Structural, surface morphological, optical and electrical properties of InxSey thin films, an absorber layer for photovoltaic cells fabricated by M-CBD method using different variables
Abstract
Mixed-phased InxSey thin film containing InSe, In2Se3 and In6Se7 phases was prepared by M-CBD method and characterized by X-ray diffraction, AFM, optical spectroscopy and J-V measurements. Structural, optical and electrical conductance properties were modified by annealing the films at different temperatures. Optical and morphological properties were also investigated dependently on temperature and concentration of cationic precursor solution. It has been observed with annealing that, the compositions of the phases changed, particle sizes increased, energy band gaps decreased and electrical conductivity increased. The photoconductivity of thin film was revealed by J-V measurements and slightly increased by annealing. From temperature-dependent J-V measurements, activation energies (Ea) were calculated in low and high temperature regions and, found to be 0.03 eV for low temperature region and 0.8 eV for high temperature one.
Article type: Research Article
Keywords: Thin films, InSe, J-V measurements, M-CBD, XRD, AFM
Affiliations: Giresun University, Central Research Laboratory, Application and Research Center, Giresun, Turkey; Department of Industrial Engineering, Faculty of Engineering, Giresun University, Giresun, Turkey; Department of Physics, Faculty of Arts and Sciences, Kafkas University, Kars, Turkey
License: © TÜBİTAK CC BY 4.0 This work is licensed under a Creative Commons Attribution 4.0 International License.
Article links: DOI: 10.3906/kim-2104-7 | PubMed: 38144594 | PMC: PMC10734693
Relevance: Core topic: mentioned in title and keywords
Full text: PDF (1.2 MB)
1. Introduction
Indium selenide (InxSey) thin films that can be constructed with various atomic combinations and phases such as InSe, In2Se3, In4Se3, In9Se11, In6Se7, etc. have been verified as intriguing inorganic semiconductors during past few decades [ref. 1–ref. 6]. They attract particular interest of researchers owing to demonstrate noteworthy optical and photophysical properties that are promising for solar cells, photovoltaics, capacitors, microbatteries, field-effect transistors, strain engineering, nonlinear optics and miscellaneous nanoelectronic applications [ref. 7–ref. 13]. Not only their inherent polymorphism gives opportunity to be utilized as different layers for different purposes depending on the change of extent of band gap but also their junction with diverse substrates and layers enables the fabrication of different devices [ref. 1,ref. 2,ref. 5,ref. 14–ref. 18]. Especially, the absence or low density of dangling bonds at Van der Waals surfaces of InxSey make them peculiar for heterojunction processing [ref. 1,ref. 6,ref. 19,ref. 20]. However, coexistence of different phases in one layer and, presence of unproportional stoichiometries arising from loss of selenium during preparation can be major drawback of InxSey in order to achieve stoichiometric final product [ref. 4,ref. 20,ref. 21]. In many of techniques which were developed for efficient growing of semiconducting thin films on substrates, modified chemical bath deposition method (M-CBD) as modified version of chemical bath deposition (CBD) method is still one of the most appropriate techniques for InxSey growth to alleviate aforementioned handicaps [ref. 17,ref. 22–ref. 24]. It is relatively cheap, easy to apply and straightforward method aside from its advantages such as avoiding waste of materials adjusting rinsing time requiring none of restriction for substrate material, not inducing local overheat, etc. [ref. 17,ref. 23,ref. 24]. Therefore, we rationally benefited from M-CBD method in our study to grow InxSey phase on glass substrate. Optical, photoelectric, compositional and morphological features of the films were analyzed by XRD, AFM, UV-Vis and I–V characterization measurements. Thereby it is aimed to report an alternative for InSe based electronic devices (diode, photodetector, etc.) by varying molarity and annealing temperature parameters.
2. Methods
InSe thin films were deposited at room temperature on glass substrate of 30 × 26 × 2 mm dimensions by M-CBD method. The glass substrates were first boiled in chromic acid, then washed with hydrochloric acid followed by detergent water, and finally cleaned with acetone and distilled water. For cationic solutions, acidic (pH≈3) In2(SO4)3 solutions of different molar concentrations were used while for anionic ones, basic (pH≈12) Na2SeSO3 solution of 0.05 M was used. Optical properties were investigated using different molar concentrations of cationic precursor solutions while other measurements were made by using 0.07 M cationic precursor solution.
The substrates were 75 times immersed in In2(SO4)3 precursor solution for 30 s, in distilled water for 70 s, in Na2SeSO3 precursor solution for 10 s and distilled water for 70 s respectively, (Figures 1 [ref. 17] and 2). The two of the fabricated films were also annealed at 100 and 150 °C temperatures in air atmosphere for 1 h.

Structural analyses of thin films were performed with Rigaku D/Max-2200 XRD device in Ankara General Directorate of Mineral Research and Exploration (Cu-Kα radiation, λ = 1.5418 Å, 2θ = 10–70°). Surface morphologies of the films were probed by PSIAXE-100E model Atomic Force Microscopy (AFM). The thickness of the films were calculated using the equation t= m/ρsA where t is thickness, m is the mass deposited on substrate, ρs is density and A is surface area of deposited film. Optical properties were investigated by Perkin-Elmer Lambda 25 UV-Vis spectrophotometer. The I–V measurements were carried out with Keithley 6486 pico-amperemeter and Pasco Scientific SF–9585. A power source using two probe technique in which silver metal was used for contacts.
3. Results and discussion
3.1. Structural properties
3.1.1. XRD measurements
The thickness of thin film growth on glass substrate in 75 steps was estimated to be 112 nm. Lattice parameters and percentage compositions of phases are given in Table 1. The XRD spectra of thin films were depicted in Figure 3.
Table 1: Lattice parameters of the phases that constituting thin film.
| Formula | |||
|---|---|---|---|
| InSe | In2Se3 | In6Se7 | |
| Temperature (K) | 300 | ||
| Ref. No (COD) | 96-154-0842 | 96-152-8775 | 96-210-6209 |
| Wavelength (Å) | 1.5418 (Cu-Kα) | ||
| Crystal system | Monoclinic | trigonal (hexagonal axes) | Monoclinic |
| Space group | P 1 2/m 1 (10) | R −3 m (166) | P 1 21 1(4) |
| Unit cell dimensions (Å) | |||
| a | 11.020 | 4.05 | 9.430 |
| b | 4.110 | – | 4.063 |
| c | 4.610 | 29.410 | 18.378 |
| B (°) | 87.200 | – | 109.340 |
| Cell volume (Å3) | 208.54 | 417.76 | 664.40 |
| Z | 6 | 6 | 2 |
| Composition (%) | |||
| As-deposited | 25.2 | 21.2 | 53.6 |
| 100 °C-annealed | 28.9 | 37.9 | 33.1 |
| 150 °C-annealed | 27.4 | 29.6 | 43.0 |
Lattice parameters and compositions were calculated using Match! program.

Polycrystal composition of InxSey film is understood from the presence of InSe, In2Se3 and In6Se7 phases in accordance with the previous literature [ref. 17] and the ratios of these phases change with annealing. The sharpest peaks for InSe(002), In2Se3 (108) and In6Se7(204) phases are observed at 2θ≈39°, 2θ≈35° and 2θ≈23°, respectively. The particle size (D), dislocation density (δ) and microstrain (ɛ) were calculated in these planes.
D can be calculated according to following Scherrer equation. Some important structural data are given in Table 2.f2-turkjchem-45-6-1761
Table 2: Some important structural parameters of the films.
