C2 to C6 biobased carbonyl platforms for fine chemistry
Abstract
The carbonyl group is central in organic synthesis, thanks to its ability to undergo a vast range of different chemical transformations on its carbon center or at the neighboring positions. Due to the high level of oxygen content in biomass, small molecules arising from biomass often possess a carbonyl group. This is why biobased platform molecules possessing a carbonyl group, either under the form of an aldehyde, a ketone, an acid or an ester, play a dominant role in biobased chemistry. This review aims at illustrating how the chemistry of biobased carbonyl platform molecules with backbones from C2 to C6 offers opportunities to reach all kinds of chemical architectures, sometimes even complex ones benefiting from the ability of the carbonyl group to be involved in multicomponent reactions.
Article type: Review Article
Keywords: aldehydes, biobased chemistry, biomass, carbonyl, fine chemicals, ketones, multicomponent, platforms, sustainability
Affiliations: Université Lyon 1, INSA Lyon, CNRS, CPE Lyon, ICBMS, UMR5246, 69622 Villeurbanne, France https://ror.org/029brtt94 https://www.isni.org/isni/0000000121507757; Institute of Physical Chemistry and Industrial Catalysis, School of Chemistry and Chemical Engineering, Huazhong University of Science and Technology, 1037 Luoyu road, Wuhan 430074, China https://ror.org/00p991c53 https://www.isni.org/isni/0000000403687223
License: Copyright © 2025, Jiang et al. CC BY 4.0 This is an open access article licensed under the terms of the Beilstein-Institut Open Access License Agreement (https://www.beilstein-journals.org/bjoc/terms/terms), which is identical to the Creative Commons Attribution 4.0 International License (https://creativecommons.org/licenses/by/4.0). The reuse of material under this license requires that the author(s), source and license are credited. Third-party material in this article could be subject to other licenses (typically indicated in the credit line), and in this case, users are required to obtain permission from the license holder to reuse the material.
Article links: DOI: 10.3762/bjoc.21.165 | PubMed: 41122141 | PMC: PMC12536473
Relevance: Moderate: mentioned 3+ times in text
Full text: PDF (5.6 MB)
Introduction
Shifting towards sustainable practices in the chemical industry relies on continued advancement of green chemistry sciences which aim to minimize the global environmental impact while maintaining the efficiency of the chemical processes [ref. 1]. Green Chemistry principles outlined by Anastas and Warner in their work “Green Chemistry: Theory and Practice (2000)” [ref. 2] notably highlight atom economy, waste minimization and the use of renewable feedstock as pillars of sustainable chemistry [ref. 3–ref. 6]. Indeed, the use of biobased feedstocks provide a promising substitute for traditional petroleum-based resources [ref. 7]. Particularly lignocellulosic materials have emerged as a key source of producing fine chemicals and fuels [ref. 8–ref. 9], relying on the advances in catalytic processes dedicated to the conversion of biomass-derived platform molecules [ref. 10–ref. 11]. Recent studies have also highlighted the potential of biobased aromatic compounds as sustainable alternatives to their fossil-derived counterparts [ref. 12–ref. 15]. Developing biobased solvents [ref. 16–ref. 17] and platform chemicals from biomass shows how renewable carbon sources can replace non-renewable chemicals in important industrial processes [ref. 18–ref. 20].
Many, if not most, biobased platform molecules contain carbonyl groups. Carbonyl compounds have unique electrophilic and nucleophilic reactivity which make them central players in organic synthesis. Therefore, synthetic chemists can base strategies on the existing reactivity of carbonyl compounds for defining novel routes converting biobased platform molecules containing carbonyl groups to prepare fine organic chemicals [ref. 21–ref. 22]. Following this approach, researchers can obtain diverse downstream products from biomass, with efforts for using clean and sustainable conditions in terms of solvents, reagents and catalysts. The topic of biomass conversion has been explored in multiple perspectives [ref. 23–ref. 27], and the purpose of the present review is to offer a specific viewpoint by focusing on the reactivity of biobased platform molecules containing carbonyl groups. This review, which does not pretend to be comprehensive, attempts to highlight the central role of carbonyl-containing biobased platform molecules notably those having a C2 to C6 backbone shown in Figure 1, and illustrating their high-value conversion methods towards fine chemicals.

Review
C2 biobased carbonyl platforms
Glycolaldehyde
Developing accesses from biomass to structures such as glycolic acid (GA) and glycolaldehyde (GCA) with high atomic economy is challenging. Hu et al. reported a new route for the synthesis of GA and GCA using activated carbon deposited Cu catalysts and different biomass-derived polyols as feedstock with exceptionally high atom utilization ≈93% and up to 90% yield (Scheme 1) [ref. 28].

Glycolaldehyde (GCA), the smallest sugar molecule, was used by Sels et al. for the synthesis of amines by replacing the current toxic pathway based on ethylene oxide and dichloroethane [ref. 29]. Due to the high reactivity of α-hydroxycarbonyls, the main issue in this reductive amination reaction [ref. 30] was to control the cascade of consecutive and parallel reactions. The use of methanol as solvent and Pd as catalyst played a vital role for achieving a high yield. Efficient subsequent esterification and quaternarization to diesterquat fabric softeners demonstrated that high-value chemicals could be produced fully biobased from GCA as the starting platform (Scheme 2).

GCA can also be used as a C1 building block for the N-formylation of secondary amines to formamides under catalyst-free conditions and air as oxidant. This method was applied to different aromatic and aliphatic (both cyclic and acyclic) amines (Scheme 3) [ref. 31].

