The effects of flipped classrooms to improve learning outcomes in undergraduate health professional education: A systematic review
Abstract
Background:
The ‘flipped classroom’ approach is an innovative approach in educational delivery systems. In a typical flipped class model, work that is typically done as homework in the didactic model is interactively undertaken in the class with the guidance of the teacher, whereas listening to a lecture or watching course‐related videos is undertaken at home. The essence of a flipped classroom is that the activities carried out during traditional class time and self‐study time are reversed or ‘flipped’.
Objectives:
The primary objectives of this review were to assess the effectiveness of the flipped classroom intervention for undergraduate health professional students on their academic performance, and their course satisfaction.
Search Methods:
We identified relevant studies by searching MEDLINE (Ovid), APA PsycINFO, Education Resources Information Center (ERIC) as well as several more electronic databases, registries, search engines, websites, and online directories. The last search update was performed in April 2022.
Selection Criteria:
Included studies had to meet the following criteria: Participants: Undergraduate health professional students, regardless of the type of healthcare streams (e.g., medicine, pharmacy), duration of the learning activity, or the country of study. Intervention: We included any educational intervention that included the flipped classroom as a teaching and learning tool in undergraduate programs, regardless of the type of healthcare streams (e.g., medicine, pharmacy). We also included studies that aimed to improve student learning and/or student satisfaction if they included the flipped classroom for undergraduate students. We excluded studies on standard lectures and subsequent tutorial formats. We also excluded studies on flipped classroom methods, which did not belong to the health professional education(HPE) sector (e.g., engineering, economics). Outcomes: The included studies used primary outcomes such as academic performance as judged by final examination grades/scores or other formal assessment methods at the immediate post‐test, as well as student satisfaction with the method of learning. Study design: We included randomised controlled trials (RCTs), quasi‐experimental studies (QES), and two‐group comparison designs. Although we had planned to include cluster‐level RCTs, natural experiments, and regression discontinuity designs, these were not available. We did not include qualitative research.
Data Collection and Analysis:
Two members of the review team independently screened the search results to assess articles for their eligibility for inclusion. The screening involved an initial screening of the title and abstracts, and subsequently, the full text of selected articles. Discrepancies between the two investigators were settled through discussion or consultation with a third author. Two members of the review team then extracted the descriptions and data from the included studies.
Main Results:
We found 5873 potentially relevant records, of which we screened 118 of them in full text, and included 45 studies (11 RCTs, 19 QES, and 15 two‐group observational studies) that met the inclusion criteria. Some studies assessed more than one outcome. We included 44 studies on academic performance and eight studies on students’ satisfaction outcomes in the meta‐analysis. The main reasons for excluding studies were that they had not implemented a flipped class approach or the participants were not undergraduate students in health professional education. A total of 8426 undergraduate students were included in 45 studies that were identified for this analysis. The majority of the studies were conducted by students from medical schools (53.3%, 24/45), nursing schools (17.8%, 8/45), pharmacy schools (15.6%, 7/45). medical, nursing, and dentistry schools (2.2%, 1/45), and other health professional education programs (11.1%, 5/45). Among these 45 studies identified, 16 (35.6%) were conducted in the United States, six studies in China, four studies in Taiwan, three in India, two studies each in Australia and Canada, followed by nine single studies from Brazil, German, Iran, Norway, South Korea, Spain, the United Kingdom, Saudi Arabia, and Turkey. Based on overall average effect sizes, there was better academic performance in the flipped class method of learning compared to traditional class learning (standardised mean difference [SMD] = 0.57, 95% confidence interval [CI] = 0.25 to 0.90, τ 2: 1.16; I 2: 98%; p < 0.00001, 44 studies, n = 7813). In a sensitivity analysis that excluded eleven studies with imputed data from the original analysis of 44 studies, academic performance in the flipped class method of learning was better than traditional class learning (SMD = 0.54, 95% CI = 0.24 to 0.85, τ 2: 0.76; I 2: 97%; p < 0.00001, 33 studies, n = 5924); all being low certainty of evidence. Overall, student satisfaction with flipped class learning was positive compared to traditional class learning (SMD = 0.48, 95% CI = 0.15 to 0.82, τ 2: 0.19, I 2:89%, p < 0.00001, 8 studies n = 1696); all being low certainty of evidence.
Authors’ Conclusions:
In this review, we aimed to find evidence of the flipped classroom intervention’s effectiveness for undergraduate health professional students. We found only a few RCTs, and the risk of bias in the included non‐randomised studies was high. Overall, implementing flipped classes may improve academic performance, and may support student satisfaction in undergraduate health professional programs. However, the certainty of evidence was low for both academic performance and students’ satisfaction with the flipped method of learning compared to the traditional class learning. Future well‐designed sufficiently powered RCTs with low risk of bias that report according to the CONSORT guidelines are needed.
Affiliations: Division of Tropical Health and Medicine James Cook University Townsville Australia; Department of Human Biology, School of Medicine International Medical University Kuala Lumpur Malaysia; Department of Life Sciences, School of Pharmacy International Medical University Kuala Lumpur Malaysia; University Libraries University of Minnesota Minneapolis Minnesota USA
License: © 2023 The Authors. Campbell Systematic Reviews published by John Wiley & Sons Ltd on behalf of The Campbell Collaboration. CC BY 4.0 This is an open access article under the terms of the http://creativecommons.org/licenses/by/4.0/ License, which permits use, distribution and reproduction in any medium, provided the original work is properly cited.
Article links: DOI: 10.1002/cl2.1339 | PubMed: 37425620 | PMC: PMC10326838
Relevance: Relevant: mentioned in keywords or abstract
Full text: PDF (7.4 MB)
PLAIN LANGUAGE SUMMARY
Flipped classrooms may improve academic performance and satisfaction of undergraduate health professional students
Flipped classroom learning appears to improve academic performance and the evidence suggests student satisfaction with the innovative learning method, but the certainty of the evidence was low.
What is the review about?
Students face several challenges when learning through traditional teaching settings. They need to accumulate huge amounts of factual knowledge from the courses, and to keep up‐to‐date with the prolific growth in health knowledge.
Lack of awareness about digital technologies and non‐exposure to digital‐friendly environments have made learning even more challenging. Therefore, an innovative approach to the education delivery system is needed.
A flipped class includes two elements of education: a recorded lecture (off‐campus learning as homework) and an active learning session (on‐campus learning). Pre‐recorded lectures are provided to the students as homework and as an aid to learning which is then interactively discussed later on campus.
This review aims to explore whether there is empirical evidence that supports this method of learning for undergraduate health professional students. Do flipped classrooms improve academic performance and are students satisfied with the flipped class learning method?
What is the aim of this review?
This Campbell systematic review examines the effects of flipped class teaching compared to the traditional teaching class. The review summarizes evidence from 45 studies, including 11 randomised controlled trials.
What studies are included?
This review includes studies that have evaluated the effect of flipped classes compared to traditional classes on the academic performance and course satisfaction of health professional undergraduate students.
Forty‐five studies were identified, involving 8,426 undergraduate students in medicine, pharmacy, nursing and other health professional courses.
Of these, 44 studies involving 7,813 undergraduate students examined the outcome of academic performance, measured by examination scores/final grade). Only eight studies, involving 1,696 undergraduate students, examined the outcome of students’ satisfaction.
Studies spanned the period 2013 to 2021. Sixteen studies were conducted in the USA, and only three studies were from lower‐middle‐income countries, including India. All the studies had important methodological weaknesses.
Does the flipped class method of learning improve students’ academic performance?
Yes, low certainty of evidence shows an overall improvement in academic performance when flipped classroom interventions were implemented compared to traditional lecture‐based classes.
Are students satisfied with flipped class learning?
Yes, low certainty of evidence shows that students’ satisfaction with the flipped classroom method of learning is positive. Therefore, further research may change the estimate in either direction (that is, a larger difference, or no difference, in satisfaction).
What do the findings in this review mean?
The review shows that flipped classroom learning may improve academic performance and satisfaction of undergraduate health professional students. Well‐designed studies with larger samples that rigorously evaluate the outcomes are needed.
How up‐to‐date is this review?
The literature searches were last conducted in April 2022.
BACKGROUND
Description of the condition
In a traditional educational experience, a teacher stands in front of the classroom and delivers a lecture to a group of students, who sit in rows, quietly listening to the lecture and taking notes. At the end of the lecture, students are given homework or an assignment to be completed outside the classroom environment. This characterises the principle of ‘sage‐on‐the stage’ and is synonymous with the present‐day mode of teacher‐centred learning. This is also referred to as the transmittal model (King, 1993), which assumes that the students are passive note‐takers, receivers of the content or accumulators of factoids (Morrison, 2014). In such a scenario, the teacher usually does not have the required freedom of time to interact with the students individually during the class (Hamdan, 2013), thus neglecting those students who do not understand the lecture. The traditional didactic way of teaching is primarily unidirectional and typically witnesses limited interactions between the source of knowledge (teacher) and the passive recipients (students).
One of the main challenges faced by lecturers is the overload of academic content that needs to be taught in a relatively short time. Equally challenging is the situation faced by the students who lose interest or motivation to learn within the stipulated time (Prober, 2013). The traditional way of teaching, therefore, discourages the students from active learning and critical thinking. There is also increasing pressure from accrediting institutions, who demand evidence for ‘the ability to communicate effectively’, ‘the ability to identify, formulate and solve problems’, and ‘the ability to function as multidisciplinary teams’ (Bishop, 2013). There exists a large body of research that suggests the crucial need to transform the current pedagogical strategies that may be required to enhance active learning in a more effective way (Al Faris, 2013). Synthesis of research on the effectiveness of lectures shows that lectures are neither an effective method for teaching nor developing values or for personal development, and they may only be effective for the sole goal of transmitting information (Bligh, 2000). Considering these observations, it is essential to explore newer methods that have the potential to maximise the use of classroom time and transform the classroom into a platform for effective teacher‐student interactions and critical thinking (Rui, 2017).
Numerous factors have cumulatively led to several challenges for traditional teaching in health professional education including the availability of digital technologies, digitally‐empowered learners, the prolific expansion of courses, the amount of factual knowledge that has been accumulated in the courses, prolific growth of health knowledge, advancements in healthcare disciplines, and investments into the scholarship of teaching and learning. Technological advancements and cutting‐edge research have enabled the development of newer delivery systems encompassing active learning in HPE. Studies have reported that active participation is an effective method to improve learning and understanding (Freeman, 2014; McCoy, 2015). Thus, to enhance interaction during their learning process there are effective educational strategies, which promote active learning in traditional lectures by engaging students in doing things, and encouraging them to think about what they are doing.
There are various modifications, which can be incorporated into traditional lectures that enable active learning in the classroom, for instance; (1) the ‘feedback lecture’, which consists of two mini‐lectures separated by a small‐group study session built around a study guide, and (2) the ‘guided lecture’, where students listen to a 20‐ to 30‐min presentation without taking notes, followed by their writing for 5 min on what they remember, and spending the remainder of the class duration in small groups for clarification and elaboration on the study material (Ellis, 2010; Johnson, 2013). Moreover, there are other active learning pedagogies, which include visual‐based instructions (Johnson, 2016), small group problem‐based learning, cooperative learning, debates, drama, role‐playing and simulation, and peer teaching.
One innovative approach in the education delivery system is the ‘flipped classroom’, an educational technique that consists of two parts, interactive group learning activities inside the classroom and direct personal computer‐based individual instruction outside the classroom (Bishop, 2013). In a typical flipped class model, work was typically done as homework in the didactic model (e.g., problem‐solving, essay writing) is interactively undertaken in the class with the guidance of the teacher, whereas listening to a lecture or watching course‐related videos is undertaken at home. Hence, the term flipped or inverted classroom is used (Herreid, 2013). The essence of a flipped classroom is that the activities carried out during traditional class time and self‐study time are reversed or ‘flipped’ (Veeramani, 2015). Pedagogical approaches to undergraduate teaching have improved over the years as the Scholarship of Teaching and Learning has provided relevant evidence of what contributes to improving outcomes. However, educational delivery approaches have shown little change in many disciplines and have remained the same for the majority of the sectors (Van Vliet, 2015).
Description of the intervention
The flipped class is a flexible tool by itself and can be tailored according to the outcomes that are predesigned (Tetreault, 2013). Historically, the concept of flipped classroom started in the early 1990s. General Sylvanus Thayer created a system at West Point in the USA, where a set of learning materials was given to engineering students so that they obtained the core content before attending class. The classroom space was then used for critical thinking and group problem solving (Musallam, 2011). Many credited the rejuvenation of this idea with the development of, and increased access to, educational technologies (Moffett, 2015). For instance, the School of Business at the University of Miami proposed an ‘inverted classroom’, which had events that traditionally took place inside the classroom now taking place outside the classroom and vice versa (Lage, 2000). In 2000, a conference paper entitled ‘The Classroom Flip’ was presented by J. Wesley Baker and the phrase ‘flipping the classroom’ was coined. Baker described how flipping the classroom could allow the trainer to become the ‘guide on the side’ rather than the ‘sage on the stage’ (Baker, 2000).
In a sense, this reversal also flips Bloom’s revised taxonomy because the lower level of cognitive work/knowledge acquisition is done by the students, while educators work interactively with the students to develop the higher forms of cognition. To date, this approach has attracted a large amount of attention in the health professional education and a subsequent surge of literature.
Fundamentally, a flipped classroom encompasses two established elements of education, the recorded lecture (off‐campus learning) and active learning (on‐campus learning). Pre‐recorded lectures are provided to the students as homework, as an aid to learning. Homework is important because it is a time where students can share their learning progress with their family, reflect on their learning, and review the material as well as the educator’s feedback (Fulton, 2012). The key characteristics of a flipped classroom compared to a traditional classroom and other existing teaching methods are summarised in Table 1.
Table 1: Synopsis of the comparison between flipped classroom and other teaching modes.
| Description | Traditional classroom | Distant education | Flipped classroom |
|---|---|---|---|
| Teacher centred | √ | √ | ‐ |
| Student centred | ‐ | ‐ | √ |
| Passive learning environment | √ | √ | ‐ |
| Active learning environment | √ | √ | √ |
| Face‐to‐face lecture | √ | ‐ | ‐ |
| First phase (lecture) | In the classroom | At home | At home |
| Second phase (active activitiesa) | At home | At home | In the classroom |
a Examples are group discussions, case studies, feedback sessions, problem solving activities, presentations and polling.
It has been highlighted that the flipped classroom fits into the broader context of blended learning (Tetreault, 2013). Blended learning as defined by Staker is, ‘a formal education program in which a student learns at least in part through online delivery of content and instruction with some element of student control over time, place, path and/or pace and at least in part at a supervised brick‐and‐mortar location away from home’ (Staker, 2012, p. 3). The flipped classroom consists of educational programs or classes as a means of formal learning, and interactive online tools such as educational videos, quizzes/games as mechanisms of informal learning. The flipped classroom approach is connected between what the students learn online (e.g., video lecture) and what they learn face‐to‐face (e.g., in‐class active case study), and vice versa, which is a common feature of blended learning (Tetreault, 2013). In principle, the flipped classroom assigns relatively low‐level cognitive learning capabilities such as memorising and understanding, which is accomplished outside of the classroom whereas, teaching in class is accomplished mostly through teacher‐student interactions and cooperation between peers, thereby stimulating the students’ intellectual potential (Rui, 2017). The option to view video lectures (as an example) outside of the classroom has beneficial effects for the learners as they can replay the videos as many times as needed to better understand the key concepts at their own pace. Furthermore, this allows effective comprehension and analysis of the topics covered to each student’s satisfaction, whereas this might not be possible in the context of conventional teacher‐centred teaching. This is an important pedagogical consideration for international students for whom English is their second language (Moraros, 2015). From the teacher’s perspective, a flipped classroom setting makes it easier to engage students and empower them as active participants of their learning.
How the intervention might work
Several (general) theoretical frameworks are available to inform our understanding of the use of technology in the specific context of a flipped classroom. Two of these include the Technology Acceptance Model (TAM) (David, 1989) and the Unified Theory of Acceptance and Use of Technology (UTAUT) (Venkatesh, 2003). These theoretical frameworks provide guidance for the analysis and identification of relevant outcomes. We will describe how the theoretical frameworks can help us understand the pathway through which the learning outcomes can lead to an improved academic performance.
TAM includes two theoretical variables (constructs): (i) perceived usefulness and (ii) perceived ease of use. These variables are described as ‘the degree to which a person believes that using a particular system would enhance his or her job performance’ and ‘the degree to which a person believes that using a particular system would be free of effort’, respectively (David, 1989, p. 320). The first theoretical variable relies on students’ prior knowledge, gained from the pre‐class video lecture (for example), in enhancing their understanding (and overall learning performance) of in‐class activities such as problem‐solving. The second theoretical variable suggests that people are more likely to adopt a flipped classroom if it is more user‐friendly than traditional teaching methods.
The goal of the UTAUT model is to explain the intentions of a user to employ a given information system and the subsequent behaviour of the user. The model is based on four primary variables: (1) performance expectancy, (2) effort expectancy, (3) social influence and (4) facilitating conditions (Venkatesh, 2003, p. 447). The first three variables reflect the motivation of the users (i.e., students). The fourth variable reflects the physical environment (i.e., the learning items necessary in class). These materials could be a video, an interactive presentation, a questionnaire, or sometimes a recorded audio presentation. Concerning these theoretical variables, if a flipped classroom is user‐friendly and the academic environment facilitates their learning, then it should promote students’ engagement, interactions, and cooperation in learning, which will further improve their performance.
There are potential advantages of a flipped classroom, including increased opportunities to provide individualised education to learners (Johnson, 2013; Kachka, 2012), increased student engagement with course material (Gross, 2015), and increased educator‐student interaction, compared to a ‘performing’ lecture. The Kirkpatrick model of educational outcomes (Issenberg, 2005; Kirkpatrick, 2006) comprises ‘learners’ reaction’ (to the educational experience); learning (modification of attitudes/perceptions and the acquisition of knowledge and skills); behaviour (self‐reported changes in practice and observed changes in practice, including new leadership positions); and results (which refers to change at the level of the organisation). For instance, with regard to the ‘results’ outcome, the flipped classroom allows the teacher to gain advanced, real‐time insight into how students learn, and quickly identify and address the curriculum content in an efficient way, the content which they originally found most challenging. This insight can be used to better inform decisions concerning effective curriculum organisation, structure, and delivery of future classes.
The success of a flipped‐classroom approach relies on several assumptions. Stimulation of students’ interest in learning and guided self‐study (Moraros, 2015), primarily depends on the opportunities to actively engage students in self‐directed learning and encourage progressive improvement (Bergmann, 2012; Moraros, 2015) in assessment performances. Thus, a flipped class will not support effective learning if students fail to engage with the assigned pre‐class or in‐class activities (Kachka, 2012), for reasons which might include poorly designed educational materials (e.g., long, poor audio quality) or students feeling ‘lost’ (Moffett, 2015). As such, many contextual and structural factors may influence flipped classroom learning including resources (inputs to the program), activities (aspects of implementation), outputs (observable products of the completed activities), and outcomes (effects or impacts within various time frames) as depicted in the conceptual framework (Supporting Information: Appendix 1).
Why it is important to do this review
There are several individual studies, which have evaluated flipped classrooms in medical education, allied health education, and health science education, using a pre‐and post‐test design or comparative designs to explore how learning outcomes may be improved. Some studies showed positive outcomes with flipped classrooms (Galway, 2014; Van Vliet, 2015), while others showed the opposite (Whillier, 2015). For instance, a study on integrated flipped lectures with online teaching techniques assessed the learning experiences and participation through active learning. The reported findings suggested that the students in the integrated flipped‐online lectures had achieved an increase in active learning components compared to the group that was put in a didactic model (Galway, 2014). It is important to consider the factors that could have contributed to this difference. As an example, to achieve a balance in a safe learning environment (to be free from discomfort and fear) between the two groups of students, a comparison of the personality traits of the students in each group needs to be considered. On the other hand, another individual study, which assessed the effectiveness of flipped classrooms in ophthalmology clerkship reported that the students in flipped classrooms had more burden and pressure in preparing for the pre‐class compared with the students in the lecturer‐based classroom group. However, these published individual studies varied in design, sample size, and outcome measures. It is unclear if these findings could be generalised to other health professional educations. A non‐Campbell systematic review of the flipped classroom model reported how the flipped classroom has been applied in nursing education and the achieved outcomes associated with such teaching (Betihavas, 2016). Due to the focus on a particular educational context (i.e., nursing or ophthalmology), the generalisability of their findings to other courses in undergraduate health professional education is uncertain. Another non‐Campbell collaborative systematic review, consisting of 82 studies reported on the effectiveness of flipped classrooms in medical education where a pooled estimate of a subset of six experimental studies showed generally positive perceptions of the students to the flipped classroom. However, there were no significant changes in their knowledge and skills (Cohen’s d = −0.27 to 1.21, median: 0.08) (Chen, 2017). These systematic reviews, which focused on a particular area (either nursing education or medical education) had a limited number of included studies, considerable variation in study design, a lack of methodological quality assessment of the included studies, and the quality of evidence reported by these systematic reviews was poor.
A systematic review, which combines the results of interventions, using flipped classrooms compared with alternative learning or traditional learning, would help inform the development and implementation of successful flipped classrooms amongst health professionals. The current review also aims to serve as a reference document for decision‐makers to support evidence‐based approaches to the flipped classroom in health professional education.
OBJECTIVES
The primary objective of this systematic review was to assess the effectiveness of flipped classroom interventions for undergraduate health professional students on academic performance, and course satisfaction.
The secondary objectives were to explore:
- The influence of context in the design, delivery, and outcomes of flipped classroom interventions in undergraduate health professional education;
- The barriers and facilitators of flipped classroom learning effectiveness for undergraduate health professional students.
Specifically, this review was designed to answer the following research questions:
Primary research question
- What are the effects of flipped classroom learning on undergraduate health professional students’ academic performance?
- What are the effects of flipped classroom learning on undergraduate health professional students’ course satisfaction?
Secondary research questions
- Do any moderator variables affect the effectiveness of flipped classroom learning on academic performance outcomes?
Moderators such as study design, student‐related factors including the amount of out‐of‐class preparation time, classroom availability, limited high‐speed Internet access for rural and remote students, quality of interactive tools, and faculty‐related factors such as faculty members’ preference for a more didactic approach.
METHODS
Criteria for considering studies for this review
Types of studies
This review is based on a published protocol (Naing 2019).
Included study designs were randomised controlled trials (RCTs), quasi‐experimental studies (QES), and other two‐group comparison designs (e.g., case‐control design, two cohorts). QES were inlcuded if baseline equivalence between intervention and control groups was established through matching, for example on: socioeconomic indices, school semester, enrolment, Cumulative Grade Point Average, and/or course taken.
We planned to inlcude, but did not find, cluster‐level randomised trials, natural experiments, and regression discontinuity designs.
We did not include qualitative research.
Types of participants
We included studies conducted on undergraduate health professional students, regardless of the type of healthcare streams (e.g., medicine, dentistry, nursing, pharmacy), duration of the learning activity (e.g., one or two semesters) or the country where the study was conducted.
Types of interventions
We included any educational intervention that included the flipped classroom as a teaching and learning tool in undergraduate programmes, regardless of the type of healthcare streams (e.g., medicine, nursing or pharmacy). We also included studies that explicitly indicated the teaching/learning activities for undergraduate students in the flipped classroom, reversed classroom, or flipping class, which aimed to improve student learning and/or student satisfaction (e.g., a study that compared a traditional lectured‐based class with a flipped class among undergraduate studies and measured academic performance and/or student satisfaction).
We excluded studies on standard lectures and subsequent tutorial formats (e.g., a study that compared a traditional lectured‐based class with a lectured‐based class and additional tutorials and measured exam scores and/or student satisfaction). Also, we excluded studies on flipped classroom methods among undergraduate or postgraduate students who are not from the healthcare streams (e.g., engineering, economics, or computer science).
Types of outcome measures
We explored the impact of flipped classroom learning on undergraduate health professional students’ academic‐related outcomes.
Primary outcomes
- Academic performance was measured by examination scores, final grades or other formal assessment methods at immediate post‐test.
- Student satisfaction (measured at immediate post‐test using a self‐report scale including the training institution’s format of assessing student satisfaction).