| 2θ | Condition | Phase | (hkl) | FWHM (β) | Particle size (D) (nm) | Lattice strain (ɛ) | Dislocation density (δ) × 1015 |
|---|---|---|---|---|---|---|---|
| 23.52703 | As-deposited | In6Se7 | 204 | 0.20655 | 37.66379905 | 0.050552979 | 0.705 |
| 35.54204 | In2Se3 | 108 | 0.33524 | 22.5724337 | 0.079810913 | 1.963 | |
| 38.51931 | InSe | 002 | 0.33308 | 22.52198203 | 0.078609665 | 1.971 | |
| 23.39656 | Annealed-100ºC | In6Se7 | 204 | 0.38039 | 20.45610342 | 0.09312222 | 2.389 |
| 35.06916 | In2Se3 | 108 | 0.26774 | 28.3003165 | 0.063824885 | 1.248 | |
| 39.14171 | InSe | 002 | 0.1634 | 45.82175503 | 0.038490012 | 0.476 | |
| 23.2444 | Annealed-150ºC | In6Se7 | 204 | 0.11952 | 65.12240399 | 0.029267378 | 0.236 |
| 35.35063 | In2Se3 | 108 | 0.12022 | 62.97806785 | 0.028636175 | 0.252 | |
| 39.11148 | InSe | 002 | 0.11533 | 64.92653007 | 0.027169335 | 0.237 |

where D is particle size, λ is the wavelength of X-rays (1.5406 Å for CuKα), β is the full width at half maximum and θ is Bragg angle.
δ is calculated from Williamson and Smallman’s formula
ɛ is obtained using the relation
Generally, with annealing, particle size increases while dislocation density and lattice strain decreases (Table 2). The low dislocation density and lattice strain, and high particle size mean that the fine crystallization of film [ref. 25, ref. 26].
3.1.2. Surface morphology analyses
From AFM analyses, although clusters took place in some areas, it is observed that the film was growth on glass substrate in homogenous form in which none of cracks formed. Figure 4 represents AFM images of as-deposited, 100 °C-annealed and 150 °C-annealed thin films prepared from 0.07 M cationic precursor solutions. The particle sizes of thin films as-deposited, 100 °C-annealed and 150 °C-annealed were calculated to be 49.2 nm, 69.7 nm, and 106.8 nm, respectively. It is observed that the dimensions of thin films increased with the increase of annealing temperature as well as it is confirmed from XRD analyses. The growing of particle dimensions arises from the accumulation of smaller particles with thermal effect to form bigger ones. This situation is consistent with literature [ref. 20,ref. 27]. The increase of particle size also gives rise to noticeable increase of peak intensities, which means the increase of crystallization.

3.2. Optical properties
The optical absorption spectroscopy is one of the most used techniques to assign the energy band gap. The relation between absorption coefficient and energy band gap (Eg) is given [ref. 28]
where a is the absorption coefficient, hv is energy of photon and Eg is energy band gap. The value of n is ½ for direct allowed transitions for InSe [ref. 29] materials. This technique plots versus hυ. Eg is assigned by extrapolating the straight line portion of the plot to the energy axis. The intercept gives the value of energy band gap.
The relation between absorbance (A) and transmittance (T) is given by
and the reflection (R) is given by
Then the refractive index (n) is given as [ref. 30, ref. 31]
The relation between absorption coefficient (α) and extinction coefficient (k) is given by
where α is calculated from the formula
where d is thickness. The plots of T(%) vs. λ, band gap vs. hv, k and n vs. λ of as-deposited and annealed thin films prepared from various molar concentrations of cationic precursor solutions were measured and depicted in Figures 5a–5d, 6a–6d, and 7a–7d, respectively.



For visible region limit values, transmittance parameters were given in Table 3 while k and n values were given in Table 4.
Table 3: Transmittance parameters of thin films.
| λ (nm) | Transmittance (T) | ||
|---|---|---|---|
| As-deposited | As-deposited | 150 °C-annealed | |
| 0.03 M | |||
| 700 | 50.02649 | 50.02649 | 31.31843 |
| 400 | 28.22279 | 28.22279 | 40.2161 |
| 0.05 M | |||
| 700 | 34.87386 | 34.87386 | 14.75367 |
| 400 | 19.13375 | 19.13375 | 25.31629 |
| 0.07 M | |||
| 700 | 37.60971 | 37.60971 | 29.43744 |
| 400 | 15.03488 | 15.03488 | 36.57632 |
Table 4: Extinction coefficients and refractive indexes of the films.
| λ (nm) | Extinction coefficients (k) | Refractive indexes (n) | ||||
|---|---|---|---|---|---|---|
| As-deposited | 100 °C-annealed | 150 °C-annealed | As-deposited | 100 °C-annealed | 150 °C-annealed | |
| 0.03 M | ||||||
| 700 | 1.49764 | 3.9564 | 2.51921 | 1.22072 | 1.04767 | 1.20093 |
| 400 | 1.56829 | 2.61362 | 1.12926 | 1.18385 | 0.96362 | 1.22499 |
| 0.05 M | ||||||
| 700 | 2.27943 | 3.01226 | 4.15622 | 1.21484 | 1.15929 | 1.02099 |
| 400 | 2.05013 | 2.09153 | 1.70302 | 1.09475 | 1.08577 | 1.16244 |
| 0.07 M | ||||||
| 700 | 2.11458 | 3.58624 | 2.65259 | 1.22147 | 1.09493 | 1.19125 |
| 400 | 2.34901 | 2.07497 | 1.24687 | 1.02711 | 1.08938 | 1.21906 |
In transmittance spectra of thin films, the highest transmittances were observed for as-deposited thin film among all thin films from 1100 to 600 nm while the lowest ones observed for 100 °C-annealed, 150 °C-annealed and 100 °C-annealed thin films from 0.03 M, 0.05 M and 0.07 M cationic precursor solutions, respectively. Within 400–600 nm range 150 °C-annealed thin films exhibit the highest transmittance while 100 °C-annealed thin films exhibit the lowest one among all thin films. Although reasonably low thickness of thin films, the low transmittance of fabricated thin films within visible region boundaries indicate that the fabricated thin films are convenient for devices running in visible region. The changes in molarities of cationic precursor solutions and annealing did not give rise to any trend in k and n values while the change in wavelengths give rise to trend in these values. For all cationic precursor solutions, k values in as-deposited films increased from 1100 nm to around 600 nm and decreased from around 600 nm to 400 nm. In 100 °C-annealed films, for 0.03 M precursor solution, k value increased from 1100 nm to around 640 nm and sharply decreased from around 640 nm to 400 nm while for 0.05 and 0.07 M precursor solutions, k values were almost constant from 1100 nm to 640 nm and sharply decreased again from 640 nm to 400 nm. In 150 °C-annealed films, for all solutions, k values were constant from 1100 nm to around 700 nm and sharply decreased from around to 700 nm to 400 nm. In case of n values, in as-deposited film, for 0.03 M precursor solution, n values increased from 1100 nm to 650 nm and decreased from 650 nm to 400 nm. For 0.05 M and 0.07 M precursor solutions, n values increased from 1100 nm to 750 nm and decreased from 750 nm to 400 nm. In 100 °C-annealed films, for 0.03 M precursor solution, n values sharply decreased from 1100 nm to 620 nm and increased from 620 nm to 400 nm. For 0.05 M precursor solution, n values decreased from 1100 nm to 600 nm, slightly increased from 600 nm to 500 nm, and decreased again from 500 nm to 400 nm. For 0.07 M precursor solution, n values decreased from 1100 nm to 630 nm, increased from 630 nm to 500 nm and stayed constant from 500 nm to 400 nm. In 150 °C-annealed films, for 0.03 M and 0.07 M precursor solutions, not a significant change was observed from 1100 nm to 400 nm. For 0.05 M precursor solution, n values sharply decreased from 1100 nm to 730 nm, increased from 730 nm to 600 nm and almost stayed constant from 600 nm to 400 nm. Trends similar to aforementioned were nearly observed in the study reported by Hossain et al. [ref. 32].
Table 5 lists the Eg values of the films. The increase of the concentrations of cationic precursor solution inconsistently influences Eg values in as-deposited thin film. However, it is observed that Eg is the function of concentration in 100 °C-annealed thin film while it is not reasonably influenced by concentration in 150 °C-annealed film. The reason for these changes probably arises from the change of In:Se stoichiometries. On the other hand, Eg values decreased with annealing. Besides, this can be attributed to several factors: i) particle growth effect, ii) quantum confinement effect, iii) the decrease of dispersions at particle boundaries, iv) the possibility of increase of structural defects, v) phase transitions with annealing treatment [ref. 33–ref. 35]. The first three of these reasons are also associated with each other.
Table 5: Assigned energy band gap values.
| Energy band gaps (eV) | |||
|---|---|---|---|
| As-deposited | Annealed at 100 °C | Annealed at 150 °C | |
| Glass/ InxSey 0.03 M C.S | 1.73 | 1.59 | 1.12 |
| Glass/ InxSey 0.05 M C.S | 1.63 | 1.45 | 1.16 |
| Glass/ InxSey 0.07 M C.S | 1.87 | 1.3 | 1.12 |
C.S: cationic solution.
The quantum confinement effect originating from systematic changes in energy levels as a function of internal dimension influences the particles of around 5 nm or lower sized [ref. 33]. As particle size increasing, quantum phenomena become slighter and separations in energy levels become narrower. Consequently, this causes a decrease of Eg. Structural defects cause allowed states at band boundaries in forbidden area and hence decrease Eg.
3.2. Electrical properties
Owing to the lowest transmittance values obtained for 100 °C-annealed film, only current density vs. voltage (J-V) characteristics of 100 °C-annealed thin film were compared with that of as-deposited one. J-V characteristics were investigated in dark and illuminated conditions of 100 W/m2 obtained from yellow lamb.
High activation energy values in semiconductors originate from trap states below conduction band or from electronic transitions between valance and conduction bands [ref. 36]. Low activation energy values are associated with hopping mechanism of electrons. This mechanism can be explained by weak interactions among donor and acceptor atoms. Impurity scatterings are effective in low temperature region while thermal scatterings are effective in high temperature region [ref. 37,ref. 38].
Also activation energies for as-deposited film were calculated within 298–428 K temperature range and corresponding logσ-103/T plots were recorded. The calculations were made according to following equation [ref. 39, ref. 40]:
The schematized representation of fabricated device together with Ag parallel contacts is given in Figure 8. The J-V plots of Ag/ InxSey /Ag and Ag/ InxSey (annealed)/Ag devices were given in Figure 9.


Specific resistance values of as-deposited and annealed thin films are calculated as 1.8 × 108 (ohm-cm) and 1.6 × 108 (ohm-cm), respectively. As inferred from Figure 9, both as-deposited and annealed thin films are sensitive to light. The electrical conductance increases with annealing on account of the increase of particle size, the decrease of energy band gap and the change of distribution of the phases.
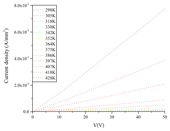
With temperature, the conductance of the device increases depending on the decrease of resistance according to J-V plot recorded within 298–428K range in Figure 10. This is a typical behaviour of semiconductor. The logσ-103/T curve depicted in Figure 11 in this temperature range demonstrates that the activation energy in low temperature region in which doped conductivity is in question is 0.03 eV while the activation energy in high temperature region in which nondoped conductivity is in question is 0.8 eV. The increment in conductance is nonlinear owing to presence of different phases, amorphous structure of the film and formation of clusters on the surface as depicted from AFM images of the film [ref. 17]. In Figure 12, temperature dependence of specific resistance is also given. As expected, the specific resistance decreases with increasing temperature.



The fill factors (FF) of both as-deposited and annealed devices were calculated to be according to following equation;
where Voc is open circuit voltage, Jsc short circuit current, Jmmp and Vmmp are the current density and voltage at the maximum power point (mmp), respectively.
FF values of the device from as-deposited film in dark and illumination are 0.15 and 0.25 respectively while these of the device from 100 °C-annealed film in dark and illumination are 0.13 and 0.24, respectively.
4. Conclusion
Using M-CBD method as one of the simple, straightforward, cheap and environmental-friendly, InxSey thin films were successfully prepared on the glass substrate. It is revealed that InxSey bears three different phases ( InSe, In2Se3, In6Se7). With annealing, the composition of the phases changed, particle sizes increased, energy band gaps decreased, electrical conductivities and photoconductivies increased. Concentration-dependence of optical properties using cationic precursor solution (0.03 M, 0.05 M, 0.07 M) was additionally investigated. The lowest transmittance, the lowest n and the highest k in visible region was observed for 0.05 M–150 °C-annealed film. From as-deposited to 100 °C-annealed film, the sharpest narrowing of energy band gap was detected for the film prepared from 0.07 M cationic solution. It is evident from temperature-dependent J-V plots that the film which incorporates mixed phases behave as classical semiconductor with reasonable specific resistance values of 1.8 × 108 (ohm-cm) and 1.6 × 108 (ohm-cm) for as-deposited and 100 °C-annealed films, respectively. Consequently, the lowest transmittance of the film placed around 600–750 nm demonstrates that the prepared film is potential candidate for visible-region photodetectors such as solar cells, photodiodes, etc. In further studies, corresponding properties can be developed by deposition with different semiconductors and heterojunctions.