Already in 1955, Parham and Reiff reported the synthesis and conversion of a glycolaldehyde acetal (hydroxy acetal). The first step was the reaction of sodium benzyloxide with bromo acetals giving the hydroxy acetals in 75–82% yield. The intermediate ether was converted to the hydroxy acetal with sodium in liquid ammonia in good yield (70%). The hydroxy acetal then evolves towards cyclic acetals (Scheme 4) [ref. 32].

Exploring methods for the conversion of glycolaldehyde (GCA) to 3-(indol-3-yl)-2,3-dihydrofurans in organic solvents, Gu et al. reported a three-component reaction combining GCA, ethyl acetoacetate as 1,3-dicarbonyl component and indole. Using glycolaldehyde acetal as source of glycolaldehyde, two catalytic systems, namely Sc(OTf)3/nitromethane and Ni(ClO4)2·6H2O/acetonitrile, resulted in good yields. When using directly the aqueous solution of glycolaldehyde, these latter conditions were unproductive, whereas the deep eutectic solvent (DES) system FeCl3·6H2O/meglumine (N-methylglucamine) was found effective. This DES system proved to be a fully water compatible medium for the three-component conversion of glycolaldehyde, allowing the synthesis of a variety of 3-(indol-3-yl)-2,3-dihydrofurans in good yields. Interestingly, the DES (FeCl3·6H2O/meglumine) system can be recycled without significant loss of activity (Scheme 5) [ref. 33].

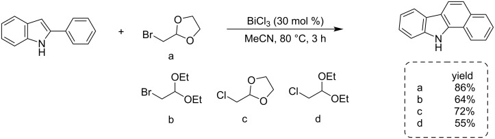
α-Bromoacetaldehyde derivatives (Scheme 6, structures a–d) and 2-phenylindoles were used to synthesize benzo[a]carbazoles. The reaction reported by the Gu research group was speeded up by bismuth trichloride (BiCl3). The Friedel–Crafts alkylation products were then converted into an intermediate tryptaldehyde that underwent intramolecular olefination to form the targeted product [ref. 34].

Glycolic acid (GA)
The growing impact of fossil fuel consumption has heightened the need for advancing renewable energy technologies. One promising strategy for sustainable energy development involves the electrochemical oxidation of biomass-derived feedstocks. Recent work by Shen et al. demonstrates that glycolic acid (GA), also referred to as hydroxyacetic acid, can be synthesized from glycerol (GLY) using a copper single-atom electrocatalyst supported on nitrogen-doped carbon nanosheets (Cu/NCNSs). This catalyst exhibits high activity for the oxidation of various substrates, including GLY, gluconic acid (GLU), 5-hydroxymethylfurfural (HMF), benzyl alcohol (BA), furfuryl alcohol (FA), and ethylene glycol (EG) (Scheme 7) [ref. 35].

Park et al. reported the valorization of C1 molecules (CH4, CO2, and CO) upgraded to the industrially important C2 chemical glycolic acid (GA) in a sustainable way. In the first step all the C1 source molecules are converted into formaldehyde. Metabolic engineering of E. coli-based biocatalysts allowed to avoid side reactions and promoted exclusive transformation of formaldehyde into glycolic acid. The use of E. coli K-12 strains as host cells and paraformaldehyde as the starting material, led to production of GA with high conversion even at rather high concentrations (Scheme 8) [ref. 36]. Using a CuII-based single ion catalyst, Brückner and Shi synthesized value added formamides by treating amines with different C2 and C3 platform molecules like GA, glyceraldehyde (GLAD), and 1,3- dihydroxyacetone (DHA) (Scheme 9) [ref. 37].


C3 biobased carbonyl platforms
Lactic acid (LA)
Propanoic (or propionic) acid (PA), a valuable chemical used in the feed and food industry, is produced by petrochemical processes. Its synthesis from biobased lactic acid (LA) offers an access from renewable resources. However, this conversion is difficult due to the high activation energy required for the hydrogenation reaction removing the hydroxy group at the α-position of the carboxyl group (Scheme 10) [ref. 38]. Yang and his team reported a metal-free catalytic system for the conversion of LA to PA (Scheme 10a). The use of NaI as catalyst and PA itself as solvent allowed to simplify the product separation process, giving yields up to 99% (Scheme 10b) [ref. 39]. This strategy offers a green and efficient approach to synthesize PA from biomass resources. The synthesis of PA was also achieved in a two-step process from cellulose (Scheme 10c) [ref. 40].

The use of biobased monomers is receiving tremendous attention in the field of bioplastic materials. Polylactic acid (PLA) and polyglycolic acid (PGA) are most important examples of biopolymers exhibiting interesting biodegradability properties [ref. 41]. The co-polymerization of PLA with glycolic acid was reported by Ayyoob and Kim [ref. 42]. High molecular weight poly-lactic-co-glycolic acid (PLGA) was obtained by the direct condensation and co-polymerization of both monomers promoted by a bicatalytic system including stannous chloride (SnCl2·2H2O) and methane sulfonic acid (MSA). PLGA films were prepared by the solvent casting technique, for which the presence of glycolic acid was found to increase their wettability (Scheme 11).

The group of Gupta et al. investigated the kinetics of the oxidation by tetrachloroaurate(III) in acetic acid–sodium acetate buffer medium of some neutralized α-hydroxy acids, including glycolic acid (GA), lactic acid (LA), α-hydroxybutyric acid (IB), mandelic acid (MA), atrolactic acid (ALA), and benzylic acid (BA). These acids were oxidized and gave formaldehyde, acetaldehyