Comprehensive Analysis of RELL2 as a Potential Biomarker Associated with Tumor Immune Infiltrating Cells in a Pan-Cancer Analysis
Abstract
Background:
Receptor expressed in lymphoid tissues-like 2 (RELL2), which is a member of RELT family, is closely associated with the plasma membrane and acts as a modulator for RELT signaling. Overexpression of RELL2 induces the activation of MAPK14/p38 cascade and apoptosis. However, whether RELL2 contributes to cancers remains unclear. Here, we examined its role in cancer patient prognosis and various tumors.
Methods:
We used several bioinformatics methods, specifically gene set enrichment analysis (GSEA), ScanNeo, and ESTIMATE, to analyze the CCLE dataset, GTEx dataset, and TCGA dataset. We investigated the possible association of RELL2 with the microsatellite instability (MSI) of various tumors, tumor mutational burden (TMB), immune checkpoint, immune neoantigens, immune microenvironment, and patient prognosis.
Result:
RELL2 is highly expressed in cancer compared with normal tissues. RELL2 expression is linked with worse progression-free interval and overall survival in numerous cancers. In most cancers, high RELL2 expression was related to a poor prognosis. RELL2 expression was significantly associated with the tumor microenvironment, MSI, and TMB. RELL2 expression is strongly associated with phenotypes that are of major clinical significance, particularly those associated with immune neoantigens and the expression profiles of immune checkpoint genes in pan-cancer. RELL2 expression strongly linked with the expressions of methyltransferases and DNA repair genes. It also significantly correlated with multiple signaling pathways through gene set enrichment analysis.
Conclusion:
RELL2 may be a prognostic biomarker in pan-cancer and may have an important function in tumorigenesis and progression.
Affiliations: Department of Cardiothoracic Surgery, People’s Hospital of Kizilsu Kirgiz Autonomous Prefecture, Kizilsu Kirgiz, 845350 Xinjiang, China; Department of Clinical Biobank & Institute of Oncology, Affiliated Hospital of Nantong University, Nantong, 226001 Jiangsu, China; Translational Medicine Center, People’s Hospital of Kizilsu Kirgiz Autonomous Prefecture, Kizilsu Kirgiz, 845350 Xinjiang, China; Department of Oncology, Jiangsu Cancer Hospital & Jiangsu Institute of Cancer Research & The Affiliated Cancer Hospital of Nanjing Medical University, Nanjing 210000, China; The Comprehensive Cancer Centre of Nanjing Drum Tower Hospital, The Affiliated Hospital of Nanjing University Medical School & Clinical Cancer Institute of Nanjing University, 210008, China
License: Copyright © 2022 Kadeerjiang Musha et al. CC BY 4.0 This is an open access article distributed under the Creative Commons Attribution License, which permits unrestricted use, distribution, and reproduction in any medium, provided the original work is properly cited.
Article links: DOI: 10.1155/2022/5009512 | PubMed: 35634441 | PMC: PMC9132657
Relevance: Moderate: mentioned 3+ times in text
Full text: PDF (5.1 MB)
1. Introduction
Receptor expressed in lymphoid tissues-like 2 (RELL2), a homologue of RELT, has been confirmed as tumor necrosis factor receptor (TNFR). Overexpression of RELL2 leads to cell death in human epithelial cells by activating an apoptotic pathway [ref. 1, ref. 2]. Moreover, RELL2 suppresses the metastatic ability of MDA-MB-231 and 4T1 cells and is a target of miR-18a [ref. 3]. RELL2 expression has been detected in breast, brain, placenta, thymus, spleen, and testis cancer. Several reports demonstrated that RELL2 exhibits antitumor activity; for example, RELL2 reduces breast cancer cell invasion and migration and inhibits the tumorigenesis of esophageal cancer cells [ref. 3, ref. 4].
Recent reports confirmed that tumor necrosis factor activates innate immunity and mediates the transition to adaptive immunity [ref. 5], making mitochondria more easily to be collapsed by mitochondrial membrane potential [ref. 6] and inducing an inflammatory cascade [ref. 7]. TNFR is involved in inducing apoptosis [ref. 8]. Apoptosis can be used in disorders involving in overproliferation so that it can control cell proliferation and keep cell numbers at a constant number [ref. 9]. Apoptosis is initiated by specific receptors of the tumor necrosis factor superfamily [ref. 9]. To induce tumor cell apoptosis without affecting noncancerous cells, an important goal for cancer therapeutics, tumor necrosis factor–related apoptosis-inducing ligand (TRAIL) has been explored [ref. 10, ref. 11].
RELL2 plays a crucial role in the tumor immune system and induces apoptosis. Nevertheless, its role in activating apoptosis has yet to be evaluated in the context of tumor immunity and metabolism. Pan-cancer analysis has generated important findings. This study unveils the mechanism underlying RELL2 in pan-cancer according to the data obtained from various datasets.
In recent years, the application of immunotherapy as a modern cancer therapy has been increasingly expanded in clinical applications [ref. 12, ref. 13]. Anticancer immunotherapy encounters its own opportunity, and several reports identified biomarkers of immune checkpoint inhibitors such as checkpoint-ligand expression, DNA repair deficiency, and mutational burden [ref. 14]. Immunotherapy has rapidly emerged as a cornerstone in the treatment methods of many cancers, but the response to immunotherapy is not very optimistic and only some patients obtain a durable response to immunotherapy [ref. 15, ref. 16]. Thus, better understanding of mechanisms of immunotherapy towards cancer is necessary [ref. 17].
In this study, we performed an exhaustive pan-cancer analysis to examine the possible role of RELL2 in cancers and the associations of its expression with prognosis. Our results demonstrated a link between RELL2 expression and immune neoantigens, immune checkpoint genes (ICGs), microsatellite instability (MSI), tumor mutation burden (TMB), and the immune microenvironment. The associations between RELL2 expression and four methyltransferases (DNMT3B, DNMT3A, DNMT2, and DNMT1) were assessed.
2. Materials and Methods
2.1. Data Collection
We used the Genotype-Tissue Expression (GTEx) (https://gtexportal.org/) and The Cancer Genome Atlas (TCGA) (https://portal.gdc.cancer.gov/) databases to obtain the gene expression profiles and clinical data. We also used The Cancer Cell Line Encyclopedia (CCLE) database (https://portals.broadinstitute.org/) to download 21 types of tumor cell lines. From TCGA database, we obtained 20 tumor samples and we obtained data of 31 tumor organizations from the GTEx database. We further collected data on 35 types of human cancers from the TIMER database (https://cistrome.shinyapps.io/timer/).
2.2. RELL2 Gene Expression Analysis
Using the edgeR software, we analyzed RELL2 expression levels in normal tissues and adjacent tumor tissues based on the TCGA database. To expand the cancer types and sample sizes, we combined expression data from the TCGA and GTEx databases. RELL2 expression levels between various tissues from the GTEx database and CCLE database were analyzed with Kruskal–Wallis test. The violin plots were visualized by R package ggplot.
2.3. Differences between RELL2 Expression and Survival in Cancers
Using 33 cancer types from the TCGA database, we studied the links between RELL2 expression and overall survival (OS) through the univariate Cox model. Statistical significance was indicated as P < 0.05. We used Kaplan–Meier (KM) method to evaluate PFI (progression-free interval), DFI (disease-free interval), DSS (disease-specific survival), and OS (overall survival) in patients with high and low expression levels of RELL2 across various cancer types.
2.4. Correlations of RELL2 Expression with the Immune Microenvironment
We examined the relation between RELL2 expression levels and six different immune infiltrating levels (macrophages, dendritic cells (DCs), neutrophils, B cells, CD8+ T cells, and CD4+ T cells) using the TIMER database to obtain the score data of the latter, including the gene expression profiles of 32 cancer types [ref. 18]. The estimate R package was used to explore the abundance of immune and stromal components. P < 0.05 and R > 0.20 indicated a significant and positive association, respectively, with the expression level of RELL2.
2.5. Relationships among RELL2 Expression Level and ICGs and Immune Neoantigens
Mutated genes of tumor cells encode new antigens called neoantigens. Such genes are primarily created through other abnormal proteins, gene fusions, deletions, and point mutations, all of which are distinct from proteins expressed by normal cells [ref. 19]. Several studies have explored the use of neoantigen vaccines to improve the response of the immune system to cancer cells [ref. 20]. We examined the correlation of RELL2 expression level with the number of antigens that were counted separately [ref. 19]. We extracted more than 40 common internal control genes (ICGs) to investigate the correlation of RELL2 with ICGs. P < 0.05 and R > 0.20 indicated a significant and positive association, respectively.
2.6. Connections between RELL2 Expression and TMB and MSI
TMB refers to the quantity of nonsynonymous mutations per coding region of a tumor genome identified in whole-exome sequencing through a reported algorithm, including the somatic variants per megabase (MB) of the genome [ref. 21, ref. 22]. MSI occurs when some cells perform one or two alleles along with different numbers of repeats and has been identified to be associated with clinicopathological characteristics of cancer patients [ref. 23, ref. 24]. The relationships between RELL2 expression with TMB and MSI were analyzed with Spearman’s rank correlation coefficient.
2.7. Associations between RELL2 Expression and DNA Mismatch Repair (MMR) Genes and Methyltransferases
EPCAM, PMS2, MSH6, MSH2, and MLH1 are DNA MMR genes used to forecast immune checkpoint inhibitors to strengthen the immune response to new anticancer therapies. The inactivation of DNA MMR genes played a role in the pathology of specific sporadic and hereditary cancers [ref. 25]. We downloaded data from the TCGA database to explore the correlation of RELL2 expression with MMRs.
DNA methylation is mediated by DNA methyltransferases (DNMTs) and can be influenced by the environment [ref. 26–ref. 28]. We analyzed the association of RELL2 expression with four methyltransferases (DNMT3B, DNMT3A, DNMT2, and DNMT1). P < 0.05 and R > 0.20 indicated a significant and positive association, respectively.
2.8. Gene Set Enrichment Analysis (GSEA)
We used GSEA to distinguish a group of genes statistically enriched for a particular observable variable and determine biological processes associated with groups of differentially expressed genes [ref. 29]. Using the Molecular Signature Database linked with various expressions under different conditions from the Broad Institute (http://www.broadinstitute.org/GSEA/msigdb/index.jsp), we applied the GSEA to analyze the distributions of the supervised gene sets [ref. 30]. We used Kyoto Encyclopedia of Genes and Genomes (KEGG) Automatic Annotation Server to perform KEGG pathway analysis. KEGG incorporates a variety of databases on genomes, drugs, diseases, chemical substances, and biological pathways [ref. 31]. We then employed signature collections from Molecular Signature Database, specifically “hallmark” and “KEGG,” to carry out the analysis.
3. Results
3.1. Pan-Cancer Analysis of RELL2 Expression Levels
We first investigated the expression level of RELL2 among different tissues based on the GTEx (Genotype-Tissue Expression) dataset and found that RELL2 (Receptor expressed in lymphoid tissues-like 2) showed varying expression levels in 31 tissues (Figure 1(a)). We then explored RELL2 expression level in tumor cell lines using data from the CCLE (The Cancer Cell Line Encyclopedia) database (Figure 1(b)). We investigated RELL2 expression level in pan-cancer data from the TCGA (The Cancer Genome Atlas) dataset and found that RELL2 was expressed higher in 16 out of 20 cancers. The highest RELL2 expression was detected in rectum adenocarcinoma (READ) and neck squamous cell carcinoma (HNSC) (Figure 1(c)).

Given that TCGA database contains few normal tissues, we merged it with the GTEx database to examine RELL2 expression level in various tumor and adjacent normal tissues. RELL2 was expressed higher in 18 out of 27 or in the majority of cancer types (Figure 1(d)). Moreover, we used the TIMER (Tumor Immune Estimation Resource) database to compare the RELL2 expression level of tumor tissues with that of normal tissue (Figure 1(e)).
3.2. Correlations between RELL2 Expression and Patient Prognostic Outcomes
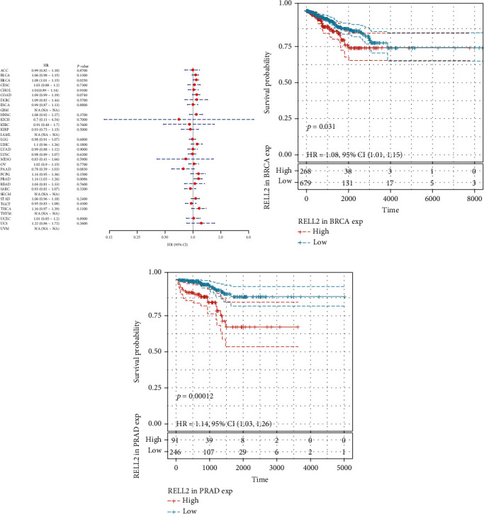
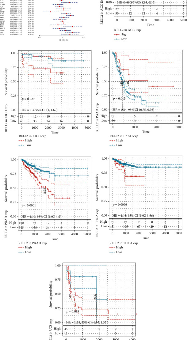
To examine the influence of RELL2 expression on patient prognosis, we used the TCGA database and performed univariate Cox analysis to explore the relationship of RELL2 expression level with PFI, DFI, DSS, and OS. RELL2 significantly influenced OS in ACC, GBM, KICH, KIRC, LAML, LIHC, PAAD, and THYM (Figure 2(a)). The most significant OS outcomes associated with the expression of RELL2 are shown in Figure 2(b). A shorter OS was associated with RELL2 expression levels in ACC, GBM, KICH, KIRC, LAML, LIHC, and UCS while RELL2 expression was associated with a better OS outcome in PAAD and THYM. Forest plots revealed that RELL2 affected the DSS of ACC, GBM, KICH, KIRC, PAAD, PCPG, THCA, and UCS (Figure 3(a)). High expression level of RELL2 predicted a poor survival outcome in ACC, CESC, GBM, KICH, KIRC, PCPG, THCA, and UCS and indicated a good survival in PAAD (P = 0.001) (Figure 3(b)). Forest plots revealed that RELL2 influenced DFI in BRCA and PRAD (Figure 4(a)). And the most significant survival outcomes revealed that high expression levels of RELL2 predicted a poor survival outcome in BRCA and PRAD (Figure 4(b)). Forest plots revealed that RELL2 influenced PFI of ACC, PAAD, PRAD, THCA, and UCS (Figure 5(a)). And the most significant survival outcomes revealed that high expression level of RELL2 predicted a poor survival outcome in ACC, KICH, PRAD, THCA, and UCS and predicted a good survival outcome in PAAD (Figure 5(b)).




3.3. RELL2 Expression between Different Clinical Characteristics
We next examined the association of RELL2 expression with pathological stage in pan-cancers, MSI, and TMB status from the TCGA database. A significant relationship between RELL2 expression and tumor stage was found in THCA, KIRP, HNSC, COAD, BRCA, and ACC (Figures 6(a)–6(f)). RELL2 expression level was significantly correlated with TMB in UCEC, THYM, COAD, and CESC (Figure 6(g)) and significantly correlated with MSI in 16 cancer types, including UCEC, THCA, PRAD, LUSC, LUAD, HNSC, COAD, and BRCA (Figure 6(h)). Collectively, these results identify RELL2 as a potential prognostic biomarker for various cancer types.

3.4. The Associations of RELL2 with Immune Cell Infiltrating Levels and the Tumor Microenvironment
Tumor infiltrating lymphocytes (TILs) substantially contribute to and affect the OS of cancer patients and their lymph node status. We evaluated the associations of RELL2 with six distinct types of immune cells that influence the tumor microenvironment (TME). Our findings demonstrated that RELL2 was correlated with immune cells in different cancer types, particularly in KIRC and LIHC. In KIRC, a positive and significant correlation of RELL2 with four immune cell types was found, specifically CD4+ T cell, DCs, macrophages, and neutrophils (Figure 7(a)). In LIHC, RELL2 was positively and significantly correlated with five immune cell types: B cells, CD4+ T cells, DCs, macrophages, and neutrophils (Figure 7(b)).

To explore the associations of RELL2 with the TME, which contains immune, stromal, and tumor cells, we used the R package of ESTIMATE to determine the immune and stromal scores of every cancer type. Figure 7(c) illustrates the top three cancers significantly correlated with RELL2 expression. Among the 33 cancers, the immune scores were BRCA, GBM, and LUSC. Significant correlations of the leading three tumors with the stromal score and RELL2 expression were LAML, LGG, and LUSC. The three leading cancer types that were significantly correlated with the RELL2 expression and immune score deduced using ESTIMATE were LAML, LGG, and LUSC. Overall, these outcomes underscored the significant and positive correlation of RELL2 expression levels with LAML in the stromal score and immune score inferred by ESTIMATE, as well as its negative correlation with LUSC, BRCA, and GBM in the immune score, and LGG and LUSC in the stromal score and immune score obtained using ESTIMATE.
3.5. Correlations between RELL2 Expression Levels and Immune Neoantigens and ICGs
Recently, tumor immunotherapy has garnered considerable attention. We evaluated the correlation of RELL2 expression with over 40 standard checkpoint genes (Figure 8(a)). The findings demonstrated the significant correlation of RELL2 expression level with the expression of several checkpoint genes in different cancer types, particularly KICH, KIRC, and THYM. These results suggested the potential role of RELL2 in influencing tumor immunity through the regulation of these checkpoint genes.

We also analyzed the association of RELL2 expression levels with immune neoantigens in different tumors. The outcomes revealed a positive correlation of RELL2 expression level with three distinct immune antigens, specifically CESC, KIRP, and SKCM (Figure 8(b)).
3.6. The Correlations between RELL2 Expression and DNA MMR Genes and Methyltransferase Expression
MMRs can cause gene mutations to occur at a faster rate. We examined the relationship of RELL2 expression with numerous essential MMR genes and identified positive correlations of RELL2 expression with MutL homolog 1 (MLH1), MutS homolog 2 (MSH2), and MutS homolog 6 (MSH6) in UVM, UCEC, THYM, TGCT, STAD, SARC, PRAD, PCPG, OV, LIHC, KIRC, KICH, and HNSC. Conversely, RELL2 expression was negatively correlated with epithelial cell adhesion molecule (EpCAM) in THYM, TGCT, MESO, LAML, KIRP, KIRC, KICH, ESCA, and CESC (Figure 9(a)). We studied the correlation of RELL2 expression with four methyltransferases, DNMT3B, DNMT3A, DNMT2, and DNMT1. The results identified a positive correlation of RELL2 expression with methyltransferases in all tumors except for UCEC, UCS, CHOL, COAD, ESCA, LAML, and LGG (Figure 9(b)).

3.7. GSEA
We classified all pan-cancer samples into the low- and high-expression groups using the median expression level of RELL2. We used GSEA to assess the enrichment of signaling pathways in KEGG and hallmark (false discovery rate < 0.25, P value < 0.05, ∣normalized enrichment score | >1) (Table 1). Figure 10 lists the top three pathways that were considerably enriched in both databases; the most enriched signaling pathways were the RIG-I-like receptor (RLR) and apical junction pathways.
Table 1: The GSEA enrichment results of KEGG and HALLMARK terms (∣NES | >1, P value < 0.05, FDR < 0.25).
| Term | ES | NES | NP | FDR | FWER |
|---|---|---|---|---|---|
| KEGG_RIG_I_LIKE_RECEPTOR_SIGNALING_PATHWAY | -0.5688 | -2.0268 | 0 | 0.0746 | 0.036 |
| KEGG_TOLL_LIKE_RECEPTOR_SIGNALING_PATHWAY | -0.5527 | -1.9775 | 0.0019 | 0.0736 | 0.066 |
| KEGG_NOD_LIKE_RECEPTOR_SIGNALING_PATHWAY | -0.5794 | -1.9616 | 0.0019 | 0.0654 | 0.085 |
| KEGG_CHEMOKINE_SIGNALING_PATHWAY | -0.5058 | -1.8962 | 0.0019 | 0.1004 | 0.146 |
| KEGG_FC_EPSILON_RI_SIGNALING_PATHWAY | -0.505 | -1.8811 | 0.0039 | 0.0971 | 0.163 |
| KEGG_BLADDER_CANCER | -0.5343 | -1.8675 | 0 | 0.0908 | 0.184 |
| KEGG_T_CELL_RECEPTOR_SIGNALING_PATHWAY | -0.5332 | -1.8303 | 0.004 | 0.114 | 0.244 |
| KEGG_FC_GAMMA_R_MEDIATED_PHAGOCYTOSIS | -0.5035 | -1.8171 | 0.0097 | 0.1117 | 0.268 |
| KEGG_ACUTE_MYELOID_LEUKEMIA | -0.5195 | -1.7903 | 0.0075 | 0.1331 | 0.323 |
| KEGG_PRIMARY_IMMUNODEFICIENCY | -0.6838 | -1.7854 | 0.0243 | 0.1243 | 0.333 |
| KEGG_EPITHELIAL_CELL_SIGNALING_IN_HELICOBACTER_PYLORI_INFECTION | -0.4955 | -1.7849 | 0.0096 | 0.1136 | 0.335 |
| KEGG_PHOSPHATIDYLINOSITOL_SIGNALING_SYSTEM | -0.4897 | -1.7749 | 0.0096 | 0.1163 | 0.359 |
| KEGG_NATURAL_KILLER_CELL_MEDIATED_CYTOTOXICITY | -0.4815 | -1.7648 | 0.0076 | 0.1188 | 0.378 |
| KEGG_JAK_STAT_SIGNALING_PATHWAY | -0.4522 | -1.7425 | 0.004 | 0.1311 | 0.421 |
| KEGG_B_CELL_RECEPTOR_SIGNALING_PATHWAY | -0.5203 | -1.7374 | 0.0314 | 0.1278 | 0.434 |
| KEGG_CYTOSOLIC_DNA_SENSING_PATHWAY | -0.4982 | -1.726 | 0.0134 | 0.1318 | 0.461 |
| KEGG_VEGF_SIGNALING_PATHWAY | -0.4338 | -1.7078 | 0.0058 | 0.1449 | 0.51 |
| KEGG_SNARE_INTERACTIONS_IN_VESICULAR_TRANSPORT | -0.5141 | -1.7037 | 0.0155 | 0.141 | 0.514 |
| KEGG_CYTOKINE_CYTOKINE_RECEPTOR_INTERACTION | -0.4357 | -1.681 | 0.025 | 0.1564 | 0.555 |
| KEGG_NON_SMALL_CELL_LUNG_CANCER | -0.482 | -1.6683 | 0.018 | 0.1627 | 0.584 |
| KEGG_PROGESTERONE_MEDIATED_OOCYTE_MATURATION | -0.4712 | -1.6661 | 0.0198 | 0.1577 | 0.585 |
| KEGG_ENDOCYTOSIS | -0.4431 | -1.6584 | 0.0238 | 0.1586 | 0.598 |
| KEGG_GLYCEROPHOSPHOLIPID_METABOLISM | -0.4131 | -1.6561 | 0.0153 | 0.1535 | 0.603 |
| KEGG_GLYCEROLIPID_METABOLISM | -0.448 | -1.6531 | 0.0188 | 0.1508 | 0.616 |
| KEGG_NEUROTROPHIN_SIGNALING_PATHWAY | -0.4384 | -1.6308 | 0.0234 | 0.1666 | 0.66 |
| KEGG_HOMOLOGOUS_RECOMBINATION | -0.6222 | -1.6064 | 0.043 | 0.176 | 0.706 |
| KEGG_APOPTOSIS | -0.4399 | -1.6034 | 0.0356 | 0.1725 | 0.707 |
| KEGG_SMALL_CELL_LUNG_CANCER | -0.4467 | -1.5996 | 0.0334 | 0.1708 | 0.711 |
| KEGG_FRUCTOSE_AND_MANNOSE_METABOLISM | -0.4904 | -1.5882 | 0.0262 | 0.1667 | 0.733 |
| KEGG_MAPK_SIGNALING_PATHWAY | -0.3707 | -1.571 | 0.0275 | 0.1767 | 0.754 |
| KEGG_NOTCH_SIGNALING_PATHWAY | -0.4842 | -1.5703 | 0.0414 | 0.1724 | 0.755 |
| KEGG_VIBRIO_CHOLERAE_INFECTION | -0.4357 | -1.5702 | 0.0457 | 0.1678 | 0.756 |
| KEGG_GNRH_SIGNALING_PATHWAY | -0.3912 | -1.5666 | 0.0251 | 0.1674 | 0.766 |
| KEGG_GLIOMA | -0.4327 | -1.5505 | 0.0378 | 0.17 | 0.792 |
| KEGG_AMINO_SUGAR_AND_NUCLEOTIDE_SUGAR_METABOLISM | -0.4738 | -1.5488 | 0.049 | 0.1673 | 0.793 |
| KEGG_GALACTOSE_METABOLISM | -0.5049 | -1.5187 | 0.0432 | 0.1853 | 0.837 |
| KEGG_ABC_TRANSPORTERS | -0.4218 | -1.5138 | 0.0329 | 0.1834 | 0.847 |
| KEGG_CALCIUM_SIGNALING_PATHWAY | -0.3402 | -1.4528 | 0.0345 | 0.2133 | 0.913 |
| KEGG_NEUROACTIVE_LIGAND_RECEPTOR_INTERACTION | -0.3304 | -1.4135 | 0.034 | 0.2292 | 0.938 |
| KEGG_RIBOSOME | 0.8522 | 1.8217 | 0.0078 | 0.2079 | 0.27 |
| HALLMARK_IL6_JAK_STAT3_SIGNALING | -0.5296 | -1.7056 | 0.032 | 0.2416 | 0.236 |
| HALLMARK_INFLAMMATORY_RESPONSE | -0.4701 | -1.6624 | 0.0415 | 0.1665 | 0.283 |
| HALLMARK_IL2_STAT5_SIGNALING | -0.3901 | -1.5822 | 0.0394 | 0.2345 | 0.398 |

4. Discussion
Apoptosis, known as programmed cell death, is categorized into late apoptosis and early apoptosis and depends on the balance between apoptosis-promoting and apoptosis-inhibiting proteins [ref. 32, ref. 33]. During apoptosis, n-tetradecane acylation can occur after caspase cleavage, exposing a hidden N-terminal glycine residue. The enzyme that is responsible for myristoylation is N-myristoyltransferase (NMT). In Saccharomyces cerevisiae, the loss of NMT function is fatal, and Drosophila lacking NMT have a variety of developmental defects [ref. 34]. In multicellular organisms, apoptosis is a highly regulated form of cell death. Mitochondria are the regulatory center of apoptosis and the site of the well-known intrinsic apoptosis pathway [ref. 35]. Apoptosis is regulated by external forces, such as death receptor signaling, and also intracellular milieu [ref. 36]. Apoptosis-inducing factor is a novel mediator in apoptosis and the most frequently studied tracer is Annexin-V [ref. 37]. Studies showed that orlistat induces apoptosis and bortezomib plays a significant role in sensitizing RPMI-8226 cells to apoptosis [ref. 38]. Other drugs interfering with apoptosis can also play an oncogenic role [ref. 39]. Furthermore, apoptosis-related genetic mutations or abnormal expression of apoptosis-related proteins may inhibit apoptosis and trigger tumorigenesis. Tumor treatment is vital in the induction of the expression of apoptosis-related genes to expedite tumor cell apoptosis [ref. 40]. In addition, a close connection may exist between apoptosis and autophagy. The process of apoptosis may start with autophagy and the process of autophagy may finish with apoptosis [ref. 41]. Like cell apoptosis and cell senescence, autophagy is a very important biological phenomenon that participates in the development and growth of organisms and other processes. Autophagy plays a great role in the metabolic balance of the human body, but excessive autophagy can cause damage. While enhancing autophagy in normal cells can inhibit tumorigenesis, tumor cells also counter therapeutic drug-, metabolites-, and hypoxia-induced stress response. Excessive autophagy may engulf normal cells, leading to impaired body function.
In our study, we found that RELL2 is overexpressed in most cancers. A previous study revealed that RELL2 overexpression is correlated with apoptosis [ref. 1]. We investigated the expression level of RELL2 through several databases such as TCGA, CCLE, GTEx, and TIMER and found that RELL2 is overexpressed in many tumor tissues. We further explored the prognostic value of RELL2 by analyzing the association of RELL2 expression with OS, DSS, DFI, and PFI in various cancer types. The results showed RELL2 plays an independent role in many cancers. Subsequent survival analysis revealed that the overexpression of RELL2 predicted a poor survival outcome of cancer patients. Next, we explored the correlations between RELL2 expression level and different stages, TMB, and MSI. We found that RELL2 expression correlated with increased stages in many cancers, suggesting that high expression level of RELL2 may predict the degree of malignancy of the tumor. Increasing studies have revealed that the tumor microenvironment plays a vital role in tumor progression. We then explored the relationships between RELL2 and different immune checkpoints and found that RELL2 was significantly expressed in many cancers. We analyzed the correlations between RELL2 and immune cells, MMR genes, and DNA methylation. The results showed that RELL2 was positively and significantly expressed in many immune cells and tumors.
In our gene enrichment analysis, we found that the expression of RELL2 was associated with a number of metabolic pathways and metabolism, including the Toll-like receptor signaling pathway, Rig I-like receptor signaling pathway, chemokine signaling pathway, T cell receptor signaling pathway, JAK-STAT signaling pathway, B cell receptor signaling pathway, glycerolipid metabolism, galactose metabolism, and IL6-JAK-STAT3 signaling. These findings highlight the significant correlation of RELL2 with the control of signaling pathways and its substantial influence in regulating the tumor microenvironment and body metabolism. In HCC, tumors gain immune escape, which speeds up the occurrence and development of cancer through apoptosis [ref. 42]. Several other papers showed the ability of tumor cells to resist immune cell–triggered apoptosis, enabling escape from the host’s immune monitoring [ref. 43]. Our results identified a correlation of RELL2 with MDSCs, CD4+ T cells, and CD8+ T cells and the correlation of RELL2 with tumor immune infiltration. Ultimately, these findings suggests that these signaling pathways across various cancer types enable the escape from tumors through apoptosis. Thus, blocking the apoptosis pathway may be an efficient method to improve tumor-targeted therapy. Studies showed that inhibition of apoptosis can improve the survival of muscle cells [ref. 44]. However, apoptosis is complex and its targets are various. Therefore, identifying an optimal apoptosis-targeting gene seems to be the main approach to improve tumor-targeted therapy inhibiting apoptosis.
RELL2 overexpression is associated with apoptosis [ref. 1]. We found that RELL2 expression was significantly correlated with the majority cancers through our pan-cancer analysis and was highly expressed in tumor cells. High expression of RELL2 correlates with a poor prognostic outcome in most cancers. Thus, RELL2 may influence the survival outcome through apoptosis. We also found that RELL2 was correlated with the tumor microenvironment and immune cells in many cancers, indicating that RELL2 in the tumor microenvironment and immune cells may regulate the occurrence and development of tumors. Together, these findings indicate that RELL2 may stimulate tumor progression in many cancer types and lead to an unsatisfactory survival outcome.
Our study has several limitations. Our findings are derived from bioinformatics analyses and experimental data are lacking. Further studies are warranted to validate our results. A large sample size and comprehensive analysis of RELL2 can provide insight for future exploration of the role of RELL2 in cancer.
References
- J. K. Cusick, A. Mustian, K. Goldberg, M. E. Reyland. RELT induces cellular death in HEK 293 epithelial cells. Cellular Immunology, 2010. [DOI | PubMed]
- P. Moua, M. Checketts, L. G. Xu, H. B. Shu, M. E. Reyland, J. K. Cusick. RELT family members activate p38 and induce apoptosis by a mechanism distinct from TNFR1. Biochemical and Biophysical Research Communications, 2017. [DOI | PubMed]
- P. Wang, Q. Yang, X. Du, Y. Chen, T. Zhang. Targeted regulation of Rell2 by microRNA-18a is implicated in the anti- metastatic effect of polyphyllin VI in breast cancer cells. European Journal of Pharmacology, 2019. [DOI | PubMed]
- S. J. Tang, H. Shen, O. An. Cis- and trans-regulations of pre-mRNA splicing by RNA editing enzymes influence cancer development. Nature Communications, 2020. [DOI]
- A. Vezzani, J. French, T. Bartfai, T. Z. Baram. The role of inflammation in epilepsy. Nature Reviews. Neurology, 2011. [DOI | PubMed]
- M. V. Machado, A. M. Diehl. Pathogenesis of nonalcoholic steatohepatitis. Gastroenterology, 2016. [DOI | PubMed]
- S. Tsimikas, G. W. Duff, P. B. Berger. Pro-inflammatory interleukin-1 genotypes potentiate the risk of coronary artery disease and cardiovascular events mediated by oxidized phospholipids and lipoprotein(a). Journal of the American College of Cardiology, 2014. [DOI | PubMed]
- R. Gonsky, P. Fleshner, R. L. Deem. Association of ribonuclease T2 gene polymorphisms with decreased expression and clinical characteristics of severity in Crohn’s disease. Gastroenterology, 2017. [DOI | PubMed]
- M. F. Shehata. Rel/nuclear factor-kappa B apoptosis pathways in human cervical cancer cells. Cancer Cell International, 2005. [DOI | PubMed]
- M.-Y. Jeon, S. M. Woo, S. U. Seo. Dexamethasone inhibits TRAIL-induced apoptosis through c-FLIP(L) upregulation and DR5 downregulation by GSK3β activation in cancer cells. Cancers (Basel), 2020. [DOI | PubMed]
- A. D. Nalli, L. E. Brown, C. L. Thomas, T. J. Sayers, J. A. Porco, C. J. Henrich. Sensitization of renal carcinoma cells to TRAIL-induced apoptosis by rocaglamide and analogs. Scientific Reports, 2018. [DOI | PubMed]
- X. Wang, M. Gao, J. Ye. An immune gene-related five-lncRNA signature for to predict glioma prognosis. Frontiers in Genetics, 2020. [DOI | PubMed]
- S. Stock, M. Schmitt, L. Sellner. Optimizing manufacturing protocols of chimeric antigen receptor T cells for improved anticancer immunotherapy. International Journal of Molecular Sciences, 2019. [DOI | PubMed]
- X. Sun, H. Gao, Y. Yang. PROTACs: great opportunities for academia and industry. Signal Transduction and Targeted Therapy, 2019. [DOI | PubMed]
- L. L. Liu, A. Pfefferle, V. O. Yi Sheng. Harnessing adaptive natural killer cells in cancer immunotherapy. Molecular Oncology, 2015. [DOI | PubMed]
- P. Sarode, X. Zheng, G. A. Giotopoulou. Reprogramming of tumor-associated macrophages by targeting β-catenin/FOSL2/ARID5A signaling: a potential treatment of lung cancer. Science Advances, 2020. [DOI | PubMed]
- Z. Deng, M. Xiao, D. Du. DNASE1L3 as a prognostic biomarker associated with immune cell infiltration in cancer. Oncotargets and Therapy, 2021. [DOI | PubMed]
- W. Xu, W. Yang, C. Wu, X. Ma, H. Li, J. Zheng. Enolase 1 correlated with cancer progression and immune-infiltrating in multiple cancer types: a pan-cancer analysis. Frontiers in Oncology, 2020. [DOI | PubMed]
- C. Xu, Y. Zang, Y. Zhao. Comprehensive pan-cancer analysis confirmed that ATG5 promoted the maintenance of tumor metabolism and the occurrence of tumor immune escape. Frontiers in Oncology, 2021. [DOI | PubMed]
- R. S. Riley, C. H. June, R. Langer, M. J. Mitchell. Delivery technologies for cancer immunotherapy. Nature Reviews. Drug Discovery, 2019. [DOI | PubMed]
- Y. Xia, Q. Wang, X. Huang. miRNA-based feature classifier is associated with tumor mutational burden in head and neck squamous cell carcinoma. BioMed Research International, 2020. [DOI | PubMed]
- C. Ma, H. Luo, J. Cao. Identification of a novel tumor microenvironment-associated eight-gene signature for prognosis prediction in lung adenocarcinoma. Frontiers in Molecular Biosciences, 2020. [DOI | PubMed]
- H. H. Hartgrink, E. P. Jansen, N. C. van Grieken, C. J. H. van de Velde. Gastric cancer. Lancet, 2009. [DOI | PubMed]
- A. de la Chapelle, H. Hampel. Clinical relevance of microsatellite instability in colorectal cancer. Journal of Clinical Oncology, 2010. [DOI | PubMed]
- S. Roychowdhury, A. M. Chinnaiyan. Translating cancer genomes and transcriptomes for precision oncology. CA: a Cancer Journal for Clinicians, 2016. [DOI | PubMed]
- R. Margueron, D. Reinberg. Chromatin structure and the inheritance of epigenetic information. Nature Reviews. Genetics, 2010. [DOI | PubMed]
- A. P. Feinberg, M. D. Fallin. Epigenetics at the crossroads of genes and the environment. Jama, 2015. [DOI | PubMed]
- J. Chen, O. Odenike, J. D. Rowley. Leukaemogenesis: more than mutant genes. Nature Reviews. Cancer, 2010. [DOI | PubMed]
- C. Zorzatto, J. P. Machado, K. V. Lopes. NIK1-mediated translation suppression functions as a plant antiviral immunity mechanism. Nature, 2015. [DOI | PubMed]
- D. M. Feldser, K. K. Kostova, M. M. Winslow. Stage-specific sensitivity to p53 restoration during lung cancer progression. Nature, 2010. [DOI | PubMed]
- Q. Ge, G. Li, J. Chen. Immunological role and prognostic value of APBB1IP in pan-cancer analysis. Journal of Cancer, 2021. [DOI | PubMed]
- R. Xia, X. Sheng, X. Xu, C. Yu, H. Lu. Hesperidin induces apoptosis and G0/G1 arrest in human non-small cell lung cancer A549 cells. International Journal of Molecular Medicine, 2017. [DOI | PubMed]
- N. Khan, A. Vidyarthi, S. Javed, J. N. Agrewala. Innate immunity holding the flanks until reinforced by adaptive immunity against mycobacterium tuberculosis infection. Frontiers in Microbiology, 2016. [DOI | PubMed]
- H. C. Hang, M. E. Linder. Exploring protein lipidation with chemical biology. Chemical Reviews, 2011. [DOI | PubMed]
- Y.-Q. Hou, Y. Yao, Y.-L. Bao. Juglanthraquinone C induces intracellular ROS increase and apoptosis by activating the Akt/Foxo signal pathway in HCC cells. Oxidative Medicine and Cellular Longevity, 2016. [DOI | PubMed]
- A. C. Paim, A. D. Badley, N. W. Cummins. Mechanisms of human immunodeficiency virus-associated lymphocyte regulated cell death. AIDS Research and Human Retroviruses, 2020. [DOI | PubMed]
- C. Rischpler, A. Paschali, C. Anagnostopoulos, S. G. Nekolla. Cardiac PET for translational imaging. Current Cardiology Reports, 2015. [DOI]
- J. M. Tirado-Vélez, I. Joumady, A. Sáez-Benito, I. Cózar-Castellano, G. Perdomo. Inhibition of fatty acid metabolism reduces human myeloma cells proliferation. PloS One, 2012. [DOI | PubMed]
- M. De Vos, J. Smitz, T. K. Woodruff. Fertility preservation in women with cancer. Lancet, 2014. [DOI | PubMed]
- S. H. Liu, P. P. Wang, C. T. Chen. MicroRNA-148b enhances the radiosensitivity of B-cell lymphoma cells by targeting Bcl-w to promote apoptosis. International Journal of Biological Sciences, 2020. [DOI | PubMed]
- J. Jakubowicz-Gil, E. Langner, I. Wertel, T. Piersiak, W. Rzeski. Temozolomide, quercetin and cell death in the MOGGCCM astrocytoma cell line. Chemico-Biological Interactions, 2010. [DOI | PubMed]
- J. Zhang, X. Zhao, X. Ma, Z. Yuan, M. Hu. KCNQ1OT1 contributes to sorafenib resistance and programmed death-ligand-1-mediated immune escape via sponging miR-506 in hepatocellular carcinoma cells. International Journal of Molecular Medicine, 2020. [DOI | PubMed]
- W. S. Wang, P. M. Chen, H. S. Wang, W. Y. Liang, Y. Su. Matrix metalloproteinase-7 increases resistance to Fas-mediated apoptosis and is a poor prognostic factor of patients with colorectal carcinoma. Carcinogenesis, 2006. [DOI | PubMed]
- K. A. Szcześniak, P. Ostaszewski, J. C. Fuller, A. Ciecierska, T. Sadkowski. Dietary supplementation of β-hydroxy-β-methylbutyrate in animals – a review. Journal of Animal Physiology and Animal Nutrition, 2015. [DOI | PubMed]