Academic performance reflects indications of passing or failing based on cutoff point determined for the subject or course to evaluate the student’s achievement against learning outcomes. The tests for passing/failing included the end‐of‐course assessment tests such as quiz items commonly used for both groups.
Student satisfaction is the measure of satisfaction with the course delivered based on the student’s attitude towards the education experience, services, and facilities. It is not perceived quality as students can perceive a course as having a high degree of quality but remain unsatisfied with it.
We planned to assess the moderating effects (e.g., design, delivery, and the barriers and facilitators) of flipped classroom learning effectiveness for undergraduate health professional education. Due to limited data, we could only assess the moderating effect of study design on the effectiveness of flipped classroom interventions in undergraduate health professional education.
Outcomes were generally measured and then compared with the two methods of learning at the end of the interventions. However, in the pre‐post analysis, comparisons were done before and after implementation of the flipped class method. Substantial heterogeneity was observed due to variations in programme pathways (i.e., medicine, pharmacy, nursing, etc.), population characteristics, intervention context, outcome measures, and the tools used for outcome assessments across included studies.
For instance, even within the same programme pathway, the tools used in the Medicine programme ranged from the commonly used multiple‐choice questions (Grønlien, 2021; Hu, 2019), one‐best answer (OBA) (Isherwood, 2019), objective structured clinical examination (OSCE) (Anderson, 2017; Baris, 2020) to special tools such as Objective Structured Assessment of Technical Skills (OSATS) (Chiu, 2018). In the nursing pathway, more complex tools such as the self ‐efficacy evidence‐based practice (SE‐EBP) scale (Chu, 2019), and Ricketts’ Critical Thinking Disposition Inventory (Dehghanzadeh, 2020) were used in the included studies. Please see more details in Supporting Information: Appendix 2.
Secondary outcomes
Following our research questions and objectives, we did not specify secondary outcome in this systematic review.
Search methods for identification of studies
Electronic searches
A comprehensive search strategy was designed to identify the relevant studies in the following databases and search engines. The last search update occured April 29, 2022. The full details are presented in Supporting Information: Appendix 3.
- Electronic databases
- Research Registers and Websites
- Dissertations and theses databases
- Proquest Global Dissertations and Theses
- Index to Theses in Great Britain and Ireland (www.theses.com)
- Theses Canada (www.collectionscanada.gc.ca/thesescanada/)
- Networked Digital Library of Theses and Dissertations (http://www.ndltd.org/)
- Regional bibliographic databases
- Full‐text journals available electronically
Search terms
With the assistance of a Social Sciences and Evidence Synthesis Librarian (AR), we used several relevant search terms and subject headings combined with Boolean operators to target relevant studies. Such terms included ‘flipped classroom’, ‘inverted classroom,’ ‘health education’, and many more. In the final review, all searches originally performed were included so that they can be replicated. Proximity operators were used when appropriate, and search terms were truncated using the appropriate conventions for the given database or search engine syntax to include variations in the endings of words and spellings. Terms from different categories were connected with ‘OR’ within each category and by ‘AND’ between categories. The entire search strategy is provided in Supporting Information: Appendix 3.
Searching other resources
To identify unpublished studies such as theses, conference proceeding, institutional reports, we searched grey literature sources by searching the following:
- Social Science Research Network
- We looked for studies from the year 2000 and onwards, regardless of the language or study setting.
- Conference abstracts and proceedings from the American Educational Research Association Repository (http://www.aera.net/EventsMeetings/tabid/10063/Default.aspx) for the year 2013−2017 were also reviewed to identify any potentially relevant studies.
To ensure that relevant studies were reviewed for inclusion in the meta‐analysis, we searched the following Institutional repositories;
- Canadian Institutional Repositories http://www.carl-abrc.ca/ir.html
- Directory of Open Access Repositories (OpenDOAR)
- Register of Open Access Repositories (ROAR)
We also searched existing reviews and publications to check references for studies that should be included (or excluded).
We also searched ongoing studies in the Social Care Online (http://www.scie-socialcareonline.org.uk).
We contacted the key researchers on the topic (Melissa Geist, Shinong Pan) about whether they had any studies in progress or unpublished research.
Lastly, we searched the Web using Google (www.google.com) and Bing (www.bing.com) to locate additional articles.
Manual search
Limited resources and personnel prevented us from conducting a comprehensive hand search of social science journals where flipped classroom‐based studies were previously published.
We conducted a hand search of journals that were relevant to the topic in
- American Educational Research Journal and
- Journal of Educational Research
We also identified relevant literature from the reference lists of the potentially eligible studies retrieved for full‐text screening and we included such studies in the full‐text screening.
We did a double screen by two investigators and inter‐rater agreement was assessed using Cohen’s κ.
Data collection and analysis
Selection of studies
Two review authors (CN, DKC) independently extracted data from included studies. A coding sheet was piloted based on several studies and was then revised. Any disagreements were resolved by discussion and a consensus was reached in all cases.
The two investigators independently screened 40% of the records, where the Cohen’s κ 0.83 indicated strong agreement.
Data extraction and management
Two review authors (CN, DKC) independently extracted data from the included studies. Any disagreements were resolved by discussion and a consensus was reached in all cases.
We extracted the following data from each study included in this review.
Description of study: type of study design, study country, study setting (e.g., college/university/institute, discipline).
Description of participants: type of study participants (e.g., gender, age group, year at school).
Description of the educational programme: for example, duration of the flipped class, comparators, modality of intervention such as video lecture, YouTube lecture, and so forth.
Description of the comparator/any other interventions in addition to the education method.
Main outcomes: primary and secondary outcomes, outcome measurements (e.g., definition of the outcome, tools used to measure the outcome, time points of outcome measurement), and any additional information that potentially affected the results.
We corresponded with investigators of the primary studies (i.e., Geist, 2015) to clarify study eligibility or any missing information (e.g., baseline equivalence). When an author query did not retrieve the requested data, the study was still reported but was not included in the final meta‐analysis. Extracted data was stored in a Microsoft Excel sheet.
Assessment of risk of bias in included studies
We assessed the risk of bias at the study level by using the Cochrane Risk of Bias tool (Higgins, 2011a). For non‐randomised designs, we used the ‘Risk of Bias’ tool from the Cochrane Effective Practice and Organisation of Care Group (EPOC, 2009) with some modifications. The tool used covers allocation sequence, the similarity of baseline outcome measurement, the similarity of baseline characteristics, incomplete outcome data, blinding of allocation, protection against contamination, selective outcome reporting, and other risks of bias. We prepared a risk of bias table that includes both RCTs (and/or non‐RCTs and/or controlled before‐after (CBA) studies) and interrupted time series (ITS) studies in Review Manager 5.4.1 (RevMan Web, 2019), as suggested in Risk of Bias Criteria for EPOC reviews (EPOC, 2017b). The two review authors (HHA, CN) independently assessed the risk of bias. For most of the items, we rated them as ‘yes’ (low risk of bias), ‘no’ (high risk of bias), or ‘unclear’ (unclear risk of bias) to make judgements of risk of bias.
Two investigators independently evaluated all eligible studies, where the Cohen’s κ 0.86 indicated perfect agreement. Discrepancies were settled by consensus and consulted a third investigator of the team (DKC) if needed.
We presented an overall grading of the evidence related to each of the main outcomes using the GRADE (Grades of Recommendation, Assessment, Development, and Evaluation) approach. The GRADE approach defines the quality of a body of evidence as to the extent to which one can be confident that an estimate of effect or association is close to the true quantity of specific interest. The quality of a body of evidence involves the consideration of the risk of bias within a trial (methodological quality), the directness of evidence, heterogeneity, the precision of effect estimates, and the risk of publication bias (Schünemann, 2011). A level of evidence for the ‘body of evidence’ is assigned, ranging from high, moderate, low to very low, as part of the GRADE process (Atkins, 2004). We did not exclude studies on the grounds of risk of bias, but sources of bias were reported when presenting the results of studies. We presented all included studies and provided a narrative discussion on the risk of bias together with the potential limitations of the review as well as implications of bias in the interpretation of the results under the ‘Discussion’ section of the full‐text review.
Measures of treatment effect
Methods for handling dependent effect sizes
If the independence assumption was violated by studies reporting several estimates based on the same individuals or if there were clusters of studies that were not independent (such as those carried out by the same facilitator), then we planned to use the robust variance estimator of the covariance matrix of meta‐regression coefficients, as described elsewhere (Hedges, 2010; Higgins, 2020). We did not find any study that required us to use a robust variance estimator in this review.
Unit of analysis issues
In cluster‐randomised trials, the unit of allocation is a group, rather than an individual. In such an event, we used cluster‐level assignment planned to adjust the standard errors of all effect size estimates using the Methods of analysis for cluster‐randomised trials (23.1.3) of the Cochrane Handbook (Higgins, 2020). If the intra‐class correlation that was needed to make this adjustment was not reported in the primary studies, we planned to use similar intraclass correlations reported in other education trials (Hedges, 2007) and planned to conduct sensitivity analyses using a range of plausible values.
If the included cluster‐randomised trials sufficiently account for the cluster design, we planned to include the effect estimates in the meta‐analysis. However, there were no cluster‐randomised trials identified for this review.
Dealing with missing data
We contacted the respective corresponding author for any missing standard deviations (SDs) for continuous outcomes or study characteristics (i.e., Geist, 2015; Lin, 2017; Wu, 2020). If these were not available, we calculated these using case‐analysis such as imputing SDs from standard errors (SEs), CIs, t‐values or p values (as appropriate) that were related to the differences between means in two groups, as described in the Cochrane Handbook for Systematic Reviews of Interventions (Higgins, 2020).
When there was insufficient information available to calculate the SDs, we imputed SDs. We imputed the SD of the mean difference of each group, using the calculator provided in RevMan (RevMan Web, 2019). The effect of missing data on the overall results was assessed through sensitivity analysis by doing a meta‐analysis without imputing missing information.
Assessment of heterogeneity
We assessed statistical heterogeneity using the χ 2 test, τ 2 test, and the I 2 measure. The χ 2 test assesses whether the observed differences in results are compatible with chance alone. The τ 2 test is an estimate of the between‐study variance in a random‐effects meta‐analysis (Deeks, 2020). The I 2 measure examines the percentage of total variation across studies due to (statistical) heterogeneity rather than to chance and we interpreted I 2 values as in Deeks (2020):
- 0%–40%: might not be important;
- 30%–60%: may represent moderate heterogeneity;
- 50%–90%: may represent substantial heterogeneity;
- 75%–100%: considerable heterogeneity.
Assessment of reporting biases
Based on a required number of studies, we used funnel plots to display the information about possible publication bias only on examination score in the medical programme. We were not able to assess publication bias on other outcomes or in other programmes identified for this review.
Data synthesis
The primary goal of this meta‐analysis was to address primary and secondary research questions by estimating the effect of flipped class on student academic outcomes and students’ satisfaction outcomes, and by examining the extent to which these outcomes are moderated by study characteristics, including fidelity of implementation.
When there were at least two studies with the same comparison (flipped classroom group vs traditional lecture class group) on the same outcome, we employed meta‐analysis. More studies were needed for a moderator analysis (Borenstein, Hedges, Higgins, & Rothstein, 2009).
For dichotomous outcomes, we used risk ratio (RR) and respective 95% confidence interval (CI) and we conducted meta‐analyses, based on RRs and summarised the results as a summary RR and its 95% CI.
For continuous outcomes such as mean and SD, we used standardised mean difference (SMD) and its 95% CIs as studies used different scales of measurement. We interpreted SMD as follows (Schünemann, 2022).
- SMD less than 0.40 represents a small intervention effect.
- SMD between 0.40 and 0.70 represents a moderate intervention effect.
- SMD greater than 0.70 represents a large intervention effect.
For studies with continuous data as median and range values or median and interquartile, we planned to calculate the means and standard deviations using statistical algorithms as described elsewhere (Luo, 2018; Wan, 2014).
An SMD greater than zero or RR greater than 1 indicates an increase in the outcome in the intervention group (flipped classroom) compared to the comparison group.
In performing the meta‐analysis, we synthesised the effect sizes for each outcome using the inverse‐variance random‐effects meta‐analysis.
We used RevMan (RevMan Web, 2019) to conduct the meta‐analysis. We did not combine evidence from different designs and outcome types in the same Forest Plot.
Results were reported using Forest Plots with study sample sizes, effect sizes, 95% CIs, p‐values, tests of homogeneity, and model choice of random effects.
Subgroup analysis and investigation of heterogeneity
Based on a sufficient number of studies reporting the relevant data, we stratified analysis including:
- Study design: Do randomised and non‐randomised designs exhibit consistently different effect sizes and significance values?
We planned a moderator analysis with sub‐specialty (e.g., ophthalmology, pharmacology, epidemiology), amount of out‐of‐class preparation time, classroom availability and limited high‐speed Internet access for rural and remote students, quality of interactive tools used, and/or faculty members’ preference for a more didactic approach. However, only limited studies included in the main meta‐analysis also reported this data.
Sensitivity analysis
Based on the required number of studies, we performed the sensitivity analysis on studies that used imputed data values to explore its impact on the effect estimates. This was necessarily performed for one main outcome namely the academic performance (final grade/exam scores), which is described under Section 10. We imputed data as described in the section ‘Dealing with missing data’.
We also planned to perform sensitivity analysis by removing studies with an overall high and unclear risk of bias from the meta‐analyses. Therefore, the analysis would include only studies with an overall low risk of bias in all key domains. However, almost all studies included had a high risk of bias. Hence, we did not perform sensitivity analysis for the risk of bias.
We planned to perform analysis using different plausible values for intraclass correlation estimation especially for studies with cluster assignment. However, there were insufficient studies in the meta‐analysis to conduct this sensitivity analysis.
Summary of findings and assessment of the certainty of the evidence
We presented an overall assessment of the certainty of the evidence related to each of the main outcomes using the GRADE (Grades of Recommendation, Assessment, Development and Evaluation) approach. The GRADE approach defines the quality of a body of evidence as to the extent to which one can be confident that an estimate of effect or association is close to the true quantity of specific interest. The quality of a body of evidence involves the consideration of the risk of bias within the trial (methodological quality), directness of evidence, heterogeneity, the precision of effect estimates, and the risk of publication bias (Schünemann, 2011). A level of evidence for the ‘body of evidence’ is assigned, ranging from high, moderate, low to very low, as part of the GRADE process (Atkins, 2004). We do not exclude studies on the grounds of risk of bias, but sources of bias are reported when presenting the results of studies. We presented all included studies and provided a narrative discussion on the risk of bias together with the potential limitations of the review as well as implications of bias in the interpretation of the results under the ‘Discussion’ section of the full‐text review.
RESULTS
Description of studies
The summary characteristics of included and excluded studies are presented in Characteristics of excluded studies; Characteristics of studies awaiting classification; Characteristics of ongoing studies.
Results of the search
Studies retrieved from literature searches were screened. Figure 1 summarises the study selection process.

A comprehensive search identified 14,050 items from the reproducible search strategies listed under the section of identification of studies and search strategy under the Methods section and presented in Supporting Information: Appendix 3. Duplicates (n = 8177) were removed using the duplication detection features of EndNote and Covidence. An initial search was conducted in November 2019 followed by a search update in April 2022. We filtered all records based on title and abstract. We removed 5755 records based on titles and abstracts. We screened the remaining 118 records in full text. In total, 45 studies met the inclusion criteria for this review, and we extracted data from these studies. Two investigators independently screened the records, where the Cohen’s κ 0.83 indicated strong agreement.
Included studies
We included all 45 studies with a total of 8426 participants in the meta‐analysis. Details of individual studies are presented in the Characteristics of included studies.
Study design
Eleven of the 45 included studies were RCTs (Anderson, 2017; Chiu, 2018; Dodiya, 2019; Harrington, 2015; Heitz, 2015; Isherwood, 2019; Kuhl, 2017; Ren, 2020; Rui, 2017; Wang, 2021; Zheng, 2020), and 19 were QES (Angadi, 2019; Baris, 2020; Chu, 2019; Dehghanzadeh, 2020; Fan, 2020; Grønlien, 2021; Herrero, 2020; Hu, 2019; Huang, 2020; Lin, 2017; Lucchetti, 2018; Missildine, 2013; Park, 2018; Sajid, 2020; Sinclair‐Bennett, 2019; Street, 2015; Suda, 2014; Tang, 2017; Zhu, 2020), and 15 were observational studies of two group comparison designs (i.e., case‐control design or two different cohorts) (Bossaer, 2016; Boysen‐Osborn, 2016; Burak, 2015; Chaudhuri, 2019; Cheng, 2016; Cotta, 2016; Evans, 2016; Gillispie, 2016; Morton, 2017; O’Connor, 2016; Stewart, 2013; Whelan, 2015; Whillier, 2015; Wilson, 2016; Wong, 2014). We could not identify any eligible ITS or cluster‐RCT for this review.
Participants in various disciplines
Participants of 24 studies were undergraduate medical students in various academic/school years or semesters in a variety of disciplines/modules (Angadi, 2019; Baris, 2020; Boysen‐Osborn, 2016; Burak, 2015; Chaudhuri, 2019; Chiu, 2018; Dodiya, 2019; Evans, 2016; Gillispie, 2016; Heitz, 2015; Herrero, 2020; Hu, 2019; Kuhl, 2017; Lin, 2017; Lucchetti, 2018; Morton, 2017; O’Connor, 2016; Ren, 2020; Rui, 2017; Sajid, 2020; Street, 2015; Tang, 2017; Whelan, 2015; Zheng, 2020). Seven studies included undergraduate pharmacy students (Anderson, 2017; Bossaer, 2016; Cotta, 2016; Stewart, 2013; Suda, 2014; Wilson, 2016; Wong, 2014), while eight studies were with undergraduate nursing students (Chu, 2019; Dehghanzadeh, 2020; Fan, 2020; Grønlien, 2021; Harrington, 2015; Missildine, 2013; Park, 2018; Sinclair‐Bennett, 2019), one study included undergraduates from the medical, dental, and nursing schools (Zhu, 2020), and the remaining five studies involved other disciplines such as dentistry (Isherwood, 2019; Wang, 2021) and allied health sciences such as chiropractic (Whillier, 2015), Chinese medicine (Cheng, 2016) and medical technology (Huang, 2020).
Location of studies
Studies were frequently (35.6%, 16/45) carried out in the high‐income countries such as the USA (Anderson, 2017; Bossaer, 2016; Boysen‐Osborn, 2016; Cotta, 2016; Evans, 2016; Harrington, 2015; Heitz, 2015; Missildine, 2013; Morton, 2017; O’Connor, 2016; Sinclair‐Bennett, 2019; Stewart, 2013; Street, 2015; Suda, 2014; Wilson, 2016; Wong, 2014), followed by eight studies (17.8%) in China (Cheng, 2016; Hu, 2019; Lin, 2017; Ren, 2020; Rui, 2017; Tang, 2017; Zheng, 2020; Zhu, 2020).
Interventions
All these studies used flipped class teaching/blended class as an intervention, albeit with variation in their implementation. For instance, a study used flipped class in the 2012 cohort, while using a traditional class in the 2011 cohort (Wong, 2014). Another study used flipped class in 2010 and traditional class in 2009 (Stewart, 2013). Also, a study used flipped class in the 2013‐2014 cohort and traditional class in the 2012–2013 cohort (Street, 2015). The contents covered by interventions varied within the discipline. For example in Medicine, one study used flipped class in radiology module (O’Connor, 2016), two studies were done on ophthalmology course (Lin, 2017; Tang, 2017), while one study each was done in advanced cardiac life support (Boysen‐Osborn, 2016), epidemiology (Evans, 2016), hepatology (Burak, 2015) or laparoscopic skill training modules (Chiu, 2018). In the context of the Pharmacy discipline, two single studies were carried out on cardiac arrhythmias (Wong, 2014) and oncology modules (Bossaer, 2016).
Comparisons
In most of the studies (97.8%, 44/45) classes used conventional/traditional lecture‐based class/large classroom‐based lecture as a comparator, while the remaining studies compared the flipped class with historical cohort (i.e., used their historical performance data) of traditional class (Evans, 2016).
Outcomes
Forty‐four studies (97.8%,44/45) reported on examination scores/grades (Anderson, 2017; Angadi, 2019; Baris, 2020; Bossaer, 2016; Boysen‐Osborn, 2016; Burak, 2015; Chaudhuri, 2019; Cheng, 2016; Chiu, 2018; Chu, 2019; Cotta, 2016; Dehghanzadeh, 2020; Dodiya, 2019; Fan, 2020; Gillispie, 2016; Grønlien, 2021; Harrington, 2015; Heitz, 2015; Herrero, 2020; Hu, 2019; Huang, 2020; Isherwood, 2019; Kuhl, 2017; Lin, 2017; Lucchetti, 2018; Missildine, 2013; Morton, 2017; O’Connor, 2016; Park, 2018; Ren, 2020; Rui, 2017; Sajid, 2020; Sinclair‐Bennett, 2019; Stewart, 2013; Street, 2015; Suda, 2014; Tang, 2017; Wang, 2021; Whelan, 2015; Whillier, 2015; Wilson, 2016; Wong, 2014; Zheng, 2020; Zhu, 2020). Eight studies reported on student satisfaction; six studies (13.3%) assessed student satisfaction in continuous data (Evans, 2016; Fan, 2020; Missildine, 2013; Sinclair‐Bennett, 2019; Street, 2015; Whelan, 2015), while two studies (4.4%) assessed in dichotomous options (Herrero, 2020; Tang, 2017).
These studies measured the outcomes with various tools. For instance, students’ performance in examinations was most frequently assessed with multiple‐choice questions (MCQs) (Angadi, 2019; Bossaer, 2016; Boysen‐Osborn, 2016; Chaudhuri, 2019; Cheng, 2016; Gillispie, 2016; Heitz, 2015; Herrero, 2020; Stewart, 2013; Suda, 2014; Tang, 2017; Wong, 2014). Some studies used content‐specific assessment tools such as the Ricketts’ Critical Thinking Disposition Inventory (Dehghanzadeh, 2020), and the Forensic test score (Huang, 2020).
Excluded studies
Details of individual studies are presented in the Characteristics of excluded studies.
Of the 118 full‐text reviewed, we excluded 73 studies. Due to the large number of studies screened in full text, we were unable to describe each excluded study in detail. We excluded studies as they did not target the health professional undergraduates. For example, two studies (Koo, 2016; Martinelli, 2017) were focused solely on postgraduate programs. We also excluded studies that did not include two separate groups for comparison (Armbruster, 2009; Belfi, 2015; Busebaia, 2020; Libert, 2016; Sheppard, 2017; Sohn, 2019; Vadakedath, 2019; Vavasseur, 2020; Veeramani, 2015; Wu, 2020).
Risk of bias in included studies
This review included a total of 45 studies: 11 RCTs, 19 QES, and 15 observational studies).
To assess the risk of bias, we used the Cochrane Risk of Bias tool (Higgins, 2011a) and expanded domains for non‐randomised designs, as described in the Cochrane Effective Practice and Organisation of Care Group (EPOC, 2009) with some modifications (Figure 2).

Allocation (selection bias)
In 11 RCTs, four studies were adequately done on random sequence generation (Anderson, 2017; Isherwood, 2019; Rui, 2017; Wang, 2021) and were judged as having a low risk of selection bias. Three RCTs (Chiu, 2018; Harrington, 2015; Heitz, 2015) were judged as having a high risk of selection bias and four RCTs (Dodiya, 2019; Kuhl, 2017; Ren, 2020; Zheng, 2020) were judged as having an ‘unclear risk of bias’ due to inadequate randomisations.
Allocation concealment was adequately reported in only three RCTs (Isherwood, 2019; Rui, 2017; Wang, 2021) and was judged as having a low risk of selection bias. Four RCTs (Chiu, 2018; Harrington, 2015; Heitz, 2015; Kuhl, 2017) were judged as having a high risk of selection bias and another four RCTs (Anderson, 2017; Dodiya, 2019; Ren, 2020; Zheng, 2020) was having an unclear risk of allocation concealment.
Randomisation was not used in 19 QES studies, and therefore, was judged as having a high risk of selection bias. These 19 QES studies did not adequately report, or there was a lack of information on allocation concealment and were judged as having a high risk of selection bias. Of note, QES has a risk of bias by default on selection bias since these two items (random sequences generation and allocation concealment) were not usually performed in this type of study.
Blinding (performance bias and detection bias)
Performance bias
Two RCTs (Isherwood, 2019; Ren, 2020) were judged as having a low risk of performance bias. It was stated that ‘unseen by the participants’ (Isherwood, 2019), and ‘all students were unaware of their group assignments before class’ (Ren, 2020). Six RCTs (Anderson, 2017; Dodiya, 2019; Harrington, 2015; Kuhl, 2017; Wang, 2021; Zheng, 2020) were judged as having a high risk of bias due to a lack of blinding the students about their assigned method of teaching. For instance, the same instructors (study investigators) were assigned to teach both course sections (Anderson, 2017). Hence, they would be able to identify the participants from each group at the time of evaluation. An open‐label design (Dodiya, 2019), and the assessors were able to distinguish which group the participants belonged to as the experimental group received the question paper as a hard copy on‐site, and the ‘control’ (traditional group) has the same question paper delivered and replied via email (Kuhl, 2017). Hence, they would be able to identify the participants from each group at the time of evaluation. The remaining three RCTs (Chiu, 2018; Heitz, 2015; Rui, 2017) were judged as having an unclear risk of bias due to insufficient information on blinding.
Six QES (Hu, 2019; Lin, 2017; Missildine, 2013; Park, 2018 Sinclair‐Bennett, 2019; Tang, 2017) were judged as having a low risk of performance bias. Six QES (Baris, 2020; Fan, 2020; Grønlien, 2021; Lucchetti, 2018; Park, 2018; Suda, 2014) were judged as having a high risk of bias due to the lack of blinding among the students about their assigned method of teaching. The remaining seven QES (Angadi, 2019; Chu, 2019; Dehghanzadeh, 2020; Grønlien, 2021; Herrero, 2020; Huang, 2020; Street, 2015) were judged as having an unclear risk of bias due to insufficient information on blinding.
Detection bias
Four RCTs (Chiu, 2018; Ren, 2020; Wang, 2021; Zheng, 2020) adequately blinded the outcome assessors and were judged as having a low risk of detection bias. We judged four RCTs (Dodiya, 2019; Harrington, 2015; Isherwood, 2019; Kuhl, 2017) as having a high risk of detection bias since the outcome assessors were not adequately blinded. We judged three RCTs (Anderson, 2017; Heitz, 2015; Rui, 2017) as having an unclear risk of detection bias due to inadequately reported blinding of the assessors.
We judged four QES (Herrero, 2020; Hu, 2019; Sinclair‐Bennett, 2019; Suda, 2014) as having a low risk of detection bias, while six QES (Baris, 2020; Grønlien, 2021; Lucchetti, 2018; Missildine, 2013; Sajid, 2020; Zhu, 2020) as having a high risk of detection bias, since the outcome assessors were not adequately blinded. The remaining nine QES (Angadi, 2019; Chu, 2019; Dehghanzadeh, 2020; Fan, 2020; Huang, 2020; Lin, 2017; Park, 2018; Street, 2015; Tang, 2017) were judged as having an unclear risk of detection bias.
Incomplete outcome data (attrition bias)
We judged nine RCTs (Anderson, 2017; Chiu, 2018; Dodiya, 2019; Heitz, 2015; Isherwood 2019; Ren, 2020; Rui, 2017; Wang, 2021; Zheng, 2020) as having a low risk of attrition bias since there was no significant loss to follow‐up, while two RCTs (Harrington, 2015; Kuhl, 2017) were judged as having an unclear risk of attrition bias due to inadequate information.
We judged 16 QES (Angadi, 2019; Chu, 2019; Dehghanzadeh, 2020; Fan, 2020; Grønlien, 2021; Hu, 2019; Huang, 2020; Lin, 2017; Lucchetti, 2018; Park, 2018; Sajid, 2020; Sinclair‐Bennett, 2019; Street, 2015; Suda, 2014; Tang, 2017; Zhu, 2020) as having a low risk of attrition bias. Two QES (Herrero, 2020; Missildine, 2013) were judged as having a high risk of attrition bias. The remaining study (Baris, 2020) was judged as having an unclear risk of attrition bias due to inadequate information.
Selective reporting (reporting bias)
We judged three RCTs (Heitz, 2015; Rui, 2017; Wang, 2021) as having a low risk of bias since these studies reported baseline information for one of the outcomes/according to the protocols. Eight RCTs (Anderson, 2017; Chiu, 2018; Dodiya, 2019; Harrington, 2015; Isherwood, 2019; Ren, 2020; Sajid, 2020) were judged as having an unclear risk of reporting bias since we could not access their protocols.
We judged five QES (Lin, 2017; Park, 2018; Sinclair‐Bennett, 2019; Street, 2015; Tang, 2017) as having a low risk of bias. Fourteen QES (Angadi, 2019; Baris, 2020; Chu, 2019; Dehghanzadeh, 2020; Fan, 2020; Grønlien, 2021; Herrero, 2020; Hu, 2019; Huang, 2020; Lucchetti, 2018; Missildine, 2013; Park, 2018; Sajid, 2020; Suda, 2014; Zhu, 2020) were judged as having unclear risk.
Two investigators independently screened the records, and Cohen’s κappa 0.83 indicated strong agreement.
Other potential sources of bias
We judged three studies (Anderson, 2017; Harrington, 2015; Rui, 2017) as having a low risk of bias and the remaining eight RCTs (Chiu, 2018; Dodiya, 2019; Heitz, 2015; Isherwood, 2019; Kuhl, 2017; Ren, 2020; Wang, 2021; Zheng, 2020) as unclear risk of other potential sources of bias.
We judged 13 QES (Angadi, 2019; Baris, 2020; Chu, 2019; Fan, 2020; Grønlien, 2021; Hu, 2019; Missildine, 2013; Park, 2018; Sajid, 2020; Street, 2015; Suda, 2014; Tang, 2017; Zhu, 2020) as having a low risk of bias and the remaining six QES (Dehghanzadeh, 2020; Herrero, 2020; Huang, 2020; Lin, 2017; Lucchetti, 2018; Sinclair‐Bennett, 2019) as unclear risk of other potential sources of bias. Concerns over ‘conflict of interest is an important factor regarded as another source of bias in this review.
The additional risk of bias in observational two groups design (i.e., case‐control or two cohorts)
i. Confounding
Of 15 observational studies, four studies (Burak, 2015; Evans, 2016; Whelan, 2015; Wong, 2014) had a low risk of confounding bias since the flipped class and comparator classes were implemented with adequate time intervals. We judged eight studies (Boysen‐Osborn, 2016; Chaudhuri, 2019; Cheng, 2016; Cotta, 2016; Morton, 2017; O’Connor, 2016; Stewart, 2013; Whelan, 2015) as having a high risk of bias because the students in those two groups were from the same school and may have been aware of which participants were assigned to which group and/or which examination questions were used, or because they were volunteer participants, where no other details of their underlying characteristics such as age and education level. Hence, there was a risk of contamination between groups. The remaining three studies (Bossaer, 2016; Gillispie, 2016; Wilson, 2016) were judged to have an unclear risk of confounding bias.
ii. Baseline characteristic imbalance
In six observational studies (Boysen‐Osborn, 2016; Cheng, 2016; Cotta, 2016; Gillispie, 2016; Wilson, 2016; Wong, 2014), baseline characteristics were similar and had a low risk of bias. We judged four studies (Morton, 2017; O’Connor, 2016; Stewart, 2013; Whillier, 2015) as having a high risk of bias due to an imbalance in the number of participants or an imbalance in the proportion of males in the two groups.
The remaining five studies (Bossaer, 2016; Burak, 2015; Chaudhuri, 2019; Evans, 2016; Whelan, 2015) were rated as having an unclear risk of baseline imbalance due to a lack of information.
iii. Baseline outcomes similar
We judged six studies (Boysen‐Osborn, 2016; Cheng, 2016; Cotta, 2016; Gillispie, 2016; Wilson, 2016; Wong, 2014) as having a low risk of bias due to the use of the same tests in both, while four studies (Morton, 2017; O’Connor, 2016; Stewart, 2013; Whillier, 2015) as high risk since the studies used different exam items and five studies (Bossaer, 2016; Burak, 2015; Chaudhuri, 2019; Evans, 2016; Whelan, 2015) as unclear risk of outcome imbalance.
iv. Intervention independent
We judged five studies (Bossaer, 2016; Chaudhuri, 2019; Evans, 2016; Gillispie, 2016; Stewart, 2013) as having a low risk of intervention dependence bias since the flipped class and traditional lecture‐based class were not implemented in the same cohort at the same time, while 10 studies (Boysen‐Osborn, 2016; Burak, 2015; Cheng, 2016; Cotta, 2016; Morton, 2017; O’Connor, 2016; Whelan, 2015; Whillier, 2015; Wilson, 2016; Wong, 2014) as unclear risk of independent intervention.
v. Analysed appropriately
Twelve observational studies (Bossaer, 2016; Boysen‐Osborn, 2016; Burak, 2015; Evans 2016; Gillispie, 2016; Morton, 2017; O’Connor, 2016; Stewart, 2013; Whelan, 2015; Whillier, 2015; Wilson, 2016; Wong, 2014) had a low risk of bias since these studies were analysed appropriately. We judged three studies (Chaudhuri, 2019; Cheng, 2016; Cotta, 2016) as having an unclear risk of bias.
vi. Blinding
We judged two studies (O’Connor, 2016; Whillier, 2015) as having a low risk of bias based on adequate information on blinding. One study (Cheng, 2016) was judged as having a high risk of bias and the remaining 12 studies (Bossaer, 2016; Boysen‐Osborn, 2016; Burak, 2015; Chaudhuri, 2019; Cotta, 2016; Evans, 2016; Gillispie, 2016; Morton, 2017; Stewart, 2013; Whillier, 2015; Wilson, 2016; Wong, 2014) were judged as having an unclear risk of bias.
vii. Addressing incomplete outcome data
We judged four studies (Gillispie, 2016; Morton, 2017; Stewart, 2013; Whillier, 2015) as having a low risk of bias due to a low non‐response rate. Four studies (Boysen‐Osborn, 2016; Whelan, 2015; Wilson, 2016; Wong, 2014) were judged as having a high risk of bias and the remaining seven studies (Bossaer, 2016; Burak, 2015; Chaudhuri, 2019; Cheng, 2016; Cotta, 2016; Evans, 2016; O’Connor, 2016) as having unclear risk.
In brief, the studies included had problems with randomisation, allocation concealment, and confounding, and this will be returned to the sensitivity testing of our results in Section 10.
Effects of interventions
Overall, 45 studies were included across all the various analyses that are described subsequently. We extracted data from the included studies, and then, the effect estimates were calculated. The most frequently reported effect estimates were the examination scores/grades in 44 studies (44/45, 97.8%).
Primary outcomes
Academic performance (measured with final examination score/grade) (Analysis 1.1; Figure 3).
Forty‐four studies (n = 7813) reported academic performance measured with final examination grades/scores. Academic performance was higher in the flipped class group compared to the traditional class group (SMD 0.57, 95% CI 0.25, 0.90, 44 studies, n = 7813). Heterogeneity was substantial (τ 2 = 1.16, p < 0.00001; I 2: 98%). The SMD of 0.57 can be interpreted as a moderate effect size.
Although a large effect size was observed in five studies included (i.e., Burak, 2015; Gillispie, 2016; Stewart, 2013; Whelan, 2015; Wong, 2014), concerns still remain about whether the flipped teaching curriculum is truly effective for more complex and time‐consuming topics (Wong, 2014).
It is possible that if the study had evaluated all exam questions, results would likely be affected by a ‘watering down’ effect as some questions pertain to other learning outcomes. If this is the case, then the analysis used is more appropriate to the teaching technique used than to any end‐of‐course exam scores not limited to specific learning outcomes (Stewart, 2013).
Students’ satisfaction with the method of learning
Eight studies measured student satisfaction (Analysis 2.1; Figure 4).

Eight studies (n = 1696) reported students’ satisfaction with the method of learning for the two groups. Students’ satisfaction was higher in the flipped class group (SMD: 0.48, 95% CI: 0.15, 0.82, 8 studies, n = 1696). Heterogeneity was substantial (τ 2 = 0.19, p < 0.00001; I 2: 89%). The SMD of 0.48 can be interpreted as a moderate effect size.
Moderator effects
We performed a moderator analysis to investigate the influences of study design (please see 2.1 Academic Performance by study design). Due to the paucity of data, we could not assess other moderator effects such as school setting, semester, course contents, previous achievement, and delivery time.
One study included in this review reported that students’ academic achievement was found to be significantly associated with the level of student’s previous achievement of the cumulated GPA (p < 0.05) (Park, 2018). This was also reported in another study (p < 0.001) (Anderson, 2017).
Academic Performance by study design
RCT (Analysis 3.1; Figure 5)
Eleven studies using RCTs (Anderson, 2017; Chiu, 2018; Dodiya, 2019; Harrington, 2015; Heitz, 2015; Isherwood, 2019; Kuhl, 2017; Ren, 2020; Rui, 2017; Wang, 2021; Zheng, 2020) reported better academic performance in the flipped class group compared to the traditional class group (SMD: 0.42, 95% CI: 0.18, 0.65, 11 studies, n = 1398). Heterogeneity was high (τ 2 = 0.12, p = 0.0001, I 2: 75%). The SMD of 0.42 can be interpreted as a moderate effect size.
QES (Analysis 3.2)
Nineteen QES (Angadi, 2019; Baris, 2020; Chu, 2019; Dehghanzadeh, 2020; Fan, 2020; Grønlien, 2021; Herrero, 2020; Hu, 2019; Huang, 2020; Lin, 2017; Lucchetti, 2018; Missildine, 2013; Park, 2018; Sajid, 2020; Sinclair‐Bennett, 2019; Street, 2015; Suda, 2014; Tang, 2017; Zhu, 2020) reported better examination scores in the flipped class group compared to the traditional class group (SMD: 0.52, 95% CI: 0.21, 0.83, 19 studies, n = 3894). There was substantial heterogeneity (τ 2 = 0.43, p < 0.00001, I 2: 95%). The SMD of 0.52 can be interpreted as a moderate effect size.


Two‐group observational design (Analysis 3.3)
Of 15 observational studies with two‐group comparisons, 14 studies (Bossaer, 2016; Boysen‐Osborn, 2016; Burak, 2015; Chaudhuri, 2019; Cheng, 2016; Cotta, 2016; Evans, 2016; Gillispie, 2016; Morton, 2017; O’Connor, 2016; Stewart, 2013; Whelan, 2015; Wilson, 2016; Wong, 2014) reported comparable examination scores in the two groups (SMD: 0.81, 95% CI: −0.23, 1.85, 14 studies, n = 2523). Heterogeneity was substantial (τ 2 = 3.87, p < 0.00001, I 2: 99%). The remaining study did not report this outcome (Evans, 2016).
These analyses suggested that there was a relationship between study design and effect size, such that experimental, randomised designs tend to yield smaller effect sizes, compared to non‐randomised designs.
Facilitators (enabling factors) and barriers
Only a limited number of studies reported detail relating to barriers and facilitators, with variations in descriptions (Supporting Information: Appendix 4).
One study highlighted that an effective flipped class model required ‘course facilitators being qualified’ (Chiu, 2018). In this study all programme facilitators were qualified by Taiwan Evidence‐Based Medicine Association, making it easier to create acceptable content and prepare relevant questions.
On the other side, the barriers most encountered in the reported studies were concerns over Internet accessibility (Angadi, 2019; Bossaer, 2016). Also, the time factor was another concern (Bossaer, 2016). For instance, students commented…‘did not have enough time to listen to lectures before coming to class’ (Bossaer, 2016) Another concern was the adequacy and quality of the study material provided to the students (Baris, 2020; Bossaer, 2016; Chaudhuri, 2019).
Sensitivity analysis (Analysis 4.1)
After the removal of eleven studies with imputed data from the original analysis of 44 studies, the overall academic performance was retained: higher in the flipped class group compared to the traditional class group (SMD: 0.54, 95% CI: 0.24, 0.85, 33 studies, n = 5924, τ 2 = 0.76, p < 0.00001, i 2: 97%). The SMD of 0.54 can be interpreted as a moderate effect size. Heterogeneity was substantial. Qualitatively, the direction of effect size was the same. The magnitude of the effect changes slightly but there is considerable overlap between the uncertainty estimates (the confidence intervals) of the main analysis and the sensitivity analysis.
This reflects that data imputations have no serious impact in this review on the effect estimates.
Assessment of reporting biases
This section below reports findings of publication bias by visualising the funnel plot asymmetry.
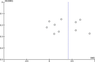
Figure 6 displays a funnel plot on academic performance measured with examination scores/grades by RCT (11 studies). The effect sizes are shown on the X‐axis, while Standard errors are shown on the Y‐axis. There were no clear signs of asymmetry.

Based on the required number of studies and adequate data sets, we investigated publication bias only on examination scores pertinent to the RCT design. We found funnel plot symmetry, indicating an absence of publication bias. However, our interpretation is limited to direct evidence of publication bias or the lack thereof. We, therefore, were cautious in the interpretation of our results.
DISCUSSION
Summary of main results
Our main objective was to assess the effectiveness of flipped classroom intervention for undergraduate health professional education students on academic performance and course satisfaction. In total, this review included 45 studies with a total of 8426 participants comprising 11 RCTs, and 34 non‐RCTs (19 QES, 15 Observational designs).
Participants in these studies were undergraduate students from various health professional pathways with Medicine being the most common program pathway. The majority of the studies were conducted in high‐income countries such as the USA with only three studies from low‐and‐middle‐income countries such as India. Flipped class contexts were heterogeneous across included studies.
The results from 44 studies could be pooled in a single meta‐analysis for an outcome of academic performance, and eight studies for student satisfaction. All the meta‐analyses showed better academic performance and higher satisfaction in the flipped class of learning.
Studies mostly reported the examination scores/grades (44/45, 97.8%), but only a few studies assessed student satisfaction with the methods of learning (8/45, 17.7%). Outcomes were measured mostly in the mean difference between the two methods of learning with the use of various assessment tools including MCQs, OSCE, quizzes, Likert scales, and other tools that are less common or more specialised in context (Supporting Information: Appendix 2).
A caveat was that moderator analysis with potential factors (e.g., school setting, semester, course contents, previous achievement, and delivery time) was not done in this review. This was because lack of sufficient information on these potential factors reported by the included studies. These additional moderators should be considered and included in future reviews. Even though increasing the number of moderators might help in reducing confounding, doing so may reduce the statistical power of the analysis of the additional moderators do not significantly explain the observed variation. Including many moderators may also cause multicollinearity (Dietrichson, 2021).
Outcomes were generally measured and then compared with the two methods of learning after the interventions. After the variations in programme pathways, population characteristics, intervention context, measures of outcome assessments, and the tools used for assessments across included studies, substantial heterogeneity was observed, as expected. For instance, even within the same programme pathway, the tools used in the Medicine programme ranged from the commonly used MCQ, and OSCE to special tools such as OSATS (Chiu, 2018). In the nursing pathway, more complex tools such as the SE‐EBP scale (Chu, 2019) and Ricketts’ Critical Thinking Disposition Inventory (Dehghanzadeh, 2020) were used in the included studies. Furthermore, the baseline characteristics of participants varied across included studies. For instance, participants included ranged from novices (Year 1), and sophomores (Years 2, 3) to exit level (>3 years, the final year) at their learning institutes (Supporting Information: Appendix 2).
Overall completeness and applicability of evidence
Related to the implications of the findings of this review for educational practice, several issues need to be considered.
Although we conducted an extensive search to find relevant studies, there might still be some gaps that remain. While large subject and interdisciplinary databases were used, it’s certainly possible that relevant studies were missed, especially if they were not widely indexed. The search terms were all in English which does not preclude discovery of non‐English published research, but future reviews could be more intentional about searching with non‐English search terms. While grey literature sources were targeted, education grey literature (e.g., untranslated, unindexed reports) can be challenging to find and retrieve.
The heterogeneity of findings among these studies might be attributed to different subjects or course designs. Almost all the included studies did not explain the correlation among different domains in Bloom’s taxonomy of learning objectives from flipped classes (Wu, 2018). Hence, the explicit effectiveness of the flipped class method is still a concern. Moreover, the studies included belonged to a single context of students from a particular cohort in a particular year in an undergraduate curriculum studying a particular subject (Issenberg, 2005). Our findings, therefore, cannot be generalised to other contexts, such as students in other year cohorts or specialties. Published non‐Campbell systematic reviews on the outcomes of the flipped class method have reported that such outcomes are often not generalisable (Chen, 2017; Issenberg, 2005). Knowledge‐based scores (e.g., MCQ) and skill‐based scores (e.g., OSCE) are only helpful for evaluating academic achievement in the short term, which is limited in determining effectiveness in the long‐term.
In summary, the applicability of the evidence of this review to current practice in undergraduate health professional education is limited, and the generalisability of the findings should be interpreted with caution.
Quality of the evidence
We have summarised the certainty of evidence in Summary of findings Table 1.
The GRADE assessment showed low‐certainty evidence for both academic performance outcomes and students’ satisfaction. The evidence suggests our confidence in the effect estimate of academic performance, and students’ satisfactions are limited, and the true effect may be substantially different from the estimate of the effect.
Many of the included studies have not mentioned pre‐published protocols and analysis plans. Therefore, whether there was selective reporting or not is a concern. Information about how the random sequence was generated was lacking in most RCTs, and the randomisation procedure was often sparsely described. As this information is easy to include, this is an area where the reporting of studies can be improved.
Confounding may have occurred during the interventions such as if the teachers were involved in the assessment of both intervention and control, they may affect the outcome.
Blinding was a concern in almost all included studies. Complete blinding is difficult to achieve in educational research, but, for example, it is possible to use investigators that are blinded to intervention status. In several included studies, students self‐reported and were not blinded. Moreover, both groups were administered the same program at the same institution, leading to the assumption that cross‐contamination may have occurred (Fan, 2020). Lack of blinding could contribute to the bidirectional bias of the results in favour of the intervention group as well as in favour of the control group. For example, if students are well aware of participating in an experiment (flipped class approach in this case) and work harder—that is, a Hawthorne effect. If so, the beneficial effects are overestimated. On the other side, students in the control group (i.e., traditional class) may also work harder because they were aware that they did not get the intervention or/and they wanted to compete with the other group—that is the John Henry effect. In that case, the beneficial effects of flipped classes are underestimated. Moreover, if attrition by comparatively low‐achieving students in the intervention group (flipped class group) is more common, then the effects in this meta‐analysis would be overestimated.
If not all, many observational studies did not provide justifications on why one group of students was assigned to the intervention group and another to the control group. It was, therefore, difficult to assess the risk of selection for the intervention. It is not certain whether included effect sizes were reasonably well balanced on observable confounders though. Moreover, faculty members on both learning approaches (flipped class and traditional teaching or experimental group and controlled group) could have communicated or shared their teaching strategies, which may have influenced the results (Fan, 2020).
Potential biases in the review process
This review was based on a published protocol (Naing, 2019) and any deviations from the published protocol are noted in the section on differences between the protocol and review. Incomplete identification of studies for this review is unlikely as we performed a comprehensive search of databases, websites, trial registries, and reference lists. However, there are areas that may have introduced bias into the review.
First, there might be bias in the review process, for example, the screening or data extraction processes, although we had put maximum efforts to be comprehensive. Second, we contacted the authors for missing information for details of study characteristics and/or clarification on data. We did not receive replies. As described in a published meta‐analysis, we did not know how they would have influenced the estimates, albeit with no reason to suspect a systematic bias from these missing studies (Lag, 2019). Third, the most frequent studies were from the USA, an English Speaking country. We may also have missed studies from European countries where languages other than English are used. Moreover, many studies were from high‐income countries such as China and USA. Limited connectivity to the internet and access to databases are challenges that will need to be considered when implementing flipped class teaching in the low‐and‐ middle‐income countries. As learning does not occur in a vacuum, it is essential to take into consideration the context within which learning takes place (Rohwer, 2017). Fourth, the concurrent use of two learning models in the same semester is one potential limitation of this review. The possibility that students in the two conditions shared materials cannot be discounted (Anderson, 2017). In some studies, a combination of the flipped class and another teaching method (e.g., PBL) was compared with the traditional class (Hu, 2019), and there was no separate data for the flipped class alone. Hence, higher or lower effect estimates of a flipped class are a concern. Fifth, there were different traditional learning’ conditions across the primary studies, and these may also affect the results. For instance, it is anticipated that the more active the students involved in the traditional class group are, it is likely that there will be a smaller difference with the flipped classroom group.
Agreements and disagreements with other studies or reviews
A systematic review of students in pharmacy education, incorporating six observational studies with 1395 participants reported no significant difference in final examination scores (i.e., academic performance in the present review) comparing the two educational models (MD: 2.90, 95% CI: −0.02‐5.81, p = 0.05). There was substantial heterogeneity among the studies included (I 2: 91%) (Gillette, 2018). Although the exact reasons were not known, this could be attributed to the concerns about faculty time and resources (McLaughlin, 2014) as well as student time for preparation (Gillette, 2018). In this sense, a study reported that to flip a class, a professor would have to invest 127% more time in course development and management. After initial development, the flipped classroom requires 57% more time to maintain when compared to a lecture course (McLaughlin, 2014). From the findings of this review, it is difficult to demonstrate evidence to support flipped class method of learning. That is not to suggest they are inappropriate, merely the fact that there is still a paucity of well‐designed randomised controlled trial data to guide this key area. A meta‐analysis incorporating 28 studies in a variety of disciplines (i.e., medicine, pharmacy, nursing, and so on) reported that there was no significant variation when comparing studies with different research designs (Hew, 2018). With the magnitude measured in this way, the effect sizes found in our review were larger than comparable effect sizes from a previous review in the same field (Hew, 2018). Thus, the results of this review provide support for trying out flipped class interventions for undergraduate health professional students.
AUTHORS’ CONCLUSIONS
Implications for practice
Based on the low certainty evidence of this review, the flipped class approach may increase or reduce academic performance, and students satisfaction among health professional undergraduate students.
There is speculation that traditional assessment methods may not accurately reflect gains from the flipped classroom, which may cause the reported effect to be underestimated (Gillette, 2018). This is because the flipped classroom is designed to develop higher order thinking in students and, as such, graded assessments (e.g., open text, essay, etc.) should provide students the opportunity to demonstrate the development of these skills. Moreover, for flipped learning, assessment should be used to hold students accountable for pre‐class learning such as guided questions for pre‐class material. This will further act as a mechanism for encouraging students to learn foundational material before coming to the (flipped) class (Persky, 2017).
The literature shows that students report satisfaction being receptive to the concept of the flipped classroom, but there were concerns (e.g., workload and lack of time to prepare) that were consistently reported by students across many studies. To implement a flipped class in the curriculum development continuum, it is worth remembering that pre‐qualification flipped class can be regarded as an investment in the future.
Students were likely unhappy to do work at home that was traditionally done in a face‐to‐face class format, and they may have considered watching the pre‐class videos as time pressure (Hew, 2018). Concerning theoretical variables in UTA (David, 1989) and UTAUT (Venkatesh, 2003), if a flipped classroom is user‐friendly and the learning environment facilitates their learning, then it will promote students’ engagement, interactions, and cooperation in learning, which will further improve their performance. Hence, instructors who wish to employ flipped classrooms should first promote students’ understanding of this new instructional approach by explaining the rationale, and potential benefits of the flipped classroom and consider limiting the total length of all combined video segments to about 20 min (Hew, 2018).
Implications for research
Despite the quantity of research output on the flipped classroom as an instructional strategy, most of the studies did not employ a rigorous design. When planning future trials of the flipped classroom, attention should be given to the following aspects, which would improve evidence‐based information: rigorous randomisation procedures and larger sample sizes. Importantly, studies should include at least one common outcome to enable a formal summation of the evidence. A description of pre‐publishing trial protocols and analysis plans is desirable to reduce researcher bias and promote transparency. More research studies using prospective, randomised designs with larger classes should be conducted before the widespread adoption of this teaching methodology. Due to a lack of evidence on the impact of flipped classes on resources (e.g., costs and benefits), attention is needed in this area.
CONTRIBUTIONS OF AUTHORS
Content: CN, MAW, and DKC
Systematic review methods: CN, MAW, and HHA
Statistical analysis: CN, DKC, and HHA
Information retrieval: Amy Riegelman
DECLARATIONS OF INTEREST
CN: none known
MAW: none known
HHA: none known
DKC: none known
AR: none known
DIFFERENCES BETWEEN PROTOCOL AND REVIEW
Due to limited institutional access, we did not conduct a hand‐search in the American Educational Research Journal and Journal of Educational Research. We did not search CINAHL because we were confident that items indexed in CINAHL would have been located in many other databases and search engines that were utilised. We did not search ‘Education Research Global Observatory’ (http://ergo.asu.edu/ejdirectory.html) as the directory is no longer working during both search periods. Wayback Machine was used to further investigate why the page hasn’t worked in several years. According to our protocol, we contacted the authors for clarification of data or missing data. We did not receive a reply. Our protocol stipulated that we would use intention‐to‐treat (ITT) estimates whenever available. However, the included studies did not report ITT estimates. We could not find cluster‐level RCTs, natural experiments, or regression discontinuity designs, as planned. In this review, we reported the combined analysis (combining the data from all disciplines) for the primary outcome (academic performance, student satisfaction) and then the secondary outcome (moderating effects according to study design). In the protocol, we have wrongly indicated student satisfaction as a secondary outcome, although this was linked to primary research question. We have corrected this error and regarded student satisfaction as the primary objective/outcome.
PUBLISHED NOTES
Characteristics of studies
Characteristics of included studies
Anderson 2017
| Methods | RCT, two groups parallel design |
| Participants | 1st year students in PHAR 541 courseN = 70 (FC: 38 vs. TC: 32)Males, n (%): FC, 18(47.4); TC,14(43.7)Age in year, mean(±SD): FC 27.3 (±5.5); TL 26.6 (±6.7)Inclusion criteria: All students enroled within the PHAR 541 course (n = 578) were eligibleExclusion criteria: Not described |
| Interventions | Intervention: Flipped classroom (FC) (n = 38)Prework with readings, recorded lectures, performance of guided tasks or other activities developed by the instructorControl/Comparator: traditional lecture (TL) (n = 32)Course delivered in 16‐h pharmacy calculations education (a 5‐week course of instruction) in PHAR 541 course |
| Outcomes | |
| Notes | Setting: Marshall University School of Pharmacy;Ethics approval: ObtainedFunding: Not mentionedStudy period: Not stated |
Risk of bias table
| Bias | Authors’ judgement | Support for judgement |
|---|---|---|
| Random sequence generation (selection bias) | Low risk | Block randomisations: Block strata by quartile of student performance on the Pharmacy College Admission Test (PCAT) Quantitative domain. |
| Allocation concealment (selection bias) | Unclear risk | Insufficient informationQuote: ‘Students were randomly assigned to one of two educational conditions’. p. 3 |
| Blinding of participants and personnel (performance bias) | High risk | Quote: ‘the same instructors (study investigators) were assigned to teach bothcourse sections’ p. 3 |
| Blinding of outcome assessment (detection bias) | Unclear risk | Insufficient informationQuote: ‘both course sections met on the same day of each week; and the same posted course materials’. p. 3 |
| Incomplete outcome data (attrition bias) | Low risk | No withdrawal |
| Selective reporting (reporting bias) | Unclear risk | protocol not available |
| Other bias | Low risk | None |
| Confounding?/Free of contamination? | Unclear risk | |
| Baseline characteristics similar? | Unclear risk | |
| Baseline outcomes similar? | Unclear risk | |
| Intervention independent | Unclear risk | |
| Blinding | Unclear risk | |
| incomplete outcome data | Unclear risk |
Angadi 2019
| Methods | Quasi‐experimental |
| Participants | 2nd year medical undergraduate students in IndiaN = 98 (FC, 49 vs. TC,49)Male, n (%): Not mentionedAge in years: Not mentionedInclusion/exclusion criteria: not stated |
| Interventions | Intervention: Flipped classroom (FC)Control/Comparator: conventional small group teaching (TC)Topic is ‘Drugs acting on cardiovascular system’ in pharmacology course |
| Outcomes | |
| Notes | Setting: The J. N. Medical College, Belagavi. India;Ethic approval: Obtained.Funding: Self‐funded study.Study period: 06/2018–12/2018 |
Risk of bias table
| Bias | Authors’ judgement | Support for judgement |
|---|---|---|
| Random sequence generation (selection bias) | High risk | Quote: ‘Randomly selected’. p. 2; details not described. |
| Allocation concealment (selection bias) | High risk | Quote: ‘two groups by Lot method’. p. 2; details not described |
| Blinding of participants and personnel (performance bias) | Unclear risk | Insufficient information |
| Blinding of outcome assessment (detection bias) | Unclear risk | Insufficient information |
| Incomplete outcome data (attrition bias) | Low risk | No withdrawal |
| Selective reporting (reporting bias) | Unclear risk | Protocol not available |
| Other bias | Low risk | None |
| Confounding?/Free of contamination? | Unclear risk | |
| Baseline characteristics similar? | Unclear risk | |
| Baseline outcomes similar? | Unclear risk | |
| Intervention independent | Unclear risk | |
| Blinding | Unclear risk | |
| incomplete outcome data | Unclear risk |
Baris 2020
| Methods | prospective controlled post‐ test study (Quasi‐experiment) |
| Participants | 2nd year medical students;N = 363 (FC 183 vs LBL 180)Male, n (%): FC, 95 (52); LBL, 93 (52)Age in years: 19–21 years: FC 67%, LBl 65%; (22–24): FC 33%, LBL 35% |
| Interventions | Intervention = Flipped classroom (FC)Control/comparator = Lecture‐based (theoretical class) (LBL) |
| Outcomes | |
| Notes | Setting: Faculty of Medicine at the Hacettepe University in Turkey.Ethics approval: Not applicable (Informed consent was taken of participantsFunding: Not mentionedStudy period: one semester (Spring semester of 2017–2018) |
Risk of bias table
| Bias | Authors’ judgement | Support for judgement |
|---|---|---|
| Random sequence generation (selection bias) | High risk | Insufficient information; Quote: ‘small groups are created random’. p. 3 |
| Allocation concealment (selection bias) | High risk | Based on previous academic achievement, gender, age; did not control for variability in teaching skill of the teachers for FC and LBL |
| Blinding of participants and personnel (performance bias) | High risk | Students were informed about their assigned method of teaching |
| Blinding of outcome assessment (detection bias) | High risk | The same lecturers, and the practices were assessed by the same 8 trainers |
| Incomplete outcome data (attrition bias) | Unclear risk | Not stated |
| Selective reporting (reporting bias) | Unclear risk | No protocol available |
| Other bias | Low risk | None |
| Confounding?/Free of contamination? | Unclear risk | |
| Baseline characteristics similar? | Unclear risk | |
| Baseline outcomes similar? | Unclear risk | |
| Intervention independent | Unclear risk | |
| Blinding | Unclear risk | |
| incomplete outcome data | Unclear risk |
Bossaer 2016
| Methods | A design experiment (See below) |
| Participants | 3rd year pharmacy students in oncology module in 2012 and 2013N: 146, (FC,76; TC,72)Male, n (%): not mentionedAge in years: not mentionedInclusion/exclusion criteria: not described |
| Interventions | Intervention: Flipped classroom in Year 2013(FC) in 2013 batch‐to watch video pod casts before in class case studiesControl/comparator: Interactive lecture in 2012 batch (TC)‐ large classroom setting, with optional case studies as supplemental homework |
| Outcomes | |
| Notes | Setting: East Tennessee State University (ETSU) Bill Gatton College of Pharmacy, Tennessee, USAEthical approval: Obtained.Funding: Rasht Islamic Azad University, Iran (grant #. 1179508260009)Study period: 2012 and 2013A design experiment: The term was introduced in 1992 as a method to conduct formative research and refine educational designs based on principles derived from prior research. Design experiments are set in the messy situations that characterize real‐life learning; to avoid the distortions of laboratory experiments and therefore constitute a means of addressing the complexity that is a hallmark of educational settings (Piercea, 2012a). |
Risk of bias table
| Bias | Authors’ judgement | Support for judgement |
|---|---|---|
| Random sequence generation (selection bias) | Unclear risk | |
| Allocation concealment (selection bias) | Unclear risk | |
| Blinding of participants and personnel (performance bias) | Unclear risk | |
| Blinding of outcome assessment (detection bias) | Unclear risk | |
| Incomplete outcome data (attrition bias) | Unclear risk | |
| Selective reporting (reporting bias) | Unclear risk | |
| Other bias | Unclear risk | |
| Confounding?/Free of contamination? | Unclear risk | Different cohorts, but the same materials used |
| Baseline characteristics similar? | Unclear risk | Demographic variables are different in two groups |
| Baseline outcomes similar? | Low risk | Cumulative GPA in previous pharmacotherapy courses, College Admissions Test (PCAT) |
| Intervention independent | Low risk | Different cohorts |
| Blinding | Unclear risk | insufficient information |
| incomplete outcome data | High risk | low response rate (39.4%) |
Boysen‐Osborn 2016
| Methods | case‐control study, (historical control classes) |
| Participants | Final year medical students in advanced cardiac life support (ACLS) courseN = 354 (FC/TBL,95 vs. LB, 259).Age in years: Not mentioned.Male, n (%): Not mentioned.Inclusion: used 3 recent histological cohortsExclusion criteria: Not described. |
| Interventions | Intervention; team‐based learning in 2015 (FC/TBL)Control/comparator: lecture‐based in 2012 (LB)i. 27.5 h of instruction for FC/TBL modelii. 20 h (12 h lecture, 8 h simulation) in LBiii. TBL covered 13 cardiac cases; LB had noneiv. Seven simulation cases and didactic contents |
| Outcomes | |
| Notes | Setting: University of California‐Irvine School of Medicine, USAEthical approval: Obtained (HS# 2014‐1195)Funding: Not mentionedStudy duration: 2012–2014 in LB; 2015 in FC/TBL |
Risk of bias table
| Bias | Authors’ judgement | Support for judgement |
|---|---|---|
| Random sequence generation (selection bias) | Unclear risk | |
| Allocation concealment (selection bias) | Unclear risk | |
| Blinding of participants and personnel (performance bias) | Unclear risk | |
| Blinding of outcome assessment (detection bias) | Unclear risk | |
| Incomplete outcome data (attrition bias) | Unclear risk | |
| Selective reporting (reporting bias) | Unclear risk | |
| Other bias | Unclear risk | |
| Confounding?/Free of contamination? | High risk | different total instructional time (Table 1); a single instructor for the large group component of TBL. |
| Baseline characteristics similar? | Low risk | students of same background; Average MCAT scores: 31.8 in FC/TBL versus 32.1 in LB; Average GPA: 3.68 in both groups |
| Baseline outcomes similar? | Low risk | same assessment test |
| Intervention independent | Unclear risk | insufficient information |
| Blinding | Unclear risk | not stated |
| incomplete outcome data | High risk | Quote: ‘up to 1/3 of students apparently did not watch the pod casts at all’. p. 5 |
Burak 2015
| Methods | Observational study |
| Participants | Medical students in hepatology courseN = 338 (FC, 163 vs. TL, 175)Age in years: Not mentionedMale, n (%): Not mentionedAge in years: Not mentionedInclusion/exclusion criteria: Not described |
| Interventions | Intervention: Flipped class in 2014 (FC)Control/Comparator: Traditional class in 2012 (TL) |
| Outcomes | |
| Notes | Setting: Cumming School of Medicine in Alberty, CanadaEthical approval: Obtained.Funding: Not mentioned.Study duration: 2012 cohort and 2014 cohortOnly abstract is available. |
Risk of bias table
| Bias | Authors’ judgement | Support for judgement |
|---|---|---|
| Random sequence generation (selection bias) | Unclear risk | |
| Allocation concealment (selection bias) | Unclear risk | |
| Blinding of participants and personnel (performance bias) | Unclear risk | |
| Blinding of outcome assessment (detection bias) | Unclear risk | |
| Incomplete outcome data (attrition bias) | Unclear risk | |
| Selective reporting (reporting bias) | Unclear risk | |
| Other bias | Unclear risk | |
| Confounding?/Free of contamination? | Low risk | 6 h independent study time |
| Baseline characteristics similar? | Unclear risk | Not stated, only abstract is available |
| Baseline outcomes similar? | Low risk | Same to both groups |
| Intervention independent | Unclear risk | Insufficient information, only abstract is available |
| Blinding | Unclear risk | Not stated |
| incomplete outcome data | Unclear risk | Insufficient information, only abstract is available |
Chaudhuri 2019
| Methods | Cohort study |
| Participants | 1st year medical student at Department of PhysiologyN: 120 (10 FC class vs. 10 TC class, number in each group not mentioned)Male, n (%): Not mentionedAge in years: Not mentionedInclusion criteria: All students enroled in the first MBBS programme were included.Ten lecture classesExclusion criteria: Not described. |
| Interventions | Intervention: Flipped class (FC)Control/comparator: Traditional class (TC)(10‐lecture classes assisted by FC vs. 10‐traditional lecture class) |
| Outcomes | |
| Notes | Setting: Medical College of West Bengal, IndiaEthics approval: Obtained.Funding: Not mentionedStudy period: Not mentioned |
Risk of bias table
| Bias | Authors’ judgement | Support for judgement |
|---|---|---|
| Random sequence generation (selection bias) | Unclear risk | |
| Allocation concealment (selection bias) | Unclear risk | |
| Blinding of participants and personnel (performance bias) | Unclear risk | |
| Blinding of outcome assessment (detection bias) | Unclear risk | |
| Incomplete outcome data (attrition bias) | Unclear risk | |
| Selective reporting (reporting bias) | Unclear risk | |
| Other bias | Unclear risk | |
| Confounding?/Free of contamination? | High risk | Students from the same school |
| Baseline characteristics similar? | Unclear risk | 10 FC class vs. 10 TC class, number in each group not mentioned. |
| Baseline outcomes similar? | Low risk | Same assessment tests used |
| Intervention independent | Low risk | Different teaching methods |
| Blinding | Unclear risk | Not stated |
| incomplete outcome data | Unclear risk | Quote: ‘Most of the students (98%) did not pay attention to the study materials provided to them before their classes’. p. 577 |
Cheng 2016
| Methods | Cohort study |
| Participants | Traditional Chinese Medicine program in 2014N = 111 (FC, 24 vs. TC, 87)Male, n (%): FC 10 (41.7%); TC 33(37.9)Age in years: not mentionedInclusion/exclusion criteria: |
| Interventions | Intervention: Flipped class (FC)Control/comparator: Conventional/traditional class (TC) |
| Outcomes | |
| Notes | Setting: Jinan University, ChinaEthics approved—Obtained from the Jinan UniversityImbalance sample size |
Risk of bias table
| Bias | Authors’ judgement | Support for judgement |
|---|---|---|
| Random sequence generation (selection bias) | Unclear risk | |
| Allocation concealment (selection bias) | Unclear risk | |
| Blinding of participants and personnel (performance bias) | Unclear risk | |
| Blinding of outcome assessment (detection bias) | Unclear risk | |
| Incomplete outcome data (attrition bias) | Unclear risk | |
| Selective reporting (reporting bias) | Unclear risk | |
| Other bias | Unclear risk | |
| Confounding?/Free of contamination? | High risk | Quote: ‘all of the FC students in this study were volunteers’. p. 9 |
| Baseline characteristics similar? | Low risk | students from same background, same content |
| Baseline outcomes similar? | Low risk | the same examination papers at the end of the semester; The papers were graded by the same teachers |
| Intervention independent | Unclear risk | insufficient information |
| Blinding | High risk | Quote: ‘The papers were graded by the same teachers, thus allowing for direct comparison of the learning outcomes’. p. 4 |
| incomplete outcome data | Unclear risk | two groups of imbalance sample size; Quote: ‘All of the FC students in this study were volunteers’. |
Chiu 2018
| Methods | RCT |
| Participants | 3rd year medical students in a 1‐hour laparoscopic skill training sessionN = 59 (FC, 30 vs. TC, 29)Male, n (%): FC, 22 (73.3); TC,18 (62)Age in years: Not mentionedInclusion criteria: 6th year medical students(=3rd year in US system), who had no previous laparoscopic suturing experiencesExclusion criteria: Not described |
| Interventions | Intervention: Flipped classroom (FC)Control/comparator: Conventional/traditional class (TC) |
| Outcomes | |
| Notes | Setting: Taipei Medical University Hospital, an academic teaching hospitalEthical approval: ObtainedFunding: Not mentionedStudy period: Not mentionedOSATS: Objective structured assessment of technical skills tool |
Risk of bias table
| Bias | Authors’ judgement | Support for judgement |
|---|---|---|
| Random sequence generation (selection bias) | High risk | Assignment of participants was based on their registered order |
| Allocation concealment (selection bias) | High risk | Quote: The former half students (n = 29)were allotted to ‘the conventional group’ and the latter half (n = 30) were to ‘the flipped group’. p. 327 |
| Blinding of participants and personnel (performance bias) | Unclear risk | insufficient information |
| Blinding of outcome assessment (detection bias) | Low risk | Quote ‘Instructors were blinded to the grouping of the students’. p. 327 |
| Incomplete outcome data (attrition bias) | Low risk | No withdrawal/no missing data |
| Selective reporting (reporting bias) | Unclear risk | Protocol not available |
| Other bias | Unclear risk | Quote: ‘recruited voluntarily’. p. 327 |
| Confounding?/Free of contamination? | Unclear risk | |
| Baseline characteristics similar? | Unclear risk | |
| Baseline outcomes similar? | Unclear risk | |
| Intervention independent | Unclear risk | |
| Blinding | Unclear risk | |
| incomplete outcome data | Unclear risk |
Chu 2019
| Methods | quasi‐experimental design with nonequivalent control group |
| Participants | nurses enroled for EBN in‐service training course at medical center in northern Taiwan, aged>20 yrsN = 151 (FC, 75 vs. TC, 76)Male, n (%): FC, 2 (2.63); TC, 1(1.33)Age in years, mean (±SD): FC, 35.2 (±9.19); TC 33.61(±8.5);Inclusion criteria:i. employed nursing staff,ii. aged > 20 years,iii. willing to sign a consent form to participate in the study.Exclusion criteria:not described |
| Interventions | Intervention: Flipped classroom (FC)Control/comparator: Traditional classroom (TC) |
| Outcomes | |
| Notes | Setting: Medical center in northern TaiwanEthics approval: Obtained (IRB # 106‐0828C)Funding: Chang Gung Memorial Hospital (MOST NMRPG3F0541)Study period: Not mentionedEBN: Evidence‐based nursingEBP: Evidence‐based practice (SE‐EBP) |
Risk of bias table
| Bias | Authors’ judgement | Support for judgement |
|---|---|---|
| Random sequence generation (selection bias) | High risk | convenient sampling |
| Allocation concealment (selection bias) | High risk | Quote: ‘the first 75 nurses were assigned to the control group and the following 76 nurses were assigned’. p. 4 |
| Blinding of participants and personnel (performance bias) | Unclear risk | Not stated |
| Blinding of outcome assessment (detection bias) | Unclear risk | Not stated |
| Incomplete outcome data (attrition bias) | Low risk | No missing data; no withdrawal |
| Selective reporting (reporting bias) | Unclear risk | No protocol available |
| Other bias | Low risk | None |
| Confounding?/Free of contamination? | Unclear risk | |
| Baseline characteristics similar? | Unclear risk | |
| Baseline outcomes similar? | Unclear risk | |
| Intervention independent | Unclear risk | |
| Blinding | Unclear risk | |
| incomplete outcome data | Unclear risk |
Cotta 2016
| Methods | Cohort study |
| Participants | Pharmaceutical calculations courseN = 316 (FC 151 vs. TL 165)Age in years: Not mentionedMale, n (%): Not mentionedInclusion/exclusion criteria: Not described |
| Interventions | Intervention: Flipped classroom (FC) (2011 and 2012)Control/comparator: Traditional lecture (TL) (Section II, 2011)2 h/week × 10‐week course |
| Outcomes | |
| Notes | Settings: South University School of Pharmacy(SUSOP) in Georgia, USAEthic approval: ObtainedFunding: Not mentionedStudy period: 2011–2012 |
Risk of bias table
| Bias | Authors’ judgement | Support for judgement |
|---|---|---|
| Random sequence generation (selection bias) | Unclear risk | |
| Allocation concealment (selection bias) | Unclear risk | |
| Blinding of participants and personnel (performance bias) | Unclear risk | |
| Blinding of outcome assessment (detection bias) | Unclear risk | |
| Incomplete outcome data (attrition bias) | Unclear risk | |
| Selective reporting (reporting bias) | Unclear risk | |
| Other bias | Unclear risk | |
| Confounding?/Free of contamination? | High risk | Different facilitators for section I and II |
| Baseline characteristics similar? | Low risk | Same content, students of same background |
| Baseline outcomes similar? | Low risk | Same test |
| Intervention independent | Unclear risk | Not stated |
| Blinding | Unclear risk | Not stated |
| incomplete outcome data | Unclear risk | Not stated |
Dehghanzadeh 2020
| Methods | Quasi‐experimental study, nonequivalent control group |
| Participants | 2nd year bachelor’s nursing students under the musculoskeletal (MSK) and medical‐surgical nursing theoretical training courseN = 85 (FC, 43 vs. TL, 42)Male, n (%): FC, 8 (18.6); TL, 6(14.3) in TLAge in years, mean (±SD): Fc, 19.77 (1.52); TL, 19.98 (1.15)Inclusion criteria:Signing up for MSK Medical‐Surgical Nursing theoretical training course,No previous experience of FC‐based learning |
| Interventions | Intervention: Flipped classroom (FC)Comparator/control: Traditional lecture (TL)Divide at 1st semester into two 42‐ and 43‐student groups and attended separate theoretical training classes120‐minute/week, 8 weeks |
| Outcomes | |
| Notes | Setting: Nursing and midwifery Faculty of the Rasht branch of Islamic Azad University, Rasht, IranEthical approval: ObtainedFunding:Rasht Islamic Azad University, Iran grant (no. 1179508260009).Study period: 2016 |
Risk of bias table
| Bias | Authors’ judgement | Support for judgement |
|---|---|---|
| Random sequence generation (selection bias) | High risk | Quote: randomly allocated to either TL or FC group through coin flipping |
| Allocation concealment (selection bias) | High risk | Coin flipping |
| Blinding of participants and personnel (performance bias) | Unclear risk | Not stated |
| Blinding of outcome assessment (detection bias) | Unclear risk | Not stated |
| Incomplete outcome data (attrition bias) | Low risk | No withdrawal |
| Selective reporting (reporting bias) | Unclear risk | No protocol available |
| Other bias | Unclear risk | Not stated |
| Confounding?/Free of contamination? | Unclear risk | |
| Baseline characteristics similar? | Unclear risk | |
| Baseline outcomes similar? | Unclear risk | |
| Intervention independent | Unclear risk | |
| Blinding | Unclear risk | |
| incomplete outcome data | Unclear risk |
Dodiya 2019
| Methods | Open‐labelled interventional study |
| Participants | 1st MBBS course, undergraduate medical students in the Department of PhysiologyN = 130 (FC 65 vs. TC 65)Male, n (%): Not mentionedAge in year, (mean ± SD): Not mentioned |
| Interventions | Intervention: Flipped class: FCControl/comparator: Traditional class: TC |
| Outcomes | |
| Notes | Setting: GMERS Medical College, Gandhinaga, IndiaEthics approval: ‘approval from the institutional committee’Funding: Stated as ‘Nil’Study period: November 2017–January 2018 |
Risk of bias table
| Bias | Authors’ judgement | Support for judgement |
|---|---|---|
| Random sequence generation (selection bias) | Unclear risk | Need more information on Quote: ‘The study design was a open‐labeled interventional study (Education Intervention)’ |
| Allocation concealment (selection bias) | Unclear risk | Need more information on Quote: ‘The study design was a open‐labeled interventional study (Education Intervention)’ |
| Blinding of participants and personnel (performance bias) | High risk | Open label |
| Blinding of outcome assessment (detection bias) | High risk | open label |
| Incomplete outcome data (attrition bias) | Low risk | No withdrawls |
| Selective reporting (reporting bias) | Unclear risk | Can not be determined (no protocol) |
| Other bias | Low risk | None |
| Confounding?/Free of contamination? | Unclear risk | |
| Baseline characteristics similar? | Unclear risk | |
| Baseline outcomes similar? | Unclear risk | |
| Intervention independent | Unclear risk | |
| Blinding | Unclear risk | |
| incomplete outcome data | Unclear risk |
Evans 2016
| Methods | Cohort study with a historic control |
| Participants | 1st year Stanford medical students enroled in quantitative medicine moduleN = 279(FC: 101 vs. TC: 178)Male, n (%): FC: 54 (54%); TC: NAAge in years: Not mentionedinclusion/exclusion criteria: Not stated |
| Interventions | Intervention: blended curriculum (flipped) in 2013Control/comparator (a historic control):traditional class in 2011‐ 2012 |
| Outcomes | |
| Notes | Settings: 3 small‐group sessions at the Stanford University, USAEthical approval: exempted by the Stanford University institutional review boardStudy period: 2011–2013 |
Risk of bias table
| Bias | Authors’ judgement | Support for judgement |
|---|---|---|
| Random sequence generation (selection bias) | Unclear risk | |
| Allocation concealment (selection bias) | Unclear risk | |
| Blinding of participants and personnel (performance bias) | Unclear risk | |
| Blinding of outcome assessment (detection bias) | Unclear risk | |
| Incomplete outcome data (attrition bias) | Unclear risk | |
| Selective reporting (reporting bias) | Unclear risk | |
| Other bias | Unclear risk | |
| Confounding?/Free of contamination? | Low risk | Different cohorts using historic data |
| Baseline characteristics similar? | Unclear risk | Not mentioned |
| Baseline outcomes similar? | Unclear risk | Same assessments |
| Intervention independent | Low risk | Blended class in a different cohort |
| Blinding | Unclear risk | Not stated |
| incomplete outcome data | Unclear risk | Not stated |
Fan 2020
| Methods | Quasi‐experimental design |
| Participants | 2‐year students, registered nurse‐to‐Batchelor of nursing programN: 485 (FC, 287 vs. TC, 198)Male, n (%): 20(4.1)Age in years (mean ± SD): 20.18 ± 0.59Inclusion/exclusion: Not described |
| Interventions | Intervention: Flipped classroom (FC)Control/comparator: Traditional teaching class (TC) |
| Outcomes | |
| Notes | Setting: Nursing program at a private university in TaiwanEthical approval: Obtained (IRB #. 104‐5709 C)Funding: 1.Ministry of Science and Technology [MOST104–2511‐S‐255‐002],2.Administration Center of the Medical Research Department, Chang Gung Memorial Hospital, Taiwan(BMRPB80)Study period: 09/2015–02/2016 |
Risk of bias table
| Bias | Authors’ judgement | Support for judgement |
|---|---|---|
| Random sequence generation (selection bias) | High risk | No randomisation, revealed as a quasi experimental |
| Allocation concealment (selection bias) | High risk | Different campus;Quote: ‘both groups were administered the same program at the same institution, cross‐contamination may have occurred’Quote: ‘minimize intervention contamination between experimental and control group’. p. 5 |
| Blinding of participants and personnel (performance bias) | High risk | Quote: ‘Faculty members on both campuses could have communicated or shared their teaching strategies, which may have influenced the results’. |
| Blinding of outcome assessment (detection bias) | Unclear risk | Not described |
| Incomplete outcome data (attrition bias) | Low risk | No withdrawal |
| Selective reporting (reporting bias) | Unclear risk | No protocol available |
| Other bias | Low risk | None |
| Confounding?/Free of contamination? | Unclear risk | |
| Baseline characteristics similar? | Unclear risk | |
| Baseline outcomes similar? | Unclear risk | |
| Intervention independent | Unclear risk | |
| Blinding | Unclear risk | |
| incomplete outcome data | Unclear risk |
Gillispie 2016
| Methods | Observational studies with two cohorts |
| Participants | 3rd and 4th years of medical students in Obstetrics and gynaecology clerkshipN = 70 (FC, 31 vs. TC,30)Male, n (%): FC 23 (74.1); TC 19(63.3)Age in years, (mean): FC (28.5); TC (27.9) in rotation 2FC (28.8); TC 26.8 in rotation 3 |
| Interventions | Intervention: Flipped classroom (FC) [rotation 2 and 3 of the 2015 academic year]Control/comparator: Traditional teaching class (TC) [rotation 2 and 3 of 2014 academic year] |
| Outcomes | |
| Notes | Setting: The Ochsner Clinical School in New Orleans, LA & the University of Queensland in Brisbane, AustraliaEthical approval: Not statedFunding: Not mentionedStudy period: 2014–2015 |
Risk of bias table
| Bias | Authors’ judgement | Support for judgement |
|---|---|---|
| Random sequence generation (selection bias) | Unclear risk | |
| Allocation concealment (selection bias) | Unclear risk | |
| Blinding of participants and personnel (performance bias) | Unclear risk | |
| Blinding of outcome assessment (detection bias) | Unclear risk | |
| Incomplete outcome data (attrition bias) | Unclear risk | |
| Selective reporting (reporting bias) | Unclear risk | |
| Other bias | Unclear risk | |
| Confounding?/Free of contamination? | Unclear risk | Not stated about facilitators;a small study |
| Baseline characteristics similar? | Low risk | Quote: ‘no statistical difference was observed in sex distribution or age between the comparison groups’. p values > 0.05 (Table 1) |
| Baseline outcomes similar? | Low risk | The same assessments |
| Intervention independent | Low risk | Different cohort in different yr |
| Blinding | Unclear risk | Not stated |
| incomplete outcome data | Low risk | According to the outcomes reported in the methodology |
Grønlien 2021
| Methods | Quasi‐experimental study |
| Participants | 1st semester of nursing bachelor studies in e anatomy, physiology and biochemistry (APB) courseN = 388 (FC in 2017: 216 vs TC in 2016: 172)Age in years, (mean SD)Male, n (%): FC: 15% vs. TC: 12%) |
| Interventions | Intervention: Blended learning/flipped class: FCControl/comparator: Face‐to‐ face class/traditional class (TC) |
| Outcomes | |
| Notes | Setting: Ostfold University College in NorwayEthics approval: ‘approval by the Norwegian Social Science Data Services (NSD) ethical guidelines for experimental studies’.Funding: Østfold University College’s Strategic Found for digital development projects.Study period: 1st semester 2016 and 1st semester 2017 |
Risk of bias table
| Bias | Authors’ judgement | Support for judgement |
|---|---|---|
| Random sequence generation (selection bias) | High risk | Seems no randomisationQuote: ‘was used as the study object in a quasi‐experimental design’ |
| Allocation concealment (selection bias) | High risk | Different year. |
| Blinding of participants and personnel (performance bias) | High risk | Seems no blindedQuote: ‘the recordings were provided by the bioscientist who gave most of the lectures and was well known to the students’ |
| Blinding of outcome assessment (detection bias) | High risk | Seems no blindedQuote: ‘the recordings were provided by the bioscientist who gave most of the lectures and was well known to the students’ |
| Incomplete outcome data (attrition bias) | Low risk | All analysed |
| Selective reporting (reporting bias) | Unclear risk | Cannot be determined (no protocol) |
| Other bias | Low risk | None |
| Confounding?/Free of contamination? | Unclear risk | |
| Baseline characteristics similar? | Unclear risk | |
| Baseline outcomes similar? | Unclear risk | |
| Intervention independent | Unclear risk | |
| Blinding | Unclear risk | |
| incomplete outcome data | Unclear risk |
Harrington 2015
| Methods | RCT |
| Participants | Semester 2, undergraduate nursing studentsN = 82 (n = 41 per each group)Male, n (%): Not mentionedAge in years: Not mentionedinclusion/exclusion criteria: Not described |
| Interventions | Intervention: Flipped classroomControl/comparator; traditional class |
| Outcomes | |
| Notes | Setting: baccalaureate nursing program of a public university, USAEthical approval: Obtained exemption.Funding: Not mentionedStudy period: 01/2013–04/2013 |
Risk of bias table
| Bias | Authors’ judgement | Support for judgement |
|---|---|---|
| Random sequence generation (selection bias) | High risk | Quote: ‘convenient randomisation’. p. 179 |
| Allocation concealment (selection bias) | High risk | Quote: ‘randomly assigned to the traditional class or to the flipped classroom’. p. 179 |
| Blinding of participants and personnel (performance bias) | High risk | Quote: ‘Four faculty members taught course content based on their expertise in both the traditional and the flipped classroom’. p. 179 |
| Blinding of outcome assessment (detection bias) | High risk | Quote: ‘Examinations were given to both groups at the same time and in the same classroom’. p. 179 |
| Incomplete outcome data (attrition bias) | Unclear risk | Not stated |
| Selective reporting (reporting bias) | Unclear risk | No protocol available |
| Other bias | Low risk | None |
| Confounding?/Free of contamination? | Unclear risk | |
| Baseline characteristics similar? | Unclear risk | |
| Baseline outcomes similar? | Unclear risk | |
| Intervention independent | Unclear risk | |
| Blinding | Unclear risk | |
| incomplete outcome data | Unclear risk |
Heitz 2015
| Methods | RCT |
|---|---|
| Participants | N = 60 recruitedN = 56 analysedLate 3rd year (n = 35)/4th‐year (n = 21) medical students in EM rotation/EM electiveN = 60 recruitedN = 56 analysedMale, n (%): not mentionedAge in years: not mentionedInclusion criteria:Late 3rd or 4th year medical students enroled in the required EM rotation or the EM elective at either site.ii. Participants underwent informed consent at the beginning of the rotation that participation in the study was inconsequential to their final grade on the rotationExclusion criteria: Not described |
| Interventions | Intervention: Flipped class (FC)Control/comparator: Standard class; 4 week rotation (SC) |
| Outcomes | |
| Notes | Setting: Two academic sites (Virginia Tech Carilion School of Medicine & University of Maryland School of Medicine), USAEthical approval: Obtained.Funding: Not mentionedStudy period: 01/07/to 30/06/2014 |
Risk of bias table
| Bias | Authors’ judgement | Support for judgement |
|---|---|---|
| Random sequence generation (selection bias) | High risk | Quote: ‘designated a study number that assigned them’. p. 852 |
| Allocation concealment (selection bias) | High risk | Quote: ‘…assigned them to a combination of two chief complaints commonly’Quote: ‘participants were assigned to one of the six combinations of chief complaints’. p. 852 |
| Blinding of participants and personnel (performance bias) | Unclear risk | Not stated |
| Blinding of outcome assessment (detection bias) | Unclear risk | Quote: ‘All participants took the same examination, although the order of questions was altered by the testing software to minimize chances of unethical behavior’. p. 851 |
| Incomplete outcome data (attrition bias) | Low risk | Less than 10% withdrawn (4/60 students) |
| Selective reporting (reporting bias) | Low risk | Protocol was presented in the paper |
| Other bias | Unclear risk | Quote: ‘The FC on the examination was not considered towards their final grade on the rotation’. p. 852 |
| Confounding?/Free of contamination? | Unclear risk | |
| Baseline characteristics similar? | Unclear risk | |
| Baseline outcomes similar? | Unclear risk | |
| Intervention independent | Unclear risk | |
| Blinding | Unclear risk | |
| incomplete outcome data | Unclear risk |
Herrero 2020
| Methods | Quasi‐experimental |
| Participants | 3rd year medical students in 2 consecutive year (2017–2018 and 2018–2019) in pathophysiology courseN = 430 in 2 consecutive year (FC, 201 vs. TC 229)Male, n (%): FC, 78 (38.8); TC, 73(31.9)Age in years, mean (±SD): FC, 20(74.6%) and >20 (25.4%)TC 20(83%) and >20 (17%)Inclusion criteria: Two different cohort included. |
| Interventions | Intervention: Flipped class (FC) in 2018Control/comparator: Traditional class (TC) in 2017 |
| Outcomes | |
| Notes | Setting: the Universidad de Navarra (Pamplona, Spain)Ethical approval: obtained (project 2018–112)Funding: Not mentionedStudy period: 2017‐2018 |
Risk of bias table
| Bias | Authors’ judgement | Support for judgement |
|---|---|---|
| Random sequence generation (selection bias) | High risk | Quote: ‘absence of randomisation’. p. 374 |
| Allocation concealment (selection bias) | High risk | Not stated(seems not conceled) |
| Blinding of participants and personnel (performance bias) | Unclear risk | Not stated |
| Blinding of outcome assessment (detection bias) | Low risk | Quote: ‘Data from the students were recorded in a coded database, without personal information’. p. 371 |
| Incomplete outcome data (attrition bias) | High risk | Low response rate (10%), nonresponse bias |
| Selective reporting (reporting bias) | Unclear risk | Not known |
| Other bias | Unclear risk | Quote ‘Lack of an evaluation of systematic biases’ (p. 374) |
| Confounding?/Free of contamination? | Unclear risk | |
| Baseline characteristics similar? | Unclear risk | |
| Baseline outcomes similar? | Unclear risk | |
| Intervention independent | Unclear risk | |
| Blinding | Unclear risk | |
| incomplete outcome data | Unclear risk |
Hu 2019
| Methods | Intervention study with two groups (Quasi‐experimental design) |
| Participants | 4th year medical students in PBL of endocrinology (hyperthyroidism) courseN = 74 (FC, 37: TC vs. TC, 37)Male, n (%): FC, 19(51.4): TC, 18 (48.6)Age in years, mean ± SD): FC, 22.4 ± 0.9; TC, 2.1 ± 1.0Inclusion/exclusion criteria: Not described |
| Interventions | Intervention: Flipped classroom with problem‐based learning (FCPBL)Control/comparator: Traditional lecture‐based class (TC) |
| Outcomes | |
| Notes | Setting: Internship at the First Affiliated Hospital of Bengbu Medical College, ChinaEthics approval: Obtained.Funding: Quality Project for Undergraduate Teaching, Bengbu Medical College. (Grant # 2017jyxm62).Study period: Not mentioned |
Risk of bias table
| Bias | Authors’ judgement | Support for judgement |
|---|---|---|
| Random sequence generation (selection bias) | High risk | Randomly allocated into either group; no further details provided |
| Allocation concealment (selection bias) | High risk | Randomly allocated |
| Blinding of participants and personnel (performance bias) | Low risk | Quote: ‘All students were unaware of their group assignments before the internship’. p. 2 |
| Blinding of outcome assessment (detection bias) | Low risk | Quote: ‘As numbers were used in the quizzes and surveys instead of real names’. p. 3 |
| Incomplete outcome data (attrition bias) | Low risk | No withdrawal |
| Selective reporting (reporting bias) | Unclear risk | A protocol is not available |
| Other bias | Low risk | None |
| Confounding?/Free of contamination? | Unclear risk | |
| Baseline characteristics similar? | Unclear risk | |
| Baseline outcomes similar? | Unclear risk | |
| Intervention independent | Unclear risk | |
| Blinding | Unclear risk | |
| incomplete outcome data | Unclear risk |
Huang 2020
| Methods | Quasi‐experimental design |
| Participants | Medical technology studentsN = 62 (FC,38 vs. TC, 24)Male, n (%): FC: 5(13.15); TC: 4(16.7)Age in years, (mean ± SD): FC: (20.3 ± 1.5); TC (20.4 ± 1.3) |
| Interventions | Intervention: Flipped class (FC)Control/comparison: Traditional class (TC) |
| Outcomes | |
| Notes | Setting: Kaohsiung Chang Gung Memorial Hospital, TaiwanEthics approval: Obtained from Kaohsiung Chang Gung Memorial Hospital, TaiwanFunding: Kaohsiung Chang Gung Memorial Hospital, Taiwan and Ministry of Science and Technology of TaiwanStudy period: Not mentioned |
Risk of bias table
| Bias | Authors’ judgement | Support for judgement |
|---|---|---|
| Random sequence generation (selection bias) | High risk | Quote: participants could not be randomly assigned |
| Allocation concealment (selection bias) | High risk | Not stated (seems not concealed) |
| Blinding of participants and personnel (performance bias) | Unclear risk | Quote ‘As teachers and students were participating a research, there might be Pygmalion effect in which student’s performance is affected by teacher’s expectation’. p. 8 |
| Blinding of outcome assessment (detection bias) | Unclear risk | Not stated |
| Incomplete outcome data (attrition bias) | Low risk | No withdrawal |
| Selective reporting (reporting bias) | Unclear risk | No protocol available |
| Other bias | Unclear risk | None |
| Confounding?/Free of contamination? | Unclear risk | |
| Baseline characteristics similar? | Unclear risk | |
| Baseline outcomes similar? | Unclear risk | |
| Intervention independent | Unclear risk | |
| Blinding | Unclear risk | |
| incomplete outcome data | Unclear risk |
Isherwood 2019
| Methods | RCT |
| Participants | 5th year undergraduate dental students in December 2017–March 2018N = 61, (FC 31 vs. CL 30)Inclusion criteria: 5th yr LUDH undergraduate Dental Studentshospital scheduled to undertake teaching on Orthodontic emergenciesvolunteeringExclusion criteria: students repeating their 5th year of the BDS |
| Interventions | Intervention: Flipped class (FC)Control/comparator: Conventional lecture (CL) |
| Outcomes | |
| Notes | Setting: Liverpool University, UKStudy period: 07/09/2017–30/09/2017 |
Risk of bias table
| Bias | Authors’ judgement | Support for judgement |
|---|---|---|
| Random sequence generation (selection bias) | Low risk | Computer generated random allocation |
| Allocation concealment (selection bias) | Low risk | Concealed from the main investigator |
| Blinding of participants and personnel (performance bias) | Low risk | Quote: ‘unseen by the participants’ p. 60, Chapter 6.9 |
| Blinding of outcome assessment (detection bias) | High risk | Quote: Neither the main researcher nor the participants were blinded. p. 62, Chapter 6.10 |
| Incomplete outcome data (attrition bias) | Low risk | No withdrawal |
| Selective reporting (reporting bias) | Unclear risk | Protocol not available |
| Other bias | Unclear risk | Not known |
| Confounding?/Free of contamination? | Unclear risk | |
| Baseline characteristics similar? | Unclear risk | |
| Baseline outcomes similar? | Unclear risk | |
| Intervention independent | Unclear risk | |
| Blinding | Unclear risk | |
| incomplete outcome data | Unclear risk |
Kuhl 2017
| Methods | RCT |
| Participants | 2nd semester medical studentsN = 341 (IC, 42 vs. TC, 299)Male, n (%): not mentionedAge in years: Not mentionedInclusion/exclusion criteria: Not described |
| Interventions | Intervention: Inverted class (IC). Two IC intervention groupsControl/comparator: Traditional class (TC): 14 groups |
| Outcomes | |
| Notes | Setting: Medical Faculty in Ulm University, GermanyEthical approval: ObtainedFunding: ‘Sonderlinie Medizin’ of the State of Baden‐Württemberg, Germany.Study period: Summer semester 2016 |
Risk of bias table
| Bias | Authors’ judgement | Support for judgement |
|---|---|---|
| Random sequence generation (selection bias) | Unclear risk | Quote: ‘14 groups with 299 students were assigned at random to the traditional control group and 2 groups with 42 students to the IC intervention group’. p. 3 |
| Allocation concealment (selection bias) | High risk | Quote: ‘assigned to groups by the office of student affairs of the medical Faculty without any influence from the lecturers’. p. 3 |
| Blinding of participants and personnel (performance bias) | High risk | Quote: ‘The traditional student group was taught by a team of mainly experienced lecturers who had held the seminar in this form for several years (12 out of the 14 control groups)’. p. 11 |
| Blinding of outcome assessment (detection bias) | High risk | Quote: ‘The FC groups received these in paper form during the on‐site phase II, the traditional groups online in an e‐mail sent to the students that contained a link to the online survey via the evaluation platform EvaSys’. p. 5 |
| Incomplete outcome data (attrition bias) | Unclear risk | No protocol available |
| Selective reporting (reporting bias) | Unclear risk | Quote: ‘the use of the knowledge test for only the IC group’. p. 11 |
| Other bias | Unclear risk | Quote: ‘the lecturer for the IC intervention group displayed a high level of motivation’. p. 11 |
| Confounding?/Free of contamination? | Unclear risk | |
| Baseline characteristics similar? | Unclear risk | |
| Baseline outcomes similar? | Unclear risk | |
| Intervention independent | Unclear risk | |
| Blinding | Unclear risk | |
| incomplete outcome data | Unclear risk |
Lin 2017
| Methods | RCT two‐group parallel design |
| Participants | International students enroled in MBBSN = 44 (FC: 22 vs. TC: 22),Male, n (%): FC: 9(40.9); TC: 10(45.4)Age in years, (mean ± SD): FC (24.2 ± 2.2); TL (23.5 ± 1.1) |
| Interventions | Intervention: Flipped classroom (FC)Control/comparison: 1.Traditional lecture‐based curriculum & FC (TLFC) in glaucoma classroom (n = 22)2.TLFC in ocular trauma classroom (n = 22) |
| Outcomes | |
| Notes | Setting: Zhongshan Ophthalmic Center (ZOC) of Sun Yat‐sen University, ChinaEthical approval: ObtainedFunding: Multiple sources, Sun Yat‐sen University (2016‐150‐Ying Lin and 2016‐3‐Bingqian Liu), the National Natural Science Foundation of China (Grant # 81500709, 81570862, 81371019, 81670872), Medical Scientific Research Foundation of Guangdong Province (Grant #. B2012126, A2016460), the Project of Fundamental Research (Grant # B2012126, A2016460)Study period: Spring of 2016 |
Risk of bias table
| Bias | Authors’ judgement | Support for judgement |
|---|---|---|
| Random sequence generation (selection bias) | High risk | Random assignment, no further details |
| Allocation concealment (selection bias) | High risk | Randomly divided into two groups |
| Blinding of participants and personnel (performance bias) | Low risk | Quote: ‘All the subjects were not aware of the differences in the course format before the enrolment’. p. 3 |
| Blinding of outcome assessment (detection bias) | Unclear risk | Quote: ‘the instructor summarized the whole class, and reviewed all questions from the discussion’. p. 4 |
| Incomplete outcome data (attrition bias) | Low risk | No withdrawal |
| Selective reporting (reporting bias) | Low risk | Procedures revealed in the paper |
| Other bias | Unclear risk | Students from diverse background |
| Confounding?/Free of contamination? | Unclear risk | |
| Baseline characteristics similar? | Unclear risk | |
| Baseline outcomes similar? | Unclear risk | |
| Intervention independent | Unclear risk | |
| Blinding | Unclear risk | |
| incomplete outcome data | Unclear risk |
Lucchetti 2018
| Methods | Intervention study, with a non‐randomised control group (Quasi experimental) |
| Participants | 3rd year medicine (5th semester) in geriatrics and gerontologyN = 243 (77 CG vs. TL, 83 vs FC 83)Male (%): CG (38.7), TL (38.3), FC (45.8) |
| Interventions | Intervention: Flipped class (FC)‐ interactive activities (team‐based learning, discussion of clinical cases, group or paired work, jigsaw and application of the content in class)Control/comparator: 1.Traditional, lecture‐based class (TL)—provided complementary bibliography online for references, non‐mandatory online homework2.Conventional group (CG): No intervention |
| Outcomes | 1. Attitudes (UCLA‐GAS); 2. Knowledge (Cognitive—Basic geriatric knowledge); 3. Attitudes (Palmore Positivism); 4. Attitudes (Palmore total); 5. Attitudes (Maxwell–Sullivan); 6. Empathy (Maxwell–Sullivan); 7. Standardised Patient |
| Notes | Setting: Federal University of Juiz de Fora’s (UFJF), School of Medicine, BrazilEthical approval: obtainedFunding: Brazilian National Council for Scientific & Technological Development (Grant # 425074/2016‐1).Study period: 07/2014 to 07/2016 |
Risk of bias table
| Bias | Authors’ judgement | Support for judgement |
|---|---|---|
| Random sequence generation (selection bias) | High risk | No randomisation |
| Allocation concealment (selection bias) | High risk | Quasi design |
| Blinding of participants and personnel (performance bias) | High risk | Quote: ‘The amphitheater lectures of both groups were given by the same lecturer, and the practices were assessed by the same eight trainers’. p. 4 |
| Blinding of outcome assessment (detection bias) | High risk | Quote: ‘conducted by the same TR professors’ |
| Incomplete outcome data (attrition bias) | Low risk | Only 7 absentee in the CG (9%) |
| Selective reporting (reporting bias) | Unclear risk | No protocol available |
| Other bias | Unclear risk | Share similar complementary bibliography and same practical classes |
| Confounding?/Free of contamination? | Unclear risk | |
| Baseline characteristics similar? | Unclear risk | |
| Baseline outcomes similar? | Unclear risk | |
| Intervention independent | Unclear risk | |
| Blinding | Unclear risk | |
| incomplete outcome data | Unclear risk |
Missildine 2013
| Methods | Quasi‐experimental |
| Participants | Baccalaureate nursing studentsN = 589 over 3 semesters (LCI, 53, LO, 53, LLC,53)Male (%): 19%Age in years, (mean ± SD): 24.32Inclusion/exclusion criteria; not described |
| Interventions | Intervention: Lecture capture plus innovation (LCI)Control/comparison:Lecture only (LO)‐ Lecture plus lecture capture (LLC) |
| Outcomes | |
| Notes | Setting: College of Nursing, University of Texas, USAEthical approval: ObtainedFunding: The University of Texas atTyler through the J. Burns Brown Fellowship award.Study duration — three semestersLLC in spring 2010; LO & LCI in fall 2010; |
Risk of bias table
| Bias | Authors’ judgement | Support for judgement |
|---|---|---|
| Random sequence generation (selection bias) | High risk | Convenience sampling; sample size calculated |
| Allocation concealment (selection bias) | High risk | Convenience sampling |
| Blinding of participants and personnel (performance bias) | Low risk | Quote: ‘Simulation case studies, games, and other exercises were implemented independently by faculty on each campus’. p.598 |
| Blinding of outcome assessment (detection bias) | High risk | Quote: ‘Comparable examination items on test metrics were used from semester to semester to ensure consistency’. p. 598 |
| Incomplete outcome data (attrition bias) | High risk | Quote: ‘satisfaction survey completed by 75.55% response rate’. p. 598 |
| Selective reporting (reporting bias) | Unclear risk | No protocol available |
| Other bias | Low risk | None |
| Confounding?/Free of contamination? | Unclear risk | |
| Baseline characteristics similar? | Unclear risk | |
| Baseline outcomes similar? | Unclear risk | |
| Intervention independent | Unclear risk | |
| Blinding | Unclear risk | |
| incomplete outcome data | Unclear risk |
Morton 2017
| Methods | Cohort study |
|---|---|
| Participants | 1st year medical studentsN = 203 (FC, 102 vs. LC, 101)Male, n (%): FC, 53 (52), LC, 48 (47)Age in years: not mentionedInclusion criteria: 1st year medical students in 2013 (n = 5101) and 2014 (n = 5102) who were enroled in Foundations of Medicine (FOM). |
| Interventions | Intervention: Flipped Classroom in 2014 (FC)Control/Comparator: Lecture classroom in 2013 (LC) |
| Outcomes | |
| Notes | Setting: University of Utah School of Medicine, USAEthical approval: ObtainedFunding: Not mentionStudy period: 2013–2014 |
Risk of bias table
| Bias | Authors’ judgement | Support for judgement |
|---|---|---|
| Random sequence generation (selection bias) | Unclear risk | |
| Allocation concealment (selection bias) | Unclear risk | |
| Blinding of participants and personnel (performance bias) | Unclear risk | |
| Blinding of outcome assessment (detection bias) | Unclear risk | |
| Incomplete outcome data (attrition bias) | Unclear risk | |
| Selective reporting (reporting bias) | Unclear risk | |
| Other bias | Unclear risk | |
| Confounding?/Free of contamination? | High risk | Quote: ‘Between subjects design’. p. 171 |
| Baseline characteristics similar? | High risk | Quote: ‘it is unknown if the students were both classes were truly different academically based on the overall examination score since we were unable to analyse pre‐matriculation performance by class’. p. 174 |
| Baseline outcomes similar? | High risk | Different exam items |
| Intervention independent | Unclear risk | Not stated |
| Blinding | Unclear risk | Not stated |
| incomplete outcome data | Unclear risk | Not stated |
O’Connor 2016
| Methods | Prospective cohort studyMulti‐institutional study of 3 Universities |
| Participants | 3rd/4th year medical students in a 4‐week radiology clerkship or radiology electiveN = 175Male, n (%): Not mentionedAge in years: Not mentionedExclusion criteria: Not described |
| Interventions | Intervention: Flipped class learning (FC)Control/Comparator: Traditional class didactic instruction (TC) |
| Outcomes | pretest‐posttest on general diagnostic imaging knowledge |
| Notes | Setting: 1.Temple University School of Medicine, Philadelphia, USA2.Geisel School of Medicine at Dartmouth, USA3.West Virginia University School of Medicine, Morgan Town, USAEthics approval: Obtained.Funding: Not mentionedStudy period: 01/2014 to 04/2015 |
Risk of bias table
| Bias | Authors’ judgement | Support for judgement |
|---|---|---|
| Random sequence generation (selection bias) | Unclear risk | |
| Allocation concealment (selection bias) | Unclear risk | |
| Blinding of participants and personnel (performance bias) | Unclear risk | |
| Blinding of outcome assessment (detection bias) | Unclear risk | |
| Incomplete outcome data (attrition bias) | Unclear risk | |
| Selective reporting (reporting bias) | Unclear risk | |
| Other bias | Unclear risk | |
| Confounding?/Free of contamination? | High risk | Quote: |
| Baseline characteristics similar? | High risk | |
| Baseline outcomes similar? | High risk | Differences in instructional timeQuote ‘It is possible that this difference could have affected student performance, task value, and achievement emotions’. p. 818 |
| Intervention independent | Unclear risk | Quote: ‘Student assignment to flipped learning (intervention group) or traditional didactic lectures (control group) alternated with each block of the clerkship’. p. 813 |
| Blinding | Low risk | Quote ‘Instructors were blinded as to which students enrolled in the study’. p. 813 |
| incomplete outcome data | Unclear risk | Not stated |
Park 2018
| Methods | Quasi‐experimental design |
| Participants | Junior students from a nursing science major in 2015N = 81 (FC, 81 vs. TC, 81; 1st half and 2nd half of the study)Age in years (mean ± SD): 22.1(0.89)Male, n (%): 9 (11.1)Inclusion criteria: Voluntary participants |
| Interventions | Intervention: Flipped class (FC)Control/Comparator: Traditional class (TC) |
| Outcomes | |
| Notes | Setting: Daegu University, Daegu, South Korea.Ethics approval: ObtainedFunding: Daegu University, Daegu, South Korea (No. 20160195).Study period: 03/2015–06/2015 |
Risk of bias table
| Bias | Authors’ judgement | Support for judgement |
|---|---|---|
| Random sequence generation (selection bias) | High risk | convenience sampling |
| Allocation concealment (selection bias) | High risk | Each participant involved in both methods (1st half and 2nd half of the study) |
| Blinding of participants and personnel (performance bias) | High risk | Quote: ‘each participant was tested multiple times to see’ |
| Blinding of outcome assessment (detection bias) | Unclear risk | The same participants involved in both groups. |
| Incomplete outcome data (attrition bias) | Low risk | No withdrawal |
| Selective reporting (reporting bias) | Low risk | Procedure described |
| Other bias | Low risk | None |
| Confounding?/Free of contamination? | Unclear risk | |
| Baseline characteristics similar? | Unclear risk | |
| Baseline outcomes similar? | Unclear risk | |
| Intervention independent | Unclear risk | |
| Blinding | Unclear risk | |
| incomplete outcome data | Unclear risk |
Ren 2020
| Methods | RCT |
|---|---|
| Participants | Medical students enroled in histology and biochemistry experimentsN = 180 (FC: 87 vs. TC: 93)Age in years (mean ± SD)Male, n (%): Not mentioned |
| Interventions | Intervention: Flipped class (FC)Control/Comparator: Traditional class (TC) |
| Outcomes | |
| Notes | Setting: Dalian Medical University, ChinaEthics approval: approved by the Dalian Medical UniversityFunding:Grant No. 14YJA880106 from the General Project of the Humanities and Social Sciences Research Fund of the Ministry of Education;Grant No. UPRP20160383 from the research project on the undergraduate teaching reform of general higher education in Liaoning Province;Grant No. JG17DB140 from Liaoning Province Education Science ‘13th Five‐Year Plan’ Project;Grant No. 2016B‐YJS019, 2016B‐JS013, 2016B‐JC014 from Medical Education Research Topics 2016 of Medical Education Branch of Chinese Medical Association.Study period: Not mentioned |
Risk of bias table
| Bias | Authors’ judgement | Support for judgement |
|---|---|---|
| Random sequence generation (selection bias) | Unclear risk | Need more informationQuote: ‘Some participants were randomly located into common (n = 93) and flipped (n = 87) group’ |
| Allocation concealment (selection bias) | Unclear risk | Need more information |
| Blinding of participants and personnel (performance bias) | Low risk | All students were unaware of their group assignments before class |
| Blinding of outcome assessment (detection bias) | Low risk | All students were unaware of their group assignments before class. |
| Incomplete outcome data (attrition bias) | Low risk | All analysed |
| Selective reporting (reporting bias) | Unclear risk | Cannot be determined (No protocol) |
| Other bias | Low risk | None |
| Confounding?/Free of contamination? | Unclear risk | |
| Baseline characteristics similar? | Unclear risk | |
| Baseline outcomes similar? | Unclear risk | |
| Intervention independent | Unclear risk | |
| Blinding | Unclear risk | |
| incomplete outcome data | Unclear risk |
Rui 2017
| Methods | RCT |
|---|---|
| Participants | Junior‐year medical undergraduates majoring in clinical medicine (2015–2016)N = 181 (FC, 90 vs. LBL, 91)Male, n (%): FC, 41(45.6); LBL, 50 (54.9)Age in years, mean ± SD: FC (0.84 ± 0.67), LBL (20.90 ± 0.58)Inclusion criteria: those who agreed and signed the consent form |
| Interventions | Intervention = Flipped classroom (FC)Control/comparison = Lecture‐based Learning (LBL) |
| Outcomes | |
| Notes | Setting: Sichuan University, Chengdu, ChinaEthics approval: ObtainedFunding: Daegu University, Daegu, South Korea (# 20160195).Study period: 2015–2016 |
Risk of bias table
| Bias | Authors’ judgement | Support for judgement |
|---|---|---|
| Random sequence generation (selection bias) | Low risk | Computer‐based random digital method |
| Allocation concealment (selection bias) | Low risk | Computer‐based |
| Blinding of participants and personnel (performance bias) | Unclear risk | Not stated |
| Blinding of outcome assessment (detection bias) | Unclear risk | Not stated |
| Incomplete outcome data (attrition bias) | Low risk | No withdrawal |
| Selective reporting (reporting bias) | Low risk | Procedure described |
| Other bias | Low risk | None |
| Confounding?/Free of contamination? | Unclear risk | |
| Baseline characteristics similar? | Unclear risk | |
| Baseline outcomes similar? | Unclear risk | |
| Intervention independent | Unclear risk | |
| Blinding | Unclear risk | |
| incomplete outcome data | Unclear risk |
Sajid 2020
| Methods | Quasi‐experimental study |
| Participants | second‐year MBBS students during the Neuroscience BlockN = 215, FC: 136 vs. TC: 79Analysed: N = 193, FC 128 vs TC 65Male, n (%): FC, 0(0%); TC, 79(100%)Age in years (mean ± SD): Not mentioned |
| Interventions | Intervention: Flipped class (FC)Control/comparison: lecture‐based classroom group (i.e., traditional class): TC |
| Outcomes | |
| Notes | Setting: College of Medicine, Alfaisal University, Riyadh, Saudi ArabiaEthics approval: Institutional Review Board (IRB) approval (vide IRB‐20004)Funding:Study period: |
Risk of bias table
| Bias | Authors’ judgement | Support for judgement |
|---|---|---|
| Random sequence generation (selection bias) | High risk | Quasi‐experimental design (i.e no randomisation) |
| Allocation concealment (selection bias) | High risk | All females in FC, all males in TC |
| Blinding of participants and personnel (performance bias) | High risk | Students were aware of their group assignments |
| Blinding of outcome assessment (detection bias) | High risk | seems no blinding |
| Incomplete outcome data (attrition bias) | Low risk | 81% analysed |
| Selective reporting (reporting bias) | Unclear risk | Can not be determined (No protocol |
| Other bias | Low risk | None |
| Confounding?/Free of contamination? | Unclear risk | |
| Baseline characteristics similar? | Unclear risk | |
| Baseline outcomes similar? | Unclear risk | |
| Intervention independent | Unclear risk | |
| Blinding | Unclear risk | |
| incomplete outcome data | Unclear risk |
Sinclair‐Bennett 2019
| Methods | Quasi‐experimental study, convenience sampling |
| Participants | Associate degree nursing students (N = 93, FC 42 vs. TC 51)N = 93 (FC: 42 vs. TC: 51)Male, n (%): FC, 7 (16.7) vs. TC, 10 (19.6)Age under 25 years, n (%): 35 (37.65%)Inclusion criteria: 1.students currently enroled in a medical surgical course2.completed a fundamentals of nursing courseExclusion criteria: 1.novice students (i.e., 1st semester nursing students),2.last semester nursing students3.students enrolled in maternal newborn, pediatrics or mental health nursing courses |
| Interventions | Intervention: Flipped class (FC)Control: Traditional lecture class (TC) |
| Outcomes | |
| Notes | Setting: Capella University, Minnesota, USAEthics approval: ObtainedStudy period: 3 separate times during the 2018‐2019 school year.Power analysis for sample size calculations done |
Risk of bias table
| Bias | Authors’ judgement | Support for judgement |
|---|---|---|
| Random sequence generation (selection bias) | High risk | Non‐ random |
| Allocation concealment (selection bias) | High risk | Students from two different campus assigned to two different methods |
| Blinding of participants and personnel (performance bias) | Low risk | Used a log in and password which was not correlated with the student’s name or personal identification such as gender or race |
| Blinding of outcome assessment (detection bias) | Low risk | Used a log in and password |
| Incomplete outcome data (attrition bias) | Low risk | No withdrawal |
| Selective reporting (reporting bias) | Low risk | All outcomes were addressed |
| Other bias | Unclear risk | |
| Confounding?/Free of contamination? | Unclear risk | |
| Baseline characteristics similar? | Unclear risk | |
| Baseline outcomes similar? | Unclear risk | |
| Intervention independent | Unclear risk | |
| Blinding | Unclear risk | |
| incomplete outcome data | Unclear risk |
Stewart 2013
| Methods | retrospective cohort study |
| Participants | 3rd year pharmacotherapy course pod casting group in 2010N = 136 (AL,71 vs. DC, 65)Male, n (%): Not mentionedAge in years: Not mentionedInclusion/exclusion criteria: Not described |
| Interventions | Intervention: Podcasting and active learning in 2010 (AL)Control/comparator: Didactic class in 2009 (DC) |
| Outcomes | |
| Notes | Setting: East Tennessee State University, USAEthics approval: ObtainedFunding: Not mentionedStudy period: Fall semesters of 2009 (control) and 2010 (pod casts). |
Risk of bias table
| Bias | Authors’ judgement | Support for judgement |
|---|---|---|
| Random sequence generation (selection bias) | Unclear risk | |
| Allocation concealment (selection bias) | Unclear risk | |
| Blinding of participants and personnel (performance bias) | Unclear risk | |
| Blinding of outcome assessment (detection bias) | Unclear risk | |
| Incomplete outcome data (attrition bias) | Unclear risk | |
| Selective reporting (reporting bias) | Unclear risk | |
| Other bias | Unclear risk | |
| Confounding?/Free of contamination? | High risk | Students having different GPA |
| Baseline characteristics similar? | High risk | Quote: ‘major limitation in this interpretation is that students were not held responsible for completing the assignment, thus it is likely that students in the lower 50% of their class chose not to complete the out‐of‐class material as assigned’. p. 577 |
| Baseline outcomes similar? | Low risk | Quote: ‘same multiple‐choice questions in different cohort’. p. 575End of course exam (same quality of exam) |
| Intervention independent | Low risk | different years;Quote: ‘The exam questions……… used were very similar between multiple cohorts(including the two cohorts evaluated over 4 yr period, making the questions themselves less likely to be confounders’. p. 575 |
| Blinding | Unclear risk | Insufficient information |
| incomplete outcome data | Low risk | None |
Street 2015
| Methods | Quasi‐experimental design |
| Participants | 5th year medical students, preclinical physiology course; FC in 2013–2014 cohort; TC in 2012–2013 cohortN: 360 (FC, 180 vs. TC 180)Male, %: FC, 47.2%; TC, 55%Age in years: not mentionedInclusion/exclusion criteria: Not described. |
| Interventions | Intervention: Flipped classroom in 2013–2014 cohort (FC)Control/comparator: Traditional class in 2012‐2013 cohort (TC) |
| Outcomes | |
| Notes | Setting: University of North Carolina School of Medicine, USAEthical approval: Obtained (#14‐1218).Funding: Not mentionedStudy period:Group 1, TC: 2012–2013 cohortGroup 2, FC: 2013–2014 cohort |
Risk of bias table
| Bias | Authors’ judgement | Support for judgement |
|---|---|---|
| Random sequence generation (selection bias) | High risk | Not mentioned |
| Allocation concealment (selection bias) | High risk | Different cohorts in different academic years |
| Blinding of participants and personnel (performance bias) | Unclear risk | Two different cohorts |
| Blinding of outcome assessment (detection bias) | Unclear risk | Two different cohorts |
| Incomplete outcome data (attrition bias) | Low risk | No withdrawal |
| Selective reporting (reporting bias) | Low risk | Same outcomes measured; both cohorts consisted of 26 common items. |
| Other bias | Low risk | None |
| Confounding?/Free of contamination? | Unclear risk | |
