KNSTRN, a Poor Prognostic Biomarker, Affects the Tumor Immune Microenvironment and Immunotherapy Outcomes in Pan-Cancer
Abstract
Kinetochore-localized astrin- (SPAG5-) binding protein (KNSTRN) is mainly involved in mitosis. Somatic mutations in KNSTRN are known to lead to the occurrence and development of certain tumors. However, the role of KNSTRN in the tumor immune microenvironment (TIME) as a tumor prognostic biomarker and potential therapeutic target has not been clarified. Accordingly, in this study, we aimed to investigate the role of KNSTRN in the TIME. mRNA expression, cancer patient prognosis, and correlations between KNSTRN expression and immune component infiltration were analyzed using Genotype-Tissue Expression, The Cancer Genome Atlas, Cancer Cell Line Encyclopedia, Human Protein Atlas, ImmuCellAI, TIMER2.0, and KM-Plotter. The Genomics of Drug Sensitivity in Cancer database was used to evaluate the relationship between KNSTRN expression and the half maximal inhibitory concentration (IC50) of several anticancer drugs, and gene set variation analysis was performed. Data were visualized using R version 4.1.1. KNSTRN expression was upregulated in the majority of cancers and was associated with a worse prognosis. Additionally, KNSTRN expression was highly correlated with the infiltration of multiple immune components in the TIME and was related to a poor prognosis in tumor patients receiving immunotherapy. KNSTRN expression was also positively correlated with the IC50 of various anticancer drugs. In conclusion, KNSTRN may be a significant prognostic biomarker and promising target for oncotherapy in numerous cancers.
Affiliations: Department of Infectious Diseases, Nanfang Hospital, Southern Medical University, Guangzhou, Guangdong, China; Department of Radiation Oncology, Nanfang Hospital, Southern Medical University, Guangzhou, Guangdong, China
License: Copyright © 2023 Wanli Zhang et al. CC BY 4.0 This is an open access article distributed under the Creative Commons Attribution License, which permits unrestricted use, distribution, and reproduction in any medium, provided the original work is properly cited.
Article links: DOI: 10.1155/2023/6729717 | PubMed: 36845017 | PMC: PMC9946745
Relevance: Moderate: mentioned 3+ times in text
Full text: PDF (10.5 MB)
1. Introduction
Malignant tumors, which pose a serious threat to human health, require more effective treatments. New targets must be identified, and novel drugs need to be developed. Because the tumor immune microenvironment (TIME) affects the occurrence and development of cancer in intricate ways, it has attracted increasing attention from the medical community. The TIME features a wide variety of immune cells and contains noncellular components such as cell-surface molecules, immune checkpoints, and soluble immune factors [ref. 1]. During tumorigenesis, tumor cells first achieve immune evasion. Next, the process of tumor expansion begins, which directly or indirectly affects the secretion of cytokines and the infiltration and function of immune cells in the TIME. Finally, the tumor grows and metastasizes [ref. 1]. The classifications and numbers of immune cells in the TIME vary according to the type of tumor, as well as among different patients with the same tumor type. Among the immune cells in the TIME, natural killer (NK) cells, cytotoxic T lymphocytes, and antigen-presenting cells act as tumor suppressor cells, whereas regulatory T cells (Tregs), tumor-associated macrophages, and myeloid-derived suppressor cells promote immunosuppression [ref. 2]. In order to improve cancer treatments, the discovery and verification of new biomarkers in the TIME are necessary.
Kinetochore-localized astrin- (SPAG5-) binding protein (KNSTRN) encodes a centromere-associated protein involved in chromosome division [ref. 3]. KNSTRN is mutated under ultraviolet irradiation and has attracted attention as an oncogene in cutaneous squamous cell carcinoma (SCC), the second most common skin cancer. KNSTRN has also been reported to play a role in melanoma. Together with TP53 and CDKN2A, KNSTRN is one of the three most commonly mutated genes [ref. 4]. KNSTRN is also frequently somatically mutated in basal cell carcinoma in addition to cutaneous SCC and melanoma, although this mutation usually occurs in advanced stages of the tumor [ref. 5]. Somatic mutations in KNSTRN not only cause the occurrence of malignant tumors but also promote tumor development. KNSTRN promotes the movement of AKT to PIP3 and stimulates AKT phosphorylation, resulting in metastasis and gemcitabine resistance in bladder cancer [ref. 6]. Studies on KNSTRN have mainly focused on somatic mutations, and research on the involvement of KNSTRN in tumor immunity remains scarce, even though KNSTRN has been shown to have a significant influence on immune cells in the tumor microenvironment of lung adenocarcinoma (LUAD) [ref. 7]. Additionally, KNSTRN has been mainly researched in individual tumors; pan-cancer studies on KNSTRN are lacking.
Therefore, to better understand the expression of KNSTRN, as well as the associations between KNSTRN expression and patient prognosis, immune score, tumor-associated immune cells, immune-related components, and the half maximal inhibitory concentration (IC50) of anticancer drugs, we conducted a series of bioinformatics analyses. We aimed to determine whether KNSTRN may serve as a potential pan-cancer prognostic biomarker and to explore the influence of KNSTRN on the TIME and anticancer therapy outcomes.
2. Materials and Methods
2.1. Data Collection
RNA expression and clinical data from the Genotype-Tissue Expression (GTEx) database and The Cancer Genome Atlas (TCGA) were obtained from the UCSC Xena database (https://xenabrowser.net/datapages/). The expression of KNSTRN in tumor cell lines was evaluated using the Cancer Cell Line Encyclopedia (CCLE) (https://sites.broadinstitute.org/ccle). The tissue immunohistochemical (IHC) and immunofluorescence (IF) images of various tumor cells were obtained from the human Protein Atlas (HPA) database (https://www.proteinatlas.org/).
2.2. Prognostic Analysis
Univariate Cox regression analyses were performed to estimate the significance of KNSTRN expression in predicting pan-cancer overall survival (OS), disease-specific survival (DSS), disease-free interval (DFI), and progression-free interval (PFI). Kaplan-Meier analysis was performed to evaluate the OS, DSS, PFI, and DFI of patients from TCGA cohort. OS and progression-free survival (PFS) data of cancer patients receiving immunotherapy were obtained from the Gene Expression Omnibus database.
2.3. Immune Cell Infiltration
We obtained and evaluated the immune cell infiltration score of TCGA cohort from the ImmuCellAI database (http://bioinfo.life.hust.edu.cn/web/ImmuCellAI/), TIMER2 database (http://timer.cistrome.org/), and published studies [ref. 8, ref. 9]. Immune score is the level of all immune cells in the tumor microenvironment calculated using the R package “estimate.” Similarly, infiltration score is the infiltration level of the total immune cells in the tumor microenvironment calculated by ImmuCellAI database (http://bioinfo.life.hust.edu.cn/ImmuCellAI#!/). All cancer patients were divided into two groups (high or low KNSTRN expression) based on the median KNSTRN expression level to determine the influence of KNSTRN expression on the extent of immune cell infiltration.
2.4. Correlation Analysis and Gene Set Variation Analysis (GVSA)
Correlation analysis of the expression of KNSTRN and all related genes was performed using TCGA pan-cancer data, and the Pearson correlation coefficient was calculated. GSVA was conducted using the R package “GSVA” to calculate the pathway score of each sample, based on MSigDB v7.1 (https://www.gsea-msigdb.org/gsea/msigdb/index.jsp) with the following parameters: nPerm = 1000, minGSSize = 10, maxGSSize = 1000, and p value cutoff = 0.05.
2.5. Drug Response Analysis
The IC50 values of 192 drugs and gene expression profiles of 809 cell lines were obtained from the Genomics of Drug Sensitivity in Cancer database (GDSC) (https://www.cancerrxgene.org/). Correlation analysis was conducted to identify associations between KNSTRN expression and IC50 value.
2.6. Statistical Analyses
Data are presented as the mean ± standard error. Differences between groups were analyzed using Student’s t-test or analysis of variance. Statistical analyses were performed using R version 4.1.1. Results were considered statistically significant at p < 0.05 (two-tailed).
3. Results
3.1. Expression of KNSTRN in Pan-Cancer Data
To establish KNSTRN expression profiles from pan-cancer data, expression analysis of KNSTRN was conducted in 33 types of tumors and 31 types of paired normal tissues, using data from TCGA database and the GTEx database. KNSTRN expression in tumor tissues was higher than that in normal tissues in the majority of tumors, including the following 27 tumor types: adrenocortical carcinoma (ACC), bladder urothelial carcinoma (BLCA), breast invasive carcinoma (BRCA), cervical squamous cell carcinoma and endocervical adenocarcinoma (CESC), cholangiocarcinoma (CHOL), colon adenocarcinoma (COAD), lymphoid neoplasm diffuse large B-cell lymphoma (DLBC), esophageal carcinoma (ESCA), glioblastoma multiforme (GBM), head and neck squamous cell carcinoma (HNSC), kidney chromophobe (KICH), kidney renal clear cell carcinoma (KIRC), kidney renal papillary cell carcinoma (KIRP), brain lower grade glioma (LGG), liver hepatocellular carcinoma (LIHC), lung adenocarcinoma (LUAD), lung squamous cell carcinoma (LUSC), ovarian serous cystadenocarcinoma (OV), pancreatic adenocarcinoma (PAAD), prostate adenocarcinoma (PRAD), rectum adenocarcinoma (READ), sarcoma (SARC), skin cutaneous melanoma (SKCM), stomach adenocarcinoma (STAD), thymoma (THYM), uterine corpus endometrial carcinoma (UCEC), and uterine carcinosarcoma (UCS).
In contrast, there were three tumors—acute myeloid leukemia (LAML), testicular germ cell tumors (TGCT), and thyroid carcinoma (THCA) —in which KNSTRN was downregulated in tumor tissues (Figure 1(a)). Expression analysis of KNSTRN in normal tissues indicated that KNSTRN expression was the highest in the thyroid and the lowest in the pancreas (Figure 1(b)). Among cancer tissues, KNSTRN expression was the highest in TGCT and the lowest in KIRP (Figure 1(c)). Furthermore, among cancer cell lines, the expression of KNSTRN was highest in CESC cells and lowest in CLL cells (Figure 1(d)).

To further characterize the expression of KNSTRN, we analyzed KNSTRN expression in tumors and paired adjacent tissues. In 27 types of tumors, KNSTRN expression in tumor tissues was upregulated compared to that in paired adjacent tissues (Figure S1A-L). Next, we assessed the expression of KNSTRN in four different TNM stages. KNSTRN was highly expressed in the following five types of tumors at advanced stages (stage III/IV): ACC, KIRC, KIRP, LIHC, and LUAD (Figures 2(a)–2(e)). In addition, we used the HPA database to assess IHC data and found that breast cancer (breast invasive ductal carcinoma), cervical cancer (cervical squamous cell carcinoma), colorectal cancer (CRC) (colorectal squamous cell carcinoma), testis cancer (seminoma), lung cancer (lung adenocarcinoma), lymphoma (non-Hodgkin lymphoma), ovarian cancer (ovarian endometrioid carcinoma), pancreatic cancer (pancreatic adenocarcinoma), prostate cancer (prostate adenocarcinoma), bladder cancer (urothelial cancer), stomach cancer (gastric adenocarcinoma), and liver cancer (hepatocellular carcinoma) tissues exhibited higher KNSTRN expression than the corresponding normal tissues (Figures 3(a)–3(l)). We then used immunofluorescence to observe KNSTRN expression at the cellular level in three different tumor cells: acute erythroid leukemia cell (HEL), osteosarcoma cell (U-2 OS), and astrocytoma cell (U-251 MG) (Figures 3(m)–3(o)).


