Y Sun, J Ge, X Wang, B Lin, S Yu. STRA6 regulates tumor immune microenvironment and is a prognostic marker in BRAF-mutant papillary thyroid carcinoma.. Front Endocrinol (Lausanne). (, 2023. [DOI | PubMed]
- Y Su, B Xu, J Li, Q Shen, Z Lei, M Ma. Identification of m6A-associated LncRNAs as predict factors for the immune infiltration and prognosis of thyroid cancer.. Ann Med. (, 2023. [DOI]
- L Wang, B Yao, J Yang, Z Tian, J He. Construction of a novel cuproptosis-related gene signature for predicting prognosis and estimating tumor immune microenvironment status in papillary thyroid carcinoma.. BMC Cancer. (, 2022. [DOI | PubMed]
- K Yoshihara, M Shahmoradgoli, E Martinez, R Vegesna, H Kim, W Torres-Garcia. Inferring tumour purity and stromal and immune cell admixture from expression data.. Nat Commun. (, 2013. [DOI | PubMed]
- Y Liu, X Wang, X Sun, H Li, L Wang. Nomogram for predicting the risk of cervical lymph node metastases and recurrence in papillary thyroid carcinoma based on the thyroid differentiation score system and clinical characteristics.. BMC Endocr Disord. (, 2025. [DOI | PubMed]
- QY Zhang, Y Wang, Q Zhang, DW Huo, Y Li, D Gao. Construction of thyroid cancer classification and iodine metabolism related diagnostic model using thyroid differentiation score and bioinformation.. Med (Baltimore). (, 2024. [DOI]
- Y Wang, Y He, L Cao, X Peng, Z Gu, J Yan. Exploring the correlation analysis of immune microenvironment, mutation burden and prognosis of papillary thyroid carcinoma based on Estimate algorithm.. Gland Surg. (, 2022. [DOI]
- B Lin, K Wang, Y Yuan, Y Wang, Q Liu, Y Wang. A novel approach to the analysis of Overall Survival (OS) as response with Progression-Free Interval (PFI) as condition based on the RNA-seq expression data in The Cancer Genome Atlas (TCGA).. BMC Bioinf. (, 2024. [DOI]
- S Bhalla, H Kaur, R Kaur, S Sharma, GPS Raghava. Expression based biomarkers and models to classify early and late-stage samples of Papillary Thyroid Carcinoma.. PloS One. (, 2020. [DOI | PubMed]
- SD Sak. Variants of Papillary Thyroid Carcinoma: Multiple Faces of a Familiar Tumor.. Turk Patoloji Derg. (, 2015. [DOI]
- BR Haugen, EK Alexander, KC Bible, GM Doherty, SJ Mandel, YE Nikiforov. 2015 American thyroid association management guidelines for adult patients with thyroid nodules and differentiated thyroid cancer: the american thyroid association guidelines task force on thyroid nodules and differentiated thyroid cancer.. Thyroid. (, 2016. [DOI | PubMed]
- R Ghossein, VA Livolsi. Papillary thyroid carcinoma tall cell variant.. Thyroid. (, 2008. [DOI]
- RI Haddad, C Nasr, L Bischoff, NL Busaidy, D Byrd, G Callender. NCCN guidelines insights: thyroid carcinoma, version 2.2018.. J Natl Compr Canc Netw. (, 2018. [DOI]
- Y Liao, Y Hua, Y Li, C Zhang, W Yu, P Guo. CRSP8 promotes thyroid cancer progression by antagonizing IKKalpha-induced cell differentiation.. Cell Death Differ. (, 2021. [DOI]
- Q Zhou, J Chen, J Feng, Y Xu, W Zheng, J Wang. SOSTDC1 inhibits follicular thyroid cancer cell proliferation, migration, and EMT via suppressing PI3K/Akt and MAPK/Erk signaling pathways.. Mol Cell Biochem. (, 2017. [DOI | PubMed]
- T Yau, CY Lo, RJ Epstein, AK Lam, KY Wan, BH Lang. Treatment outcomes in anaplastic thyroid carcinoma: survival improvement in young patients with localized disease treated by combination of surgery and radiotherapy.. Ann Surg Oncol. (, 2008. [DOI]
- ZW Baloch, SL Asa, JA Barletta, RA Ghossein, CC Juhlin, CK Jung. Overview of the 2022 WHO classification of thyroid neoplasms.. Endocr Pathol. (, 2022. [DOI | PubMed]
- I Landa, T Ibrahimpasic, L Boucai, R Sinha, JA Knauf, RH Shah. Genomic and transcriptomic hallmarks of poorly differentiated and anaplastic thyroid cancers.. J Clin Invest. (, 2016. [DOI]
- L Boucai, V Seshan, M Williams, JA Knauf, M Saqcena, RA Ghossein. Characterization of subtypes of BRAF-mutant papillary thyroid cancer defined by their thyroid differentiation score.. J Clin Endocrinol Metab. (, 2022. [DOI]
- AR Syed, A Gorana, E Nohr, XK Yuan, MP Amin, S Ghaznavi. Predictors of radioiodine (RAI)-avidity restoration for NTRK fusion-positive RAI-resistant metastatic thyroid cancers.. Eur Thyroid J. (, 2024. [DOI | PubMed]
- CW Li, X Shi, B Ma, YL Wang, ZW Lu, T Liao. A 4 gene-based immune signature predicts dedifferentiation and immune exhaustion in thyroid cancer.. J Clin Endocrinol Metab. (, 2021. [DOI]
- V Indira Chandran, S Eppenberger-Castori, T Venkatesh, KL Vine, M Ranson. HER2 and uPAR cooperativity contribute to metastatic phenotype of HER2-positive breast cancer.. Oncoscience. (, 2015. [DOI]
- M Schmitt, F Janicke, N Moniwa, N Chucholowski, L Pache, H Graeff. Tumor-associated urokinase-type plasminogen activator: biological and clinical significance.. Biol Chem Hoppe Seyler. (, 1992. [DOI]
- F Defendi, NM Thielens, G Clavarino, JY Cesbron, C Dumestre-Perard. The immunopathology of complement proteins and innate immunity in autoimmune disease.. Clin Rev Allergy Immunol. (, 2020. [DOI]
- Z Gong, Y He, X Mi, C Li, X Sun, G Wang. Complement and coagulation cascades pathway-related signature as a predictor of immunotherapy in metastatic urothelial cancer.. Aging (Albany NY). (, 2023. [DOI]
- H Su, Y Chen, W Wang. Novel prognostic model of complement and coagulation cascade-related genes correlates with immune environment and drug sensitivity in hepatocellular carcinoma.. Heliyon. (, 2024. [DOI | PubMed]
- Y Liu, S Xiong, S Liu, J Chen, H Yang, G Liu. Analysis of gene expression in bladder cancer: possible involvement of mitosis and complement and coagulation cascades signaling pathway.. J Comput Biol. (, 2020. [DOI]
- M Revel, MV Daugan, C Sautes-Fridman, WH Fridman, LT Roumenina. Complement system: promoter or suppressor of cancer progression?. Antibodies (Basel). (, 2020. [DOI | PubMed]
- M Noris, G Remuzzi. Overview of complement activation and regulation.. Semin Nephrol. (, 2013. [DOI]
- JW Heemskerk, EM Bevers, T Lindhout. Platelet activation and blood coagulation.. Thromb Haemost. (, 2002. [DOI]
- M Schlesinger. Role of platelets and platelet receptors in cancer metastasis.. J Hematol Oncol. (, 2018. [DOI | PubMed]
- V Josa, S Ferenczi, R Szalai, E Fuder, D Kuti, K Horvath. Thrombocytosis and effects of IL-6 knock-out in a colitis-associated cancer model.. Int J Mol Sci. (, 2020. [DOI | PubMed]
- CFD Rodrigues, E Serrano, MI Patricio, MM Val, P Albuquerque, J Fonseca. Stroma-derived IL-6, G-CSF and Activin-A mediated dedifferentiation of lung carcinoma cells into cancer stem cells.. Sci Rep. (, 2018. [DOI | PubMed]
- L Zhang, S Xu, X Cheng, J Wu, Y Wang, W Gao. Inflammatory tumor microenvironment of thyroid cancer promotes cellular dedifferentiation and silencing of iodide-handling genes expression.. Pathol Res Pract. (, 2023. [DOI | PubMed]
- X Yin, C Shen, Y Yin, Z Cai, J Wang, Z Zhao. Overexpression of CD55 correlates with tumor progression and poor prognosis in gastric stromal tumors.. Onco Targets Ther. (, 2019. [DOI]
- CKF Chan, GS Gulati, R Sinha, JV Tompkins, M Lopez, AC Carter. Identification of the human skeletal stem cell.. Cell. (, 2018. [DOI | PubMed]
- SH Dho, EH Cho, JY Lee, SY Lee, SH Jung, LK Kim. A novel therapeutic anti−CD55 monoclonal antibody inhibits the proliferation and metastasis of colorectal cancer cells.. Oncol Rep. (, 2019. [DOI]
- M Yamakawa, K Yamada, T Tsuge, H Ohrui, T Ogata, M Dobashi. Protection of thyroid cancer cells by complement-regulatory factors.. Cancer. (, 1994. [DOI]
- SD Lucas, A Karlsson-Parra, B Nilsson, L Grimelius, G Akerstrom, J Rastad. Tumor-specific deposition of immunoglobulin G and complement in papillary thyroid carcinoma.. Hum Pathol. (, 1996. [DOI]
- JR Wang, ME Zafereo, ME Cabanillas, CC Wu, L Xu, Y Dai. The association between thyroid differentiation score and survival outcomes in papillary thyroid carcinoma.. J Clin Endocrinol Metab. (, 2025. [DOI]