Contribution of authors Fatih Ünal: Conceptualization, Investigation, Formal analysis, Writing – review and editing. Serkan Demir: Formal analysis, Writing – review and editing. Hasan Mammadov: Investigation, Funding acquisition.
References
- MOD Camara, A Mauger, I Devos. Electronic structure of the GaSe/Si(111) and InSe/Si(111) heterojunctions. Physical Review B covering condensed matter and materials physics, 2002. [DOI]
- MOD Camara, A Mauger, I Devos. Electronic structure of the layer compounds GaSe and InSe in a tight-binding approach. Physical Review B covering condensed matter and materials physics, 2002. [DOI]
- S Gopal, C Viswanathan, M Thamilselvan, K Premnazeer, SK Narayandass. Conduction studies on electrodeposited indium selenide thin films. Ionics, 2004. [DOI]
- Y Igasaki, T Fujiwara. The preparation of highly oriented InSe films by electrodeposition. Journal of Crystal Growth, 1996. [DOI]
- A Hirohata, JS Moodera, GP Berera. Structural and electrical properties of InSe polycrystalline films and diode fabrication. Thin Solid Films, 2006. [DOI]
- M Yandong, D Ying, Y Lin, N Chengwang, H Baibiao. Engineering a topological phase transition in beta-InSe via strain. New Journal of Physics, 2013. [DOI]
- WM Garry, AS Simon, R Tianhang, P Amalia, M Oleg. Tuning the bandgap of exfoliated InSe Nanosheets by quantum confinement. Advanced Materials, 2013. [DOI | PubMed]
- G Han, ZG Chen, J Drennan, J Zou. Indium selenides: structural characteristics, synthesis and their thermoelectric performances. Small, 2014. [DOI | PubMed]
- M Yüksek, HG Yaglioglu, A Elmali, EM Aydın, U Kürüm. Nonlinear and saturable absorption characteristics of Ho doped InSe crystals. Optics Communications, 2014. [DOI]
- CH Ho, YJ Chu. Bending Photoluminescence and Surface Photovoltaic Effect on Multilayer InSe 2D Microplate Crystals. Advanced Optical Materials, 2015. [DOI]
- DW Boukhvalov, B Gürbulak, S Duman, L Wang, A Politano. The advent of ındium selenide: synthesis, electronic properties, ambient stability and applications. Nanomaterials, 2017. [DOI | PubMed]
- A Politano, D Campi, M Cattelan, IB Amara, S Jajiri. Indium selenide: an insight into electronic band structure and surface excitations. Scientific Reports, 2017. [DOI | PubMed]
- J Zhou, J Shi, Q Zeng, Y Chen, L Niu. InSe monolayer: synthesis, structure and ultra-high second-harmonic generation. 2d Materials, 2018. [DOI]
- SS Sen, NN Biswas, KA Khan. Temperature effect on the electrical and optical properties of indium-selenide thin-films. Applied Energy, 2000. [DOI]
- H Bouzouita, N Bouguila, S Duchemin, S Fiechter, A Dhouib. Preparation and characterization of In2Se3 thin films. Renewable Energy, 2002. [DOI]
- SM El-Sayed. Optical investigations of the indium selenide glasses. Vacuum, 2003. [DOI]
- HM Pathan, SS Kulkarni, RS Mane, CD Lokhande. Preparation and characterization of indium selenide thin films from a chemical route. Materials Chemistry and Physics, 2005. [DOI]
- RE Ornelas, D Avellaneda, S Shaji, GA Castillo, TK Das Roy. In6Se7 thin films by heating thermally evaporated indium and chemical bath deposited selenium multilayers. Applied Surface Science, 2012. [DOI]
- O Lang, A Klein, R Schlaf, T Löher, C Pettenkofer. Inse/Gase Heterointerfaces Prepared by Van-Der-Waals Epitaxy. Journal of Crystal Growth, 1995. [DOI]