| Baseline characteristics similar? | Unclear risk | |
| Baseline outcomes similar? | Unclear risk | |
| Intervention independent | Unclear risk | |
| Blinding | Unclear risk | |
| incomplete outcome data | Unclear risk |
Suda 2014
| Methods | Quasi‐experimental design |
| Participants | 3rd year pharmacy students in drug information and literature evaluation course; FC in 2013, TC in 2012N = 319 (FC, 143 vs. TC 176)Male, n (%): Not mentioned.Age in years: Not mentioned |
| Interventions | Intervention: Blended learning (Flipped class): FCControl/comparator: Traditional class: TC |
| Outcomes | |
| Notes | Setting: College of Pharmacy in the University of Tennessee, USAEthic approval: Exempted (p. 368)Funding: The Scholarship of Teaching and Learning Seed Grant Program by the University of Tennessee, College of PharmacyStudy period: Fall, semester of 2011Definitions: Blended learning = a course composed of online lectures and in‐class active learning sessions.Online lectures = Lectures that were viewed using Media‐sites technology |
Risk of bias table
| Bias | Authors’ judgement | Support for judgement |
|---|---|---|
| Random sequence generation (selection bias) | High risk | Not mentioned |
| Allocation concealment (selection bias) | High risk | Quote: ‘Based on team readiness assurance tests (TRATs)’. p. 368 |
| Blinding of participants and personnel (performance bias) | High risk | Quote: ‘Both course offerings were taught using synchronous distance learning technology’. p.368 |
| Blinding of outcome assessment (detection bias) | Low risk | Quote: ‘Students were asked to complete an anonymous, self‐administered online survey at the conclusion of the semester’. p. 368 |
| Incomplete outcome data (attrition bias) | Low risk | No withdrawal |
| Selective reporting (reporting bias) | Unclear risk | Protocol not available |
| Other bias | Low risk | None |
| Confounding?/free of contamination? | Unclear risk | |
| Baseline characteristics similar? | Unclear risk | |
| Baseline outcomes similar? | Unclear risk | |
| Intervention independent | Unclear risk | |
| Blinding | Unclear risk | |
| incomplete outcome data | Unclear risk |
Tang 2017
| Methods | Quasi‐experimental design |
| Participants | 4th year medical students in an ophthalmology clerkshipN = 95, (FC, 48 vs. TC, 47)Male, n %: FC, 25 (52); TC, 23 (48.9)Age in years (mean ± SD): FC (2.3 ± 0.6); TC (22.6 ± 0.4)Inclusion/exclusion criteria: Not described |
| Interventions | Intervention: Flipped classroom (FC)Control/Comparator: Traditional class (TC) |
| Outcomes | |
| Notes | Setting: Medical school of Sun Yat‐sen University, ChinaEthics approval: Obtained (IRB‐ZOC‐SYSU)Funding: Not mentionedStudy period: Not mentioned |
Risk of bias table
| Bias | Authors’ judgement | Support for judgement |
|---|---|---|
| Random sequence generation (selection bias) | High risk | Quote: ‘Randomly allocated’. p. 2 |
| Allocation concealment (selection bias) | High risk | Quote: ‘These participants were randomly allocated into either the flipped classroom group or the traditional lecture‐based classroom group’. p. 2 |
| Blinding of participants and personnel (performance bias) | Low risk | Quote: ‘All students were unaware of their group assignments before the clerkship’. p. 2 |
| Blinding of outcome assessment (detection bias) | Unclear risk | Quote: ‘the students assigned in the lecture‐based classroom group had the same access to the recorded lecture video and supplementary study materials as those in the flipped classroom group’. p. 4 |
| Incomplete outcome data (attrition bias) | Low risk | No withdrawal |
| Selective reporting (reporting bias) | Low risk | Study flow diagram shown. |
| Other bias | Low risk | None |
| Confounding?/Free of contamination? | Unclear risk | |
| Baseline characteristics similar? | Unclear risk | |
| Baseline outcomes similar? | Unclear risk | |
| Intervention independent | Unclear risk | |
| Blinding | Unclear risk | |
| incomplete outcome data | Unclear risk |
Wang 2021
| Methods | |
| Participants | 4th grade of a 6‐year Doctor of Dental Surgery (DDS) program in 3 consecutive academic years (2017,2018,2019)N = 144 recruitedAnalysed: 137 (FC, 70 vs. TC, 67)Male, n (%): Not mentionedAge in years (mean ± SD): Not mentioned |
| Interventions | Intervention: Flipped class (FC)Control/comparator: Traditional class/lecture‐based class (TC) |
| Outcomes | |
| Notes | Setting: Tokyo Medical and Dental University (TMDU)Registry: Clinical Trials Registry (www.umin.ac.jp/) (UMIN000028111, registered in 01/09/2017)Ethics approval: Institutional Review Board of the Tokyo Medical and Dental University (TMDU) (approval no. D2017‐024Funding: ‘The authors received no specific funding for this work’Study period: October 2017 to February 2019 |
Risk of bias table
| Bias | Authors’ judgement | Support for judgement |
|---|---|---|
| Random sequence generation (selection bias) | Low risk | A computerised random number ranging from 0 to 1 was generated for each participant. |
| Allocation concealment (selection bias) | Low risk | Concealed; assigned numbers <0.5 were allocated to the lecture group, while those with numbers >0.5 were allocated to the flipped group. |
| Blinding of participants and personnel (performance bias) | High risk | Not blined to participants |
| Blinding of outcome assessment (detection bias) | Low risk | Single‐assessor‐blinded trial. |
| Incomplete outcome data (attrition bias) | Low risk | ITT analysis |
| Selective reporting (reporting bias) | Low risk | As planned assessment (register protocol) |
| Other bias | Low risk | None |
| Confounding?/Free of contamination? | Unclear risk | |
| Baseline characteristics similar? | Unclear risk | |
| Baseline outcomes similar? | Unclear risk | |
| Intervention independent | Unclear risk | |
| Blinding | Unclear risk | |
| incomplete outcome data | Unclear risk |
Whelan 2015
| Methods | Cross‐sectional survey |
| Participants | Integrated anatomy education, streamlined anatomy curriculumStudents who had completed the pre‐clerkship program (M2, M3, and M4)N = 478 (FC, 340 vs FAL 138)Age in years: Not mentionedMale, n (%): Not mentioned |
| Interventions | Intervention: Emphasised independent‐learning(flipped classroom) (EIL or FC)Control/Comparator: Facilitated active learning (FAL) |
| Outcomes | |
| Notes | Setting: University of Ottawa, CanadaEthics approval: obtained an exempted statusFunding: not mentionedStudy period: 05/2014 |
Risk of bias table
| Bias | Authors’ judgement | Support for judgement |
|---|---|---|
| Random sequence generation (selection bias) | Unclear risk | |
| Allocation concealment (selection bias) | Unclear risk | |
| Blinding of participants and personnel (performance bias) | Unclear risk | |
| Blinding of outcome assessment (detection bias) | Unclear risk | |
| Incomplete outcome data (attrition bias) | Unclear risk | |
| Selective reporting (reporting bias) | Unclear risk | |
| Other bias | Unclear risk | |
| Confounding?/Free of contamination? | Low risk | Quote ‘we also did not survey demographic information such as age, gender, or academic ability upon admission in survey respondents’. (p. 49) |
| Baseline characteristics similar? | Unclear risk | No demographic information |
| Baseline outcomes similar? | High risk | Quote: ‘the reliability (Cronbach’s alpha) for the survey questions regarding perceptions of the laboratory learning environment (α = 0.74)‐‐many items related to that construct’. p. 49 |
| Intervention independent | Unclear risk | Not stated |
| Blinding | Low risk | Quote: ‘coders worked independently using open coding to identify themes in the first 33% of the data set. Through’. p. 43 |
| incomplete outcome data | Low risk | None |
Whillier 2015
| Methods | Observational study |
| Participants | 2nd year medical student in neuroanatomy unitN = 64 (FC, 29 vs. TC, 35)Male, n (%): not mentionedAge in years (mean ± SD): FC, (23.18 ± 10.41), TC (23.2 ± 6.3) |
| Interventions | Intervention: Flipped classroom in 2013 (FC)Control/Comparator: Traditional (regular) in 20 11 (TC) |
| Outcomes | |
| Notes | Setting: Macquarie University, AustraliaEthics Approval: obtained—(reference #: 5201100130; # 5201300691)Funding: Macquarie University Teaching Delivery Grant (4071/2054‐2013).Study period: 2011–2013 |
Risk of bias table
| Bias | Authors’ judgement | Support for judgement |
|---|---|---|
| Random sequence generation (selection bias) | Unclear risk | |
| Allocation concealment (selection bias) | Unclear risk | |
| Blinding of participants and personnel (performance bias) | Unclear risk | |
| Blinding of outcome assessment (detection bias) | Unclear risk | |
| Incomplete outcome data (attrition bias) | Unclear risk | |
| Selective reporting (reporting bias) | Unclear risk | |
| Other bias | Unclear risk | |
| Confounding?/Free of contamination? | High risk | different tasks (Table 1) and duration for flipped classroom and the regular classQuote ‘questionnaire used, this has not been tested for reliability and validity’ (p. 132). |
| Baseline characteristics similar? | High risk | Quote: ‘Session was run over 6 weeks in 2011 and over only 5 weeks in 2013’ (p.129) |
| Baseline outcomes similar? | High risk | Quote: ‘The final SNG was used to compare the 2 cohorts. But this grade is dependent on the appropriateness and degree of similarity of the assessment tasks. The schedule of assessments was not the same for both cohorts’. (p. 132) |
| Intervention independent | Unclear risk | In 2011 vs. in 2013 |
| Blinding | Unclear risk | Insufficient information |
| incomplete outcome data | Low risk | None |
Wilson 2016
| Methods | Observational study |
| Participants | 1st year–3rd year ‘over‐the‐counter(OTC) course pharmacotherapy’Yeaf 1–>3 years ‘over‐the‐counter(OTC) course pharmacotherapy’N = 189 (TBL, 102 vs. TC, 87)Male, n (%): Not mentionedAge in year, mean (±SD): TBL 27.2 (±4.7); TC, 25.1 ± 3 |
| Interventions | Intervention: Team‐based learning in 2013 (TBL)Control/Comparator: Traditional didactic lecture (traditional class(TC) |
| Outcomes | |
| Notes | Setting: Wingate University School of Pharmacy, USAEthical approval: ExemptedFunding: declared no financial disclosureStudy period: Spring 2014 and Spring 2015 |
Risk of bias table
| Bias | Authors’ judgement | Support for judgement |
|---|---|---|
| Random sequence generation (selection bias) | Unclear risk | |
| Allocation concealment (selection bias) | Unclear risk | |
| Blinding of participants and personnel (performance bias) | Unclear risk | |
| Blinding of outcome assessment (detection bias) | Unclear risk | |
| Incomplete outcome data (attrition bias) | Unclear risk | |
| Selective reporting (reporting bias) | Unclear risk | |
| Other bias | Unclear risk | |
| Confounding?/Free of contamination? | Unclear risk | The same School;Quote: Information regarding the purpose of the survey was provided in the email announcement and survey; |
| Baseline characteristics similar? | Low risk | Students form same academic background, same content |
| Baseline outcomes similar? | Low risk | Same quizzes for long‐term retention, same questionnaire |
| Intervention independent | Unclear risk | Not stated |
| Blinding | Unclear risk | Quote: ‘The questionnaire was reviewed internally by a faculty research group before distribution’. p. 642 |
| incomplete outcome data | Low risk | None |
Wong 2014
| Methods | Case‐control design |
| Participants | 1st year pharmacy students on the topic of cardiac arrhythmiasN = 206 (FC, 101 vs. TC, 103)Male, n (%): FC, 33 (32.7); TC 31 (30.1)Age in years, mean (±SD): FC, 24.1 (0.3); TC, 24.7 (0.4)Exclusion criteria: Students not attended all 3 classes and/or were repeating any courses |
| Interventions | Intervention: Flipped classroom in 2012 (FC)Control/comparison: Traditional class in 2011 (TC) |
| Outcomes | |
| Notes | Setting: California College of Pharmacy, Touro University, USAEthical approval: ExemptedFunding: Not mentionedStudy period: Spring of 2012, |
Risk of bias table
| Bias | Authors’ judgement | Support for judgement |
|---|---|---|
| Random sequence generation (selection bias) | Unclear risk | |
| Allocation concealment (selection bias) | Unclear risk | |
| Blinding of participants and personnel (performance bias) | Unclear risk | |
| Blinding of outcome assessment (detection bias) | Unclear risk | |
| Incomplete outcome data (attrition bias) | Unclear risk | |
| Selective reporting (reporting bias) | Unclear risk | |
| Other bias | Unclear risk | |
| Confounding?/Free of contamination? | Low risk | Same background |
| Baseline characteristics similar? | Low risk | Quote: ‘The demographic characteristics of the intervention and control groups did not differ in mean age, gender, or undergraduate grade point average (GPA), though the intervention group had a slightly higher pharmacy GPA’. p. 3 |
| Baseline outcomes similar? | Low risk | Same exam questions |
| Intervention independent | Unclear risk | Not stated |
| Blinding | Unclear risk | Not mentioned |
| incomplete outcome data | Low risk | None |
Zheng 2020
| Methods | |
| Participants | |
| Interventions | |
| Outcomes | |
| Notes | Ethics approval: Institutional Review Board of Sun Yat‐sen University, China |
| Study period: May–June, 2019 |
Risk of bias table
| Bias | Authors’ judgement | Support for judgement |
|---|---|---|
| Random sequence generation (selection bias) | Unclear risk | Need more informationQuote: ‘a randomized and single‐blind study’ |
| Allocation concealment (selection bias) | Unclear risk | Need more informationQuote: ‘The students assigned to the TLC group were required to finish the pre‐class exercises’ |
| Blinding of participants and personnel (performance bias) | High risk | No blinding (single‐blind study) |
| Blinding of outcome assessment (detection bias) | Low risk | single‐blind study |
| Incomplete outcome data (attrition bias) | Low risk | All analysed |
| Selective reporting (reporting bias) | Unclear risk | Cannot be determined (no protocol) |
| Other bias | Low risk | None |
| Confounding?/Free of contamination? | Unclear risk | |
| Baseline characteristics similar? | Unclear risk | |
| Baseline outcomes similar? | Unclear risk | |
| Intervention independent | Unclear risk | |
| Blinding | Unclear risk | |
| incomplete outcome data | Unclear risk |
Zhu 2020
| Methods | Quasi‐experimental design |
| Participants | Mixed group, combined undergraduate nursing students, dental students and higher vocational medical students.N = 200, (FC, 100 vs. TC, 100)Nursing students: 30 vs. 31Dental students: 32 vs. 31Medical students: 38 vs. 31Male, n (%); FC 36(36%) vs. TC, 32(32%)Age in years (mean ± SD): 21.2 ± 0.8 vs. 21.1 ± 0.9 |
| Interventions | intervention: Flipped class (FC)Control/comparison: Lecture‐based learning/Traditional class(TC) |
| Outcomes | Academic performance (skill exam scores) |
| Notes | Setting: A university in China (no detailed description)Ethics approval: The region’s ethical review board.Funding: Lishui University and University of GävleStudy period: April–June 2015 (nursing students),February–April 2017 (dental students)November 2017–January 2018 (medical students) |
Risk of bias table
| Bias | Authors’ judgement | Support for judgement |
|---|---|---|
| Random sequence generation (selection bias) | High risk | No randomisation, quasi‐experimental design |
| Allocation concealment (selection bias) | High risk | Not |
| Blinding of participants and personnel (performance bias) | High risk | Clinical lecturers (other than the researchers) completed the skill examination of students in both groups |
| Blinding of outcome assessment (detection bias) | High risk | Clinical lecturers (other than the researchers) completed the skill examination of students in both groups |
| Incomplete outcome data (attrition bias) | Low risk | All analyses |
| Selective reporting (reporting bias) | Unclear risk | Cannit be determined, no protocol found |
| Other bias | Low risk | None |
| Confounding?/Free of contamination? | Unclear risk | |
| Baseline characteristics similar? | Unclear risk | |
| Baseline outcomes similar? | Unclear risk | |
| Intervention independent | Unclear risk | |
| Blinding | Unclear risk | |
| incomplete outcome data | Unclear risk |
Footnotes
Characteristics of excluded studies
| Almanase 2018 | |
| Reason for exclusion | Not undergraduate programme (year 4 master students) |
| Almodaires 2019 | |
| Reason for exclusion | Not on health subject |
| Angshurekha 2020 | |
| Reason for exclusion | Not included outcomes of interest |
| Appleyard 2019 | |
| Reason for exclusion | A letter with no primary data |
| Armbruster 2009 | |
| Reason for exclusion | Not a flipped class |
| Belfi 2015 | |
| Reason for exclusion | Single group pre‐post test |
| Bonnes 2014 | |
| Reason for exclusion | Not undergraduate students |
| Brown 2019 | |
| Reason for exclusion | A mix of teachers and undergraduate students; no separate data for students |
| Burak 2017 | |
| Reason for exclusion | Graduated medical students |
| Burden 2015 | |
| Reason for exclusion | Not included outcomes of interest |
| Busebaia 2020 | |
| Reason for exclusion | Only one group, no comparator |
| Chan 2020 | |
| Reason for exclusion | No comparator group |
| Chen 2017 | |
| Reason for exclusion | A review |
| Day 2018 | |
| Reason for exclusion | Not undergraduate program, postgraduate students |
| Ding 2019 | |
| Reason for exclusion | Study with graduate students |
| Dombrowski 2018 | |
| Reason for exclusion | Not included outcomes of interest |
| El‐Banna 2017 | |
| Reason for exclusion | Participants are already graduated students |
| Espada 2020 | |
| Reason for exclusion | Not HPE (i.e., physical activity and sports science degree) |
| Fatima 2017 | |
| Reason for exclusion | No comparison |
| Fatima 2019 | |
| Reason for exclusion | A cross‐sectional survey, no matched comparator group |
| Galway 2014 | |
| Reason for exclusion | Not undergraduate program, postgraduate students |
| Geist 2015 | |
| Reason for exclusion | Difficult to extract data |
| Gomez‐Carrasco 2020 | |
| Reason for exclusion | Not HPE |
| Hew 2018 | |
| Reason for exclusion | A review, not a primary study |
| Hongsawong 2016 | |
| Reason for exclusion | An abstract with insufficient data |
| Hopper 2020 | |
| Reason for exclusion | Not included outcomes of interest; no data provided |
| Hurtubise 2015 | |
| Reason for exclusion | No primary data |
| Katilya 2020 | |
| Reason for exclusion | Not included outcomes of interest |
| Kim 2020 | |
| Reason for exclusion | Not included a flipped class |
| King 2018 | |
| Reason for exclusion | Postgraduate students |
| Kiviniemi 2014 | |
| Reason for exclusion | Not undergraduate programme, a postgraduate programme (master level) |
| Koo 2016 | |
| Reason for exclusion | Not undergraduate programme, a postgraduate program |
| Kugley 2016 | |
| Reason for exclusion | Not flipped classroom, it’s an information on systematic review |
| Kuhl 2019 | |
| Reason for exclusion | Not included outcomes of interest |
| Lew 2016 | |
| Reason for exclusion | Not included outcomes of interest |
| Libert 2016 | |
| Reason for exclusion | Only one group, no comparator |
| Marchalot 2017 | |
| Reason for exclusion | Residential programme |
| Martinelli 2017 | |
| Reason for exclusion | Not undergraduate programme, a postgraduate programme |
| McLaughlin 2013 | |
| Reason for exclusion | 68% of participants were postgraduates |
| McLaughlin 2014 | |
| Reason for exclusion | 75% of participants were postgraduates |
| Moraros 2015 | |
| Reason for exclusion | Not undergraduate programme, a postgraduate students |
| Njie‐Carr 2017 | |
| Reason for exclusion | A review |
| Oliv́an 2019 | |
| Reason for exclusion | Not undergraduate health programme (social workers) |
| Oudbier 2022 | |
| Reason for exclusion | A review |
| Park 2015 | |
| Reason for exclusion | Single group pre‐post test |
| Pierce 2012 | |
| Reason for exclusion | Mix with undergraduate and master’s degrees students; no separate data |
| Piercea 2012 | |
| Reason for exclusion | Single group pre‐post test |
| Porcaro 2016 | |
| Reason for exclusion | A mix sample of postgraduate and undergraduate; no separate data for undergraduate |
| Ramnanan 2017 | |
| Reason for exclusion | A review |
| Rao 2001 | |
| Reason for exclusion | Not a flipped class design |
| Rehman 2020 | |
| Reason for exclusion | Not included outcomes of interest |
| Riddle 2017 | |
| Reason for exclusion | Not undergraduate program |
| Roig‐Vila 2019 | |
| Reason for exclusion | A review |
| Roy 2020 | |
| Reason for exclusion | Difficult to extract data |
| Sait 2017 | |
| Reason for exclusion | Only a letter with no primary data |
| Sandrone 2020 | |
| Reason for exclusion | No comparator group |
| Sathapornsathid 2016 | |
| Reason for exclusion | Insufficient data (abstract) |
| Schlairet 2014 | |
| Reason for exclusion | No outcome data provided |
| Schneider 2019 | |
| Reason for exclusion | No control/comparator group |
| Sheppard 2017 | |
| Reason for exclusion | Only one group, no comparator group |
| Smith 2017 | |
| Reason for exclusion | No outcome data provided |
| Sohn 2019 | |
| Reason for exclusion | Only one group, no comparator group |
| Tsang 2016 | |
| Reason for exclusion | No flipped class included |
| Tune 2013 | |
| Reason for exclusion | Not undergraduate students (Graduate students) |
| Vadakedath 2019 | |
| Reason for exclusion | Not flipped class included |
| Vavasseur 2020 | |
| Reason for exclusion | Only one group, no comparator |
| Veeramani 2015 | |
| Reason for exclusion | Only one group, no comparator |
| Wang 2020 | |
| Reason for exclusion | Comparator is not a usual class |
| Watson 2015 | |
| Reason for exclusion | Diffcult to extract data |
| Wozny 2018 | |
| Reason for exclusion | Not health professional education (econometrics course) |
| Wu 2018 | |
| Reason for exclusion | Not included outcomes of interest |
| Wu 2020 | |
| Reason for exclusion | Only one group, no comparator |
| Young 2014 | |
| Reason for exclusion | Not undergraduate programme |
| Footnotes |
SUMMARY OF FINDINGS TABLES
Table 1 Summary of findings.
| [Flipped class compared with traditional class for undergraduuate students in health professional education programme |
| Patient or population: Undergraduate students |
| Settings: [Health professional education programme] |
| Intervention: [Flipped class] |
| Comparison: [Traditional lecture‐based class] |
High risk of selection bias.
Half of the studies are on opposite direction.
A wide 95% CI.
A wide 95% CI including a null value.
DATA AND ANALYSES
| Outcome or subgroup | Studies | Participants | Statistical method | Effect estimate |
|---|---|---|---|---|
| 1 Academic performance (overall exam scores/grade) | ||||
| 1.1 Overall performance (exam scores/grade) | 44 | 7813 | Std. Mean Difference (IV, Random, 95% CI) | 0.57 [0.25, 0.90] |
| 2 Students satisfaction | ||||
| 2.1 Student satisfaction (overall) | 8 | 1696 | Std. Mean Difference (IV, Random, 95% CI) | 0.48 [0.15, 0.82] |
| 3 Academic performance (exam scores/grade) by design | ||||
| 3.1 Academic performance by RCT | 11 | 1398 | Std. Mean Difference (IV, Random, 95% CI) | 0.42 [0.18, 0.65] |
| 3.2 Academic performance by QES | 19 | 3894 | Std. Mean Difference (IV, Random, 95% CI) | 0.52 [0.21, 0.83] |
| 3.3 Academic performance by observational (two groups) design | 14 | 2523 | Std. Mean Difference (IV, Random, 95% CI) | 0.81 [‐0.23, 1.85] |
| 4 Sensitivity analysis (after removal of studies with data imputation) | ||||
| 4.1 Overall performance (exam scores/grade) | 33 | 5924 | Std. Mean Difference (IV, Random, 95% CI) | 0.54 [0.24, 0.85] |
SOURCES OF SUPPORT
Internal sources
- MAW and CN: College of Public Health, Medical and Veterinary Sciences, James Cook University, Townsville, Australia
- Faculty Development
- DKC and HHA: International Medical University, Kuala Lumpur, Malaysia
Faculty Development
External sources
- None, Other
No external support received.
