Label Accuracy of Legal Oral Cannabis Oil Products in Ontario, Canada
Abstract
This case series compares amounts of tetrahydrocannabinol and cannabidiol reported on product labels vs levels found in laboratory testing in legal oral cannabis oil products in Ontario, Canada.
Affiliations: Michael G. DeGroote Centre for Medicinal Cannabis Research, McMaster University and St Joseph’s Healthcare Hamilton, Hamilton, Ontario, Canada; Peter Boris Centre for Addictions Research, McMaster University and St Joseph’s Healthcare Hamilton, Hamilton, Ontario, Canada; Department of Psychiatry and Behavioural Neurosciences, McMaster University, Hamilton, Ontario, Canada; Centre for Microbial Chemical Biology, McMaster University, Hamilton, Ontario, Canada; Department of Anesthesia, McMaster University, Hamilton, Ontario, Canada; Department of Health Research Methods, Evidence, and Impact, McMaster University, Hamilton, Ontario, Canada
License: Copyright 2024 Doggett A et al. JAMA Network Open. CC BY 4.0 This is an open access article distributed under the terms of the CC-BY License.
Article links: DOI: 10.1001/jamanetworkopen.2024.14922 | PubMed: 38837163 | PMC: PMC11154152
Relevance: Moderate: mentioned 3+ times in text
Full text: PDF (202 KB)
Introduction
In October 2018, Canada legalized cannabis for nonmedical (recreational) use. One component of the federal system was quality control, including cannabis labeling requirements that specify the allowable variance between labeled and actual amounts of tetrahydrocannabinol (THC) and cannabidiol (CBD) in a commercial product.1 Research examining legal cannabis products has found high rates of label inaccuracy for THC and CBD,2,3 but to our knowledge, no study has examined label accuracy of cannabis products in the legal Canadian market.
Methods
Between November 2021 and January 2022, this case series study tracked all oral oil products available on the Ontario Cannabis Store (OCS) website and randomly selected 30 products that were available at least twice during the study period. Amounts of CBD and THC in each product were quantified using high-performance liquid chromatography at the Centre for Microbial Chemical Biology at McMaster University (Health Canada analytics license: LIC-BZJ23VHQ0X-2021). Federal cannabis regulations indicate that the allowable variability for extracts is 15% above or below the product’s labeled amount.1 For comparability to other research, we summed the number of products that exceeded the variability limit and divided by the number of products tested. Given that very low–concentration products could exceed this threshold with trivial absolute increases, we conducted a subgroup analysis of higher-potency products (≥2.5 mg/g THC) as defined by OCS consumer guidance.4 See eMethods in Supplement 1 for detailed methodology. The DeGroote Centre for Medicinal Cannabis Research determined that ethical review was not required for this study given that it involved no human participants or animal subjects.
Results
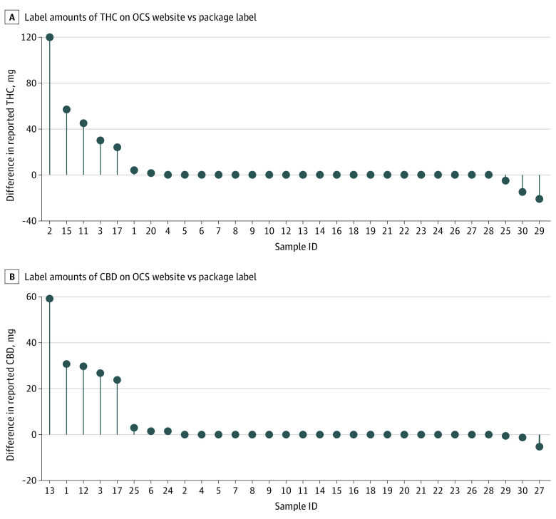
There were discrepancies between information on the OCS website regarding advertised amounts of THC and CBD and physical product labels for 10 of 30 oil products (33.3%). (Figure 1). We also found internal inconsistency, with 5 products (16.7%) labeled with discordant THC/CBD (denotes active cannabinoid content) and total THC/CBD (denotes cannabinoid content after product is heated for consumption) concentrations, which should be identical for extract type products.5 The product with the largest discrepancy was labeled as having 5 mg/g CBD but 26 mg/g total CBD.

Figure 2 shows differences between THC and CBD amounts on product labels and product amounts by laboratory assay. Overall, 12 products (40.0%) were outside the variability limit for THC and 3 products (10.0%) were outside the variability limit for CBD (due to greater labeled vs laboratory-tested amounts for all but 1 product). Among 16 products that had a label amount of 2.5 mg/g THC or greater, 7 products (43.8%) had amounts that were lower than what was labeled by more than 15%.

Discussion
To our knowledge, this case series study is the first study of label accuracy of cannabis products in the legal Canadian market. We found discrepancies at multiple levels. One-third of purchased products differed from their online THC and CBD descriptions, and 16.7% had conflicting information on the physical label. Compared with assay levels, amounts for 40.0% of products were outside variability limits for THC and 10.0% for CBD; all but 1 were instances of overlabeling. Among higher-potency products (≥2.5 mg/g THC), nearly half were incorrectly labeled as containing THC amounts that were greater than what was indicated by laboratory testing by more than 15%.
Our findings suggest that inaccurate labeling of cannabis oil products in the legal Canadian market is common, with most discrepancies due to labeling products with greater THC or CBD content than was present. No products contained more THC than labeled at an amount that would be expected to have substantively different psychoactive effects. However, given that many medical consumers obtain products from the nonmedical market,6 one implication is inaccurate dosing. Altogether, these findings suggest a need for greater quality control in the Canadian legal cannabis market and undermine the assumption that a legal market is an assurance of accurate labeling. Limitations of our study include a focus on cannabis oils, with uncertain generalizability to other product types, and the sample size of 30 products, which is not representative of all available products in Ontario or Canadian markets.
References
- 1Cannabis Regulations, SOR/2018-144 (2018). Accessed April 24, 2024. https://laws-lois.justice.gc.ca/eng/regulations/SOR-2018-144/FullText.html
- A systematic review of the label accuracy of cannabinoid-based products in regulated markets: is what’s on the label what’s in the product?. Australas Psychiatry., 2021. [DOI | PubMed]
- Uncomfortably high: testing reveals inflated THC potency on retail cannabis labels.. PLoS One., 2023. [DOI | PubMed]
- 4Ontario Cannabis Store. cannabis oil dosage: how much should I take? Accessed April 24, 2024. https://ocs.ca/blogs/cannabis-how-tos/cannabis-oil-dosage-how-much-should-i-take
- 5Ontario Cannabis Store. How to Understand THC, CBD and other cannabinoid content on product labels. Accessed April 24, 2024. https://ocs.ca/blogs/choosing-cannabis-products/understanding-cannabinoid-content-on-product-labels
- Overlapping patterns of recreational and medical cannabis use in a large community sample of cannabis users.. Compr Psychiatry., 2020. [DOI | PubMed]