- ML Madugu, L Bowen, OK Echendu. Preparation of indium selenide thin film by electrochemical technique. Journal of Materials Science-Materials in Electronics, 2014. [DOI]
- B Kobbi, D Ouadjaout, N Kesri. Growth and characterization of In-Se films. Vacuum, 2001. [DOI]
- CD Lokhande, HM Pathan, M Giersig, H Tributsch. Preparation of Zn-x(O,S)(y) thin films using modified chemical bath deposition method. Applied Surface Science, 2002. [DOI]
- HM Pathan, CD Lokhande. Deposition of metal chalcogenide thin films by successive ionic layer adsorption and reaction (SILAR) method. Bulletin of Materials Science, 2004. [DOI]
- RS Patil, CD Lokhande, RS Mane, HM Pathan, J Oh-Shim. Successive ionic layer adsorption and reaction (SILAR) trend for nanocrystalline mercury sulfide thin films growth. Materials Science and Engineering B-Solid State Materials for Advanced Technology, 2006. [DOI]
- BD Cullity. Elements of X-Ray Diffraction, 1978
- Z Zhao, DL Morel, CS Ferekides. Electrical and optical properties of tin-doped CdO films deposited by atmospheric metalorganic chemical vapor deposition. Thin Solid Films, 2002. [DOI]
- S Lee, ES Lee, TY Kim, JS Cho, YJ Eo. Effect of annealing treatment on CdS/CIGS thin film solar cells depending on different CdS deposition temperatures. Solar Energy Materials and Solar Cells, 2015. [DOI]
- J Tauc. Optical properties and electronic structure of amorphous Ge and Si. Materials Research Bulletin, 1968. [DOI]
- S Gopal, C Viswanathan, B Karunagaran, SK Narayandass, D Mangalaraj. Preparation and characterization of electrodeposited indium selenide thin films. Crystal Research and Technology, 2005. [DOI]
- M Fadel, SA Fayek, MO Abou-Helal, MM Ibrahim, AM Shakra. Structural and optical properties of SeGe and SeGeX (X=In, Sb and Bi) amorphous films. Journal of Alloys and Compounds, 2009. [DOI]
- JC Manifacier, J Gasiot, JP Fillard. A simple method for the determination of the optical constants n, k and the thickness of a weakly absorbing thin film. Journal of Physics E: Scientific Instruments, 1976. [DOI]
- J Hossain, M Julkarnain, KS Sharif, KA Khan. Optical properties of e-beam evaporated indium selenide (InSe) thin films. Journal of Scientific Research and Reports, 2014. [DOI]
- SN Sahu. Preparation, structure, composition, optical and photoelectrochemical properties of vacuum annealed In-Se thin films. Thin Solid Films, 1995. [DOI]
- P Matheswaran, RS Kumar, R Sathyamoorthy. Effect of annealing on the structural and optical properties of InSe bilayer thin films. Vacuum, 2011. [DOI]
- A Ateş, M Kundakçı, A Astam, M Yıldırım. Annealing and light effect on optical and electrical properties of evaporated indium selenide thin films. Physica E: Low-dimensional Systems and Nanostructures, 2008. [DOI]
- F Dağdelen. Investigation of the electronic properties of metal complex semiconductor schottky diodes. PhD, 2004
- F Ünal. Determination of the structural, optical and electrical characteristics of InSe/rubrene, CIS/rubrene, CIGS/rubrene, InSe/coronene, CIS/coronene, CIGS/coronene heterojoints growth on ITO glass. PhD, 2021
- D Yazıcı. The Physical Properties of Phosphine Metal Complexes. MSc, 2007
- B Kobbi, N Kesri. Physico-chemical and electrical properties of InSe films. Vacuum, 2004. [DOI]
- S Yilmaz. Investigatıon of ionic conductivty and relationship with dopant type in the tetragonal (Bi2O3)1-x(ln2O3)x binary systems (Ln=Dy, Eu, Sm). Erciyes University Journal of Instute of Science and Technology, 2008