Supplementary Materials
References
- Comparison of pharmaceutical calculations learning outcomes achieved within a traditional lecture or flipped classroom andragogy.. American Journal of Pharmaceutical Education,, 2017. [PubMed]
- Effectiveness of flipped classroom as a teaching‐learning method among undergraduate medical students—An interventional study.. Journal of Education and Health Promotion,, 2019. [DOI | PubMed]
- Using traditional or flipped classrooms to teach “vascular access skill”: A pilot study to investigate the impact of the flipped classroom approach on students’ competencies.. Social Science Journal,, 2020. [DOI]
- Student performance in a pharmacotherapy oncology module before and after flipping the classroom.. American Journal of Pharmaceutical Education,, 2016. [PubMed]
- Flipping the advanced cardiac life support classroom with team‐based learning: Comparison of cognitive testing performance for medical students at the University of California, Irvine, United States.. Journal of Educational Evaluation for Health Professions,, 2016. [DOI | PubMed]
- The flipped classroom improves learning of hepatology in undergraduate medical education.. Journal of Gastroenterology and Hepatology (Australia), (, 2015
- A comparative study of outcome of flipped class room assisted lecture classes and traditional lecture classes among first MBBS students in a medical college of West Bengal.. International Journal of Research and Review,, 2019
- The “flipped classroom” approach: stimulating positive learning attitudes and improving mastery of histology among medical students.. Anatomical Sciences Education,, 2016. [DOI | PubMed]
- The effectiveness of a simulation‐based flipped classroom in the acquisition of laparoscopic suturing skills in medical students—A pilot study.. Journal of surgical education,, 2018. [PubMed]
- The effects of the flipped classroom in teaching evidence based nursing: A quasi‐experimental study.. PLoS ONE,, 2019
- Effectiveness of flipped classroom instructional model in teaching pharmaceutical calculations.. Currents in Pharmacy Teaching and Learning,, 2016
- Comparing the effects of traditional lecture and flipped classroom on nursing students’ critical thinking disposition: A quasi‐experimental study.. Medical Teacher,, 2020. [PubMed]
- A comparative study of flip classroom teaching method versus traditional classroom teaching method in undergraduate medical students in physiology.. National Journal of Physiology, Pharmacy and Pharmacology,, 2019
- An innovative blended preclinical curriculum in clinical epidemiology and biostatistics: impact on student satisfaction and performance.. Academic Medicine,, 2016. [PubMed]
- Learning outcomes of a flipped classroom teaching approach in an adult‐healthnursing course: A quasi‐experimental study.. BMC Medical Education,, 2020. [PubMed]
- Using the flipped classroom to bridge the gap to generation Y.. Ochsner Journal,, 2016. [PubMed]
- A blended learning teaching strategy strengthens the nursing students’ performance and self‐reported learning outcome achievement in an anatomy, physiology, and biochemistry course—A quasi‐experimental study.. Nurse Education in Practice,, 2021. [DOI | PubMed]
- Quantitative outcomes for nursing students in a flipped classroom.. Nursing Education Perspectives,, 2015
- Does the concept of the “flipped classroom” extend to the emergency Medicine clinical clerkship?. Western Journal of Emergency Medicine,, 2015. [PubMed]
- Flipped classroom improves results in pathophysiology learning: Results of a nonrandomized controlled study.. Advances in Physiology Education,, 2020. [DOI | PubMed]
- Implementation of flipped classroom combined with problem‐based learning: An approach to promote learning about hyperthyroidism in the endocrinology internship.. BMC Medical Education,, 2019. [PubMed]
- Effects of a quasi‐experimental study of using flipped classroom approach to teach evidence‐based Medicine to medical technology students.. BMC Medical Education,, 2020. [PubMed]
- Teaching orthodontic emergencies using the “flipped classroom” method of teaching-A mixed methods RCT.. European Journal of Dental Education,, 2020. [PubMed]
- Concept and benefits of the inverted classroom method for a competency‐based biochemistry course in the pre‐clinical stage of a human Medicine course of studies.. GMS Journal for Medical Education,, 2017. [DOI]
- Facing the challenges in ophthalmology clerkship teaching: Is flipped classroom the answer?. PLoS ONE,, 2017. [PubMed]
- Using traditional or flipped classrooms to teach “geriatrics and gerontology”? Investigating the impact of active learning on medical students’ competences.. Medical Teacher,, 2018. [DOI | PubMed]
- Flipping the classroom to improve student performance and satisfaction.. Journal of Nursing Education,, 2013. [PubMed]
- Measuring the impact of the flipped anatomy classroom: The importance of categorizing an assessment by Bloom’s taxonomy.. Anatomical Sciences Education,, 2017. [PubMed]
- Flipping radiology education right side up.. Academic Radiology,, 2016. [PubMed]
- Quasi‐experimental study on the effectiveness of a flipped classroom for teaching adult health nursing.. Japan Academy of Nursing Science,, 2018
- Flipped classroom is an approach of basic medical education for undergraduate students.. Research Square, (, 2022. [DOI]
- Friend or foe? flipped classroom for undergraduate electrocardiogram learning: A randomized controlled study.. BMC Medical Education,, 2017. [PubMed]
- Comparative analysis of effectiveness between flipped classroom and Lecture‐Based classroom in undergraduate medical education at Alfaisal University.. Cureus,, 2020. [DOI | PubMed]
- Sinclair‐Bennett, R. (2019). Flipped pedagogy versus traditional lecture: Examining clinical reasoning in associate degree nursing education [PhD dissertation at Capella University]. https://search.proquest.com/docview/2320958050?pq-origsite=gscholar&fromopenview=true
- An analysis of student performance with podcasting and active learning in a pharmacotherapy module.. Currents in Pharmacy Teaching and Learning,, 2013
- The flipped classroom improved medical student performance and satisfaction in a pre‐clinical physiology course.. Medical Science Educator,, 2015
- Student perception and academic performance after implementation blended learning approach to a drug information and literature evaluation course.. Currents in Pharmacy Teaching and Learning,, 2014
- Comparison between flipped class room and lecture‐based class room in ophthalmology clerkship.. Medical Education Online,, 2017. [PubMed]
- Multilevel factor analysis of flipped classroom in dental education: A 3‐year randomized controlled trial.. PLoS ONE,, 2021. [DOI | PubMed]
- Student perceptions of independent versus facilitated small group learning approaches to compressed medical anatomy education.. Anatomical Sciences Education,, 2016. [PubMed]
- No differences in grades or level of satisfaction in a flipped classroom for neuro‐anatomy.. Journal of Chiropractic Education,, 2015. [PubMed]
- Impact of team‐based learning on perceived and actual retention of over‐the counter pharmacotherapy.. Currents in Pharmacy Teaching and Learning,, 2016
- Pharmacy students’ performance and perceptions in a flipped teaching pilot on cardiac arrhythmias.. American Journal of Pharmaceutical Education,, 2014. [PubMed]
- Flipped classroom approach used in the training of mass casualty triage for medical undergraduate students.. Disaster Medicine and Public Health Preparedness,, 2022. [DOI | PubMed]
- Use of a flipped classroom in ophthalmology courses for nursing, dental and medical students: A quasi‐experimental study using a mixed‐methods approach.. Nurse Education Today,, 2020. [PubMed]
- Almanase, M. A. H. (2018). The impact of the flipped classroom instructional model on MPharm students in two pharmacy schools in the UK [PhD thesis]. https://discovery.ucl.ac.uk/id/eprint/10041878/12/Almanasef_10041878_thesis_redacted.pdf
- The effectiveness of flipped learning: A quasi‐experimental study of the perceptions of Kuwaiti pre‐service teachers.. International Education Studies,, 2019
- Introducing flipped classroom to undergraduate students in microbiology.. Internal Journal of Health Research and Medico Legal Practice,, 2020
- Using a flipped classroom approach in medical education: A medical student’s perspective.. Medical Teacher,, 2020. [PubMed]
- Active learning and student‐centered pedagogy improve student attitudes and performance in introductory biology.. CBE—Life Sciences Education,, 2009. [PubMed]
- “Flipping” the introductory clerkship in radiology: Impact on medical student performance and perceptions.. Academic Radiology,, 2015. [PubMed]
- Flipping the quality improvement classroom in residency education.. Academic Medicine,, 2017. [DOI | PubMed]
- Brown P. (2019). A mixed method study: Assessing critical thinking, a mixed method study: Assessing critical thinking, metacognition, and motivation in a flipped classroom metacognition, and motivation in a flipped classroom instructional model [PhD thesis, The University of Southern Mississippi]. file:///C:/Users/user/Desktop/Flipped%20classroom/Brown%20(Thesis).pdf
- A mixed methods study on the effect of flipping the undergraduate medical classroom.. Education Sciences,, 2017. [DOI]
- Flipping the classroom strategies for psychiatric‐mental health course.. Nurse Educator,, 2015. [PubMed]
- Can flipped classroom enhance class engagement and academic performance among undergraduate pediatric nursing students? A mixed‐methods study.. Research and Practice in Technology Enhanced Learning,, 2020. [DOI]
- Student’s perception on initial experience of flipped classroom in pharmacy education: Are we ready?. Innovations in Education and Teaching Internationa,, 2020
- A systematic review of the effectiveness of flipped classrooms in medical education.. Medical Education,, 2017. [PubMed]
- A gross anatomy flipped classroom effects performance, retention, and higher‐level thinking in lower performing students.. Anatomical Sciences Education,, 2018. [DOI | PubMed]
- Effectiveness of flipped classroom combined with team, case, lecture and evidence‐based learning on ophthalmology teaching for eight‐year program students.. BMC Medical Education,, 2019. [PubMed]
- Flipped classroom frameworks improve efficacy in undergraduate practical courses—A quasi‐randomized pilot study in otorhinolaryngology.. BMC Medical Education,, 2018. [PubMed]
- Flipping around the classroom: Accelerated bachelor of science in nursing students’ satisfaction and achievement.. Nurse Education Today,, 2017. [PubMed]
- Development of the learning to learn competence in the university context: Flipped classroom or traditional method? research in learning technology.. Research in Learning Technology,, 2020. [DOI]
- Flipped classroom instructional approach in undergraduate medical education.. Pakistan Journal of Medical Sciences,, 2017. [PubMed]
- Teaching “shock pathophysiology” by flipped classroom.. Pakistan Journal of Medical Sciences,, 2019. [PubMed]
- Novel integration of online and flipped classroom instructional models in public health higher education.. BMC Medical Education,, 2014. [PubMed]
- Flipped versus traditional instruction and achievement in a baccalaureate nursing pharmacology course.. Nurse Education Perspective,, 2015
- Valuation of a gamification and flipped class room program used in teacher training: Perception of learning and outcome.. PLoS ONE,, 2020. [PubMed]
- Flipped classroom improves student learning in health professions education: A meta‐analysis.. BMC Medical Education,, 2018. [DOI | PubMed]
- Hongsawong, N. (2016). Effects of four learning methods on medical students’ learning outcomes in pediatrics. In AMEE. 3II16 (132308).
- A collection of active learning techniques used to maximize student engagement in an advanced physiology course.. Journal of the Human Anatomy and Physiology Society,, 2020
- The flipped classroom in medical education: Engaging students to build competency.. Journal of Medical Education and Curricular Development,, 2015. [DOI]
- Katilya, W. , & Sarah, O. W. (2020). Just‐in‐time teaching and technology to enhance student learning in lab. In Nursing Education Research Conference 2020 (Vol. 40).
- The pharmacology course for preclinical students using team‐based learning.. Korean Journal of Medical Education,, 2020. [PubMed]
- Replacing lectures with small groups: The impact of flipping the residency conference day.. Western Journal of Emergency Medicine,, 2018. [DOI]
- Effects of a blended learning approach on student outcomes in a graduate‐level public health course.. BMC Medical Education,, 2014. [PubMed]
- Impact of flipped classroom design on student performance and perceptions in a pharmacotherapy course.. American Journal of Pharmaceutical Education,, 2016. [PubMed]
- Searching for studies: A guide to information retrieval for Campbell systematic reviews.. Campbell Methods Guides,, 2016. [DOI]
- Investigating the self‐study phase of an inverted biochemistry classroom—Collaborative dyadic learning makes the difference.. BMC Medical Education,, 2019. [DOI | PubMed]
- Creating a contemporary clerkship curriculum: The flipped classroom model in emergency medicine.. International Journal of Emergency Medicine,, 2016. [PubMed]
- Student perceptions of a simulation‐based flipped classroom for the surgery clerkship: A mixed‐methods study.. Surgery,, 2016. [PubMed]
- Effectiveness of a blended learning course and flipped classroom in first year anaesthesia training.. Anaesthesia Critical Care & Pain Medicine,, 2017
- Results of a flipped classroom teaching approach in anesthesiology residents.. Journal of Graduate Medical Education,, 2017. [PubMed]
- Pharmacy student engagement, performance, and perception in a flipped satellite classroom.. American Journal of Pharmaceutical Education,, 2013. [PubMed]
- The flipped classroom: A course redesign to foster learning and engagement in a health professions school.. Academic Medicine,, 2014
- Flipping for success: Evaluating the effectiveness of a novel teaching approach in a graduate level setting.. BMC Medical Education,, 2015. [PubMed]
- An integrative review of flipped classroom teaching models in nursing education.. Journal of Professional Nursing,, 2018. [DOI]
- The use of flipped class room as an active learning approach improves academic performance in social work: A randomized trial in a university.. PLoS ONE,, 2019. [PubMed]
- Enhancing the effectiveness of flipped classroom in health science education: A state‐of‐the‐art review.. BMC Medical Education,, 2022. [DOI | PubMed]
- Implementation of a flipped classroom educational model in a predoctoral dental course.. Journal of Dental Education,, 2015. [PubMed]
- Vodcasts and active‐learning exercises in a “flipped classroom” model of a renal pharmacotherapy module.. American Journal of Pharmaceutical Education,, 2012. [DOI | PubMed]
- Vodcasts and active‐learning exercises in a “flipped classroom” model of a renal pharmacotherapy module.. American Journal of Pharmaceutical Education,, 2012. [PubMed]
- Curriculum design of a flipped classroom to enhance haematology learning.. Journal of Science Education and Technology,, 2016
- Advances in medical education and practice: Student perceptions of the flipped classroom.. Advances in Medical Education and Practice,, 2017. [PubMed]
- Active learning of respiratory physiology improves performance on respiratory physiology examinations.. Advanced Physiology Education,, 2001
- Teaching “shock pathophysiology” by flipped classroom: Views and perspectives.. Journal of Medical Education and Curricular Development,, 2020. [DOI | PubMed]
- Does the flipped classroom improve learning in graduate medical education?. Journal of Graduate Medical Education,, 2017. [PubMed]
- Impact on Twitter of active methodologies PBL, flipped classroom and gamification.. Revista Iberoamericana de Educación a Distancia,, 2019
- A study on students’ perceptions for online Zoom‐app based flipped class sessions on anatomy organised during the lock down period of COVID‐19.. Journal of Clinical and Diagnostic Research,, 2020. [DOI]
- Advances in medical education and practice: Student perceptions of the flipped classroom.. Advances in Medical Education and Practice,, 2017. [DOI | PubMed]
- Strategic considerations for applying the flipped classroom to neurology education.. Annals of Neurology,, 2020. [PubMed]
- Sathapornsathid, A. (2016). Flipped classroom and its effectiveness compared with traditional‐style lecture in stroke rehabilitation medicine course for medical students: Randomized controlled trials. In AMEE. 31114(133617).
- The flipped classroom for an undergraduate nursing course.. Nurse Educator,, 2014. [PubMed]
- Utilizing research findings in medical education: The testing effect within a flipped/inverted biochemistry classroom.. Medical Teacher,, 2019. [DOI | PubMed]
- Using a flipped classroom and the perspective of families to teach medical students about children with disabilities and special education.. Disability and Health Journal,, 2017. [PubMed]
- The flipped classroom benefits of student‐led learning.. Nursing,, 2017
- The flipped classroom model for an undergraduate epidemiology course.. Korean Journal of Medical Education., 2019. [DOI | PubMed]
- Faculty and second‐year medical student perceptions of active learning in an integrated curriculum.. Advance Physiology Education,, 2016. [DOI]
- Flipped classroom model improves graduate student performance in cardiovascular, respiratory, and renal physiology.. Advances in Physiology Education,, 2013. [PubMed]
- Modified conventional teaching: An assessment of clinical biochemistry learning process among medical undergraduate students using the traditional teaching in combination with group discussion.. Cureus,, 2019. [DOI | PubMed]
- Blended learning of radiology improves medical students’ performance, satisfaction, and engagement.. Insights into Imaging,, 2020. [PubMed]
- Perception of MBBS students to “flipped class room” approach in neuroanatomy module.. Anatomy & Cell Biology,, 2015. [PubMed]
- Teaching health assessment symptomatology using a flipped classroom combined with scenario simulation.. Journal of Nursing Education,, 2020. [PubMed]
- Snack cake ‘dissection’: A flipped classroom exercise to engage undergraduates with basic neuroanatomy.. Journal of Undergraduate Neuroscience Education,, 2015. [PubMed]
- Evaluating the flipped classroom: A randomized controlled trial.. Journal of Economic Education,, 2018
- Helps from flipped classroom in learning suturing skill: The medical students’ perspective.. PLoS ONE,, 2018. [PubMed]
- Existing contradictions and suggestions: Flipped classroom in radiology courses of musculoskeletal disease under Chinese medical educational mode from medical imaging student perspective.. BMC Medical Education,, 2020. [PubMed]
- The flipped classroom: a modality for mixed asynchronous and synchronous learning in a residency program.. Western Journal of Emergency Medicine,, 2014. [PubMed]
- Why a teacher centred medical school curriculum May result in a poor educational environment.. Medical Education,, 2013
- Systems for grading the quality of evidence and the strength of recommendations I: Critical appraisal of existing approaches.. BMC Health Services Research,, 2004. [PubMed]
- Baker, J. T. (2000). The “classroom flip”: Using web course management tools to become the guide on the side. In 11th International Conference on College Teaching and Learning.
- Bergmann, J. , Overmyer, J. , & Wilie, B. (2012). The daily riff—Be smarter. About Education. http://www.thedailyriff.com/articles/the-flipped-class-conversation-689.php
- The evidence for ‘flipping out’: A systematic review of the flipped classroom in nursing education.. Nurse Education Today,, 2016. [PubMed]
- Bishop, J. L. , & Verleger, M. A. (2013). The flipped classroom: A survey of the research. In Proceedings of the ASEE Annual Conference.
- Bligh, D. A. (2000). What’s the use of lectures?. Jossey‐Bass.
- Borenstein, M. , Hedges, L. V. , Higgins, J. P. T. , & Rothstein, H. R. (2009). Introduction to meta‐analysis. Meta‐Regression (Chapter 20; pp. 187–203). Chichester, UK: Wiley.
- Perceived usefulness, perceived ease of use, and user acceptance of information technology.. MIS Quarterly,, 1989
- Deeks, J. J. , Higgins, J. P. T. , & Altman, D. G. (Eds). (2020). Chapter 10: Analysing data and undertaking meta‐analyses. In J. P. T. Higgins, J. Thomas, J. Chandler, M. Cumpston, T. Li, M. J. Page, & V. A. Welch (Eds.), Cochrane handbook for systematic reviews of interventions version 6.1 (updated September 2020). Cochrane. www.training.cochrane.org/handbook
- Targeted school‐based interventions for improving reading and mathematics for students with or at risk of academic difficulties in grades K‐6: A systematic review.. Cochrane Database of Systematic Reviews,, 2021. [DOI]
- Ellis, P. D. (2010). Part 1. Effect sizes and the interpretation of results. In The essential guide to effect sizes: Statistical power, meta‐analysis, and the interpretation of research results (pp. 1–4). Cambridge University Press.
- Effective Practice and Organization of Care (EPOC) . (2009). Risk of bias tool. https://epoc.cochrane.org/epoc-author-resources
- EPOC . (2017). Suggested risk of bias criteria for EPOC reviews. Cochrane Effective Practice and Organisation of Care (EPOC). EPOC Resources for review authors. https://epoc.cochrane.org/resources/epoc-resources-review-authors
- Active learning increases student performance in science, engineering, and mathematics.. Proceedings of the National Academy of Sciences of the United States of America,, 2014. [PubMed]
- Upside down and inside out: Flip your classroom to improve student learning.. Learning and Leading With Technology,, 2012
- Meta‐analysis of outcomes comparing flipped classroom and lecture.. American Journal of Pharmaceutical Education,, 2018. [PubMed]
- Increased pre‐class preparation underlies student outcome improvement in the flipped classroom.. Cell Biology Education,, 2015
- Hamdan, N. , McKnight, P. , McKnight, K. , & Arfstorm, K. M. (2013). A review of flipped learning. Flipped Learning Network, George Mason University: Harper and Row Ltd. www.flippedlearning.org/cms/lib07/VA01923112/Centricity/Domain/41/LitReview
- Intraclass correlations for planning group randomized experiments in rural education.. Journal of Research in Rural Education,, 2007
- Robust variance estimation in meta‐regression with dependent effect size estimates.. Research Synthesis Methods,, 2010. [DOI | PubMed]
- Case studies and the flipped classroom.. Journal of College Science Teaching,, 2013
- Flipped classroom improves student learning in health professions education: A meta‐analysis.. BMC Medical Education,, 2018. [DOI | PubMed]
- Higgins, J. P. T. , Savović, J. , Page, M. J. , Elbers, R. G. , & Sterne, J. A. C. (2011). Chapter 8: Assessing risk of bias in a randomized trial. In J. P. T. Higgins , J. Thomas , J. Chandler , M. Cumpston , T. Li , M. J. Page , & V. A. Welch (Eds.), Cochrane handbook for systematic reviews of interventions version 6.1 (updated September 2020). Cochrane. www.training.cochrane.org/handbook
- Higgins, J. P. T. , Eldridge, S. , & Li, T. (2020). Chapter 23: Including variants on randomized trials. In J. P. T. Higgins, J. Thomas, J. Chandler, M. Cumpston, T. Li, M. J. Page, & V. A. Welch (Eds.), Cochrane handbook for systematic reviews of interventions version 6.1 (updated September). Cochrane. www.training.cochrane.org/handbook
- Features and uses of high‐fidelity medical simulations that lead to effective learning: A BEME systematic review.. Medical Teacher,, 2005. [PubMed]
- Johnson, G. B. (2013). Student perceptions of the flipped classroom [Unpublished master’s thesis, University of British Columbia].
- Johnson, L. , Becker, S. A. , Cummins, M. , Estrada, V. , Freeman, A. , & Hall, C. (2016). NMC horizon report. Higher Education Edition. The New Media Consortium.
- Kachka, P. (2012). Understanding the flipped classroom: Part 2. Faculty Focus.
- From sage on the stage to guide on the side.. College Teaching,, 1993
- Kirkpatrick, D. , & Kirkpatrick, J. (2006). Evaluating training programs: The four levels. Berrett‐Koehler.
- Does the flipped classroom improve student learning and satisfaction? A systematic review and meta‐analysis.. AERA Open,, 2019. [DOI]
- Inverting the classroom: A gateway to creating an inclusive learning environment.. The Journal of Economic Education,, 2000. [DOI]
- Optimally estimating the sample mean from the sample size, median, mid‐range, and/or mid‐quartile range.. Statistical Methods in Medical Research,, 2018. [DOI | PubMed]
- Developing technology‐enhanced active learning for medical education: Challenges, solutions, and future directions.. Journal of the American Osteopathic Association,, 2015. [PubMed]
- Twelve tips for “flipping” the classroom.. Medical Teacher,, 2015. [PubMed]
- From ‘sage on the stage’ to ‘guide on the side’: A good start.. International Journal for the Scholarship of Teaching and Learning,, 2014. [DOI]
- Musallam, R. (2011). Should you flip your classroom. https://www.edutopia.org/blog/flipped-classroom-ramsey-musallam
- The flipped classroom—From theory to practice in health professional education.. American Journal of Pharmacy Education,, 2017
- Medical education reimagined: A call to action.. Academic Medicine,, 2013. [PubMed]
- The Cochrane Collaboration Review Manager Web (RevManWeb) . Version 1.22.0 [Computer program]. (2019). The Cochrane Collaboration. revman.cochrane.org
- Rohwer, A. , Motaze, N. V. , Rehfuess, E. , & Young, T. (2017). E‐learning of evidence‐based health care (EBHC) to increase EBHC competencies in healthcare professionals: A systematic review. The Campbell Collaboration, 4. 10.4073/csr.2017.4
- Schünemann, H. J. , Higgins, J. P. T. , Vist, G. E. , Glasziou, P. , Akl, E. A. , Skoetz, N. , & Guyatt, G. H. (2020). Chapter 14: Completing ‘Summary of findings’ tables and grading the certainty of the evidence. In J. P. T. Higgins , J. Thomas , J. Chandler , M. Cumpston , T. Li , M. J. Page , & V. A. Welch (Eds.), Cochrane handbook for systematic reviews of interventions version 6.1 (updated September 2020). Cochrane. www.training.cochrane.org/handbook
- Schünemann, H. J. , Vist, G. E. , Higgins, J. P. , Santesso, N. , Deeks, J. J. , Glasziou, P. , & Ekl, E. A. (2022). Chapter 15: Interpreting results and drawing conclusions. In J. P. Higgins , J. Thomas , J. Chandler , M. S. Cumpston , T. Li , & M. J. Page , et al. (Eds.), Cochrane handbook for systematic reviews of interventions version 6.3 (updated February 2022). Cochrane. training.cochrane.org/handbook.
- Staker, H. , & Horn, M. B. (2012). Classifying K‐12 blended learning. Innosight Institute.
- Tetreault, P. L. (2013). The flipped classroom: Cultivating student engagement. A project submitted in partial fulfillment of the requirements for the degree of master education in the Department of Curriculum and Instruction. University of Victoria.
- Flipped‐class pedagogy enhances student metacognition and collaborative‐learning strategies in higher education but effect does not persist.. CBE life sciences education,, 2015. [DOI]
- User acceptance of information technology: Toward a unified view.. MIS Quarterly,, 2003
- Estimating the sample mean and standard deviation from the sample size, median, range and/or interquartile range.. BMC Medical Research Methodology,, 2014. [DOI | PubMed]
- The effects of flipped classrooms to improve learning outcomes in undergraduate health professional education: A systematic review.. Campbell Systematic Reviews. Cochrane Database of Systematic Reviews,, 2019. [DOI]