3.2. KNSTRN Expression Influences the Prognosis of Cancer Patients
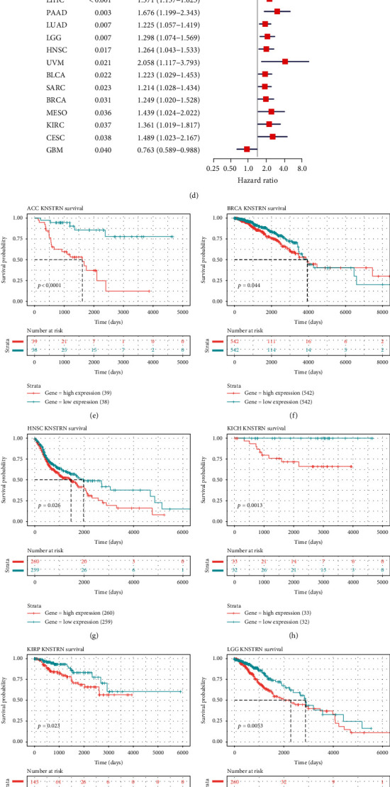
To fully understand the effect of KNSTRN expression on cancer prognosis, we analyzed the survival outcomes of patients with cancer in the TCGA cohort. The results of univariate Cox regression analysis indicated that KNSTRN was a risk factor for OS in LGG, KIRP, ACC, KICH, LUAD, MESO, PAAD, LIHC, PCPG, KIRC, HNSC, BRCA, and BLCA. In contrast, KNSTRN was a protective factor in THYM (Figure 4(a)). KNSTRN was also a risk factor for DFI in KIRP, LIHC, PAAD, BRCA, SARC, CESC, and ACC (Figure 4(b)); for DSS in KIRP, LGG, KICH, ACC, LUAD, MESO, PAAD, KIRC, LIHC, PCPG, HNSC, PRAD, and BRCA (Figure 4(c)); and for PFI in ACC, KIRP, KICH, LIHC, PAAD, LUAD, LGG, HNSC, UVM, BLCA, SARC, BRCA, MESO, KIRC, CESC, and GBM (Figure 4(d)).

Furthermore, Kaplan-Meier analysis of the effect of KNSTRN on OS, DSS, PFI, and DFI indicated similar results (Figures 4(e)–4(o), Figure S2A-Y). Overall, high expression of KNSTRN in most tumors led to poor prognosis, confirming that KNSTRN is a tumor risk factor. Its specific role in tumors should be examined to facilitate follow-up intervention.
3.3. KNSTRN Expression Is Closely Associated with the TIME
Immune cells and molecules are crucial components of the immune microenvironment and are closely related to its state. The immune cell infiltration score reflects the activity of the TIME. We first examined the immune score (Figure 5(a)) and infiltration score (Figures 5(b)–5(t)) in pan-cancer data; KNSTRN expression was correlated with tumor immune suppression. Then, we conducted a correlation analysis to evaluate the relationship between KNSTRN expression and immune cell infiltration, using the ImmuCellAI database, TIMER database, and published data. According to the results (Figures 6(a) and 6(b)), KNSTRN expression was positively associated with the infiltration of neutrophils, Tregs, macrophages, and NK resting cells, but negatively associated with that of NK activated cells, CD8+ T lymphocytes, and CD4+ T lymphocytes in multiple tumors. These findings were corroborated by published research (Figures 6(c)–6(p), Figure S3A-S).


In addition to immune cells, immune molecules have a significant influence on the TIME. We analyzed the correlation between KNSTRN expression and that of chemokine-related genes (Figure 7(a)), chemokine receptor-related genes (Figure 7(b)), and TGF-β pathway-related genes (Figure 7(c)), which possess immunosuppressive functions. We also evaluated the expression of major histocompatibility complex-related (MHC) genes (Figure 7(d)), which are associated with immunobiological processes. All of the above gene types were strongly associated with KNSTRN in pan-cancer data. Moreover, we identified a significant correlation between KNSTRN expression and that of immunosuppressive and immune-activating genes (Figures 8(a) and 8(b)). Since KNSTRN was significantly associated with immune cells and molecules in the TIME, we further evaluated the relationship between KNSTRN and the prognosis of cancer patients receiving immunotherapy. Poor prognosis was associated with high expression levels of KNSTRN (Figures 8(c)–8(e)).


3.4. KNSTRN Causes Insensitivity to a Variety of Cancer Drugs
In addition to assessing the effect of KNSTRN on tumor immunotherapy outcomes, we further analyzed the relationship between KNSTRN expression and the IC50 of 192 antitumor drugs. KNSTRN expression upregulation was related to a higher IC50 in multiple antitumor drugs, such as Trametinib, Selumetinib, SCH772984, PD0325901, ERK_6604, VX-11e, Ulixertinib, Nutlin-3a (-), ERK_2440, OTX015, PRT062607, WZ4003, AZD5153, Oxaliplatin, SB216763, AZ6102, Doramapimod, and I-BET-762 (Figures 9(a)–9(r)). The reason for this decreased sensitivity caused by KNSTRN overexpression has not been clarified. GSVA (Figure 9(s)) revealed that the unfolded protein response (ER stress) was significantly positively correlated with KNSTRN expression, and ER stress has been reported by several studies to be an essential contributor to anti-tumor drug resistance. Therefore, ER stress may be one of the potential mechanisms through which KNSTRN contributes to anticancer drug resistance.

4. Discussion
To address uncontrolled tumor growth, metastasis [ref. 10, ref. 11], and resistance to a variety of anticancer drugs, more effective tumor targets are needed in order to develop novel drugs and optimized treatment strategies [ref. 12]. Immunotherapy has played an increasingly crucial role in the treatment of solid malignant tumors. Nonetheless, some immunotherapy recipients experience little benefit because of the formation and persistence of an immunosuppressive microenvironment [ref. 13]. The structure and function of the TIME are altered by a decrease in the levels of immune-activating T cells, NK cells, and other effector immune cells and/or an increase in the levels of Tregs, immunosuppressive T cells, M2 macrophages, monocytes, and tumor-associated neutrophils. In addition, elevated expression of genes encoding immunosuppressive molecules promotes the formation of an immunosuppressive tumor microenvironment. For example, PD-L1 blockade, the most common immune checkpoint inhibitor, efficiently inhibits the growth of various malignant tumors. However, PD-L1 blockade has little therapeutic effect on the growth of recurrent glioblastoma, owing to the TIME, which features chemokines, chemokine receptors, immunosuppressive cytokines, suppressive immune cells, and extracellular vesicles [ref. 14]. Furthermore, despite the use of PD-1/PD-L1 blockade, which is the standard first-line treatment for non-small cell lung cancer, numerous patients with advanced cancer develop drug resistance and experience disease progression because of the immunosuppressive microenvironment [ref. 15]. However, in the local environment of hot tumors, the abundance of antitumor reactive cells may be positively correlated with the abundance of immune suppressive cells because of a feedback mechanism; antitumor inflammation usually promotes the recruitment or differentiation of cells dedicated to immunosuppression. This phenomenon indicates that the processes of immune activation and immunosuppression occur simultaneously [ref. 16]. This feedback mechanism also results in a positive correlation between the expression of immune-stimulatory genes and immune-inhibitory genes. Therefore, as our previous work has shown [ref. 17], molecules that have a significant impact on the TIME are likely to be positively associated with both immunosuppressive and immune-activating cells and genes. In general, manipulation of the TIME can serve as a useful strategy for combating resistance to immune checkpoint inhibitors.
In addition, despite the profound significance of immunotherapy, targeted therapy and chemotherapy remain important strategies for radical treatment, palliative care, and postoperative adjuvant therapy in several tumors, such as hematological malignancies, breast cancer, CRC, and lung cancer. In breast cancer, AKT-targeted therapy alleviates resistance to tumor immunotherapy and chemotherapy and controls tumor progression and immunosuppression [ref. 6]. In CRC, a combination of targeted therapy and chemotherapy can be used to induce tumor cell death. Panitumumab and the chemotherapeutic drug oxaliplatin are clinically effective against CRC [ref. 18]. Therefore, it is essential to investigate therapeutic sensitivity to targeted therapy and chemotherapeutic agents.
As a molecule mainly involved in cell cycle checkpoints, DNA replication, damage repair, and other biological processes [ref. 19–ref. 21], KNSTRN has rarely been studied in relation to tumor immunity. Only an analysis of lung adenocarcinoma identified a positive correlation between KNSTRN expression and the levels of Th2 and CD56dim NK cells [ref. 7], which highlights the potential role of KNSTRN in tumor immunity. To address the gap in the literature regarding the role of KNSTRN in tumor immunity, we conducted a series of bioinformatics analyses. We first analyzed the RNA expression of KNSTRN in various cancer tissues and tumor cell lines. We also evaluated KNSTRN expression in cancer tissues, paired normal tissues, and tissues classified according to TNM stage. To better understand the expression of KNSTRN in tissues, we used the IHC data to assess the differential expression of KNSTRN between cancer tissues and paired normal tissues. We also analyzed immunofluorescence data to evaluate KNSTRN expression of distinct tumor cells at the cellular level.
The expression analysis results showed that the expression of KNSTRN in most tumor tissues was higher than that in normal tissues. High expression of KNSTRN was also associated with the advanced stages of multiple tumors. This is consistent with previous reports that KNSTRN is highly expressed in bladder cancer [ref. 7]. In various tumors, high expression of KNSTRN is usually associated with a worse prognosis. In esophageal cancer, KNSTRN expression is positively correlated with that of GSK-3β, which is associated with a poor prognosis [ref. 22].
To further explore the role of KNSTRN in the TIME, we analyzed the link between KNSTRN expression and levels of TIME-related components. The significant negative correlation between KNSTRN expression and immune score and infiltration score in multiple cancers indicated that KNSTRN has a negative effect on immune cell infiltration and immune activity in the TIME. Therefore, we further analyzed the correlation between KNSTRN expression and immune cell infiltration. KNSTRN expression was positively correlated with the infiltration of immunosuppressive cells, such as Tregs, neutrophils, and monocytes, and negatively correlated with the infiltration of immune-activating cells, such as NK cells and CD8 + effector T cells. Combined with data indicating a close association between KNSTRN and immune-related protein-encoding genes, these findings demonstrated the importance of KNSTRN in the TIME.
In addition, high KNSTRN expression was associated with a poor prognosis in patients receiving immunotherapy for certain tumors. KNSTRN was positively correlated with the IC50 of various anticancer drugs, suggesting that the overexpression of KNSTRN may promote resistance to anticancer drugs. To determine the mechanism by which KNSTRN induces drug insensitivity, we performed GSVA. The unfolded protein response, as one of several prominent enriched pathways, contributes to drug resistance. When addressing the clinical challenges of multidrug resistance and metastasis in breast cancer, some researchers have found that continuous ER stress and chemotherapy synergistically induce immunogenic cell death, which results in tumor suppression [ref. 23]. ER stress induces gastric cancer resistance to trastuzumab through the upregulation of the noncoding RNA miR-301a-3p [ref. 24].
In conclusion, high KNSTRN expression was identified in a variety of tumors. KNSTRN expression was closely associated with the TIME and with a poor prognosis in patients with tumors. KNSTRN may serve as a critical prognostic biomarker and potential therapeutic target that may affect sensitivity to immunotherapy and other anticancer treatments.
5. Conclusions
KNSTRN was highly expressed in various cancers. High KNSTRN expression was associated with a poor prognosis. KNSTRN affected the infiltration of multiple types of immune cells in the TIME and was closely associated with several immune-related genes in pan-cancer data. High expression of KNSTRN was associated with a poor prognosis in tumor patients receiving immunotherapy and was closely related to decreased sensitivity to other anticancer drugs. In summary, KNSTRN may serve as a prognostic biomarker and potential therapeutic target.
References
- P. R. Pandey, K. H. Young, D. Kumar, N. Jain. RNA-mediated immunotherapy regulating tumor immune microenvironment: next wave of cancer therapeutics. Molecular Cancer, 2022. [DOI | PubMed]
- I. Melero, A. Rouzaut, G. T. Motz, G. Coukos. T-cell and NK-cell infiltration into solid tumors: a key limiting factor for efficacious cancer immunotherapy. Cancer Discovery, 2014. [DOI | PubMed]
- L. Fang, A. Seki, G. Fang. SKAP associates with kinetochores and promotes the metaphase-to-anaphase transition. Cell Cycle, 2009. [DOI | PubMed]
- KNSTRN deemed an oncogene. Cancer Discovery, 2014. [DOI]
- P. D. Jaju, C. B. Nguyen, A. M. Mah. Mutations in the kinetochore gene KNSTRN in basal cell carcinoma. The Journal of Investigative Dermatology, 2015. [DOI | PubMed]
- Y. Xiong, L. Ju, L. Yuan. KNSTRN promotes tumorigenesis and gemcitabine resistance by activating AKT in bladder cancer. Oncogene, 2021. [DOI | PubMed]
- P. Deng, R. Zhou, J. Zhang, L. Cao. Increased expression of KNSTRN in lung adenocarcinoma predicts poor prognosis: a bioinformatics analysis based on TCGA data. Journal of Cancer, 2021. [DOI | PubMed]
- V. Thorsson, D. L. Gibbs, S. D. Brown. The immune landscape of cancer. Immunity, 2019. [DOI | PubMed]
- V. Thorsson, D. L. Gibbs, S. D. Brown. The immune landscape of cancer. Immunity, 2018. [DOI | PubMed]
- A. Bellahcène, M. J. Nokin, V. Castronovo, C. Schalkwijk. Methylglyoxal-derived stress: an emerging biological factor involved in the onset and progression of cancer. Seminars in Cancer Biology, 2018. [DOI | PubMed]
- M. E. Dolega, C. Allier, S. V. Kesavan. Label-free analysis of prostate acini-like 3D structures by lensfree imaging. Biosensors & Bioelectronics, 2013. [DOI | PubMed]
- C. W. Yun, H. J. Kim, J. H. Lim, S. H. Lee. Heat shock proteins: agents of cancer development and therapeutic targets in anti-cancer therapy. Cell, 2019. [DOI]
- J. Li, M. Zhao, M. Sun. Multifunctional nanoparticles boost cancer immunotherapy based on modulating the immunosuppressive tumor microenvironment. ACS Applied Materials & Interfaces, 2020. [DOI | PubMed]
- T. Miyazaki, E. Ishikawa, N. Sugii, M. Matsuda. Therapeutic strategies for overcoming immunotherapy resistance mediated by immunosuppressive factors of the glioblastoma microenvironment. Cancers, 2020. [DOI | PubMed]
- S. Peters, L. Paz-Ares, R. S. Herbst, M. Reck. Addressing CPI resistance in NSCLC: targeting TAM receptors to modulate the tumor microenvironment and future prospects. Journal for Immunotherapy of Cancer, 2022. [DOI | PubMed]
- Q. Jia, W. Wu, Y. Wang. Local mutational diversity drives intratumoral immune heterogeneity in non- small cell lung cancer. Nature Communications, 2018. [DOI | PubMed]
- C. Liu, W. Zhang, X. Zhou, L. Liu. IMPDH1, a prognostic biomarker and immunotherapy target that correlates with tumor immune microenvironment in pan-cancer and hepatocellular carcinoma. Frontiers in Immunology, 2022. [DOI | PubMed]
- M. H. Tsai, C. H. Pan, C. L. Peng, M. J. Shieh. Panitumumab-conjugated Pt-drug nanomedicine for enhanced efficacy of combination targeted chemotherapy against colorectal cancer. Advanced Healthcare Materials, 2017. [DOI | PubMed]
- X. Wang, X. Zhuang, D. Cao. Mitotic regulator SKAP forms a link between kinetochore core complex KMN and dynamic spindle microtubules. Journal of Biological Chemistry, 2012. [DOI | PubMed]
- Y. Huang, W. Wang, P. Yao. CENP-E kinesin interacts with SKAP protein to orchestrate accurate chromosome segregation in mitosis ∗. The Journal of Biological Chemistry, 2012. [DOI | PubMed]
- J. H. Lee, M. S. Kim, N. J. Yoo, S. H. Lee. Absence of KNSTRN mutation, a cutaneous squamous carcinoma-specific mutation, in other solid tumors and leukemias. Pathology Oncology Research, 2016. [DOI | PubMed]
- B. Qin, Z. Zhu, F. Yin. Phosphorylation of small kinetochore-associated protein induced by GSK3β promotes cell migration and invasion in esophageal cancer. Cell Cycle, 2022. [DOI | PubMed]
- W. Jiang, L. Chen, X. Guo. Combating multidrug resistance and metastasis of breast cancer by endoplasmic reticulum stress and cell-nucleus penetration enhanced immunochemotherapy. Theranostics, 2022. [DOI | PubMed]
- J. Guo, X. Zhong, Q. Tan. miR-301a-3p induced by endoplasmic reticulum stress mediates the occurrence and transmission of trastuzumab resistance in HER2-positive gastric cancer. Cell Death & Disease, 2021. [DOI | PubMed]
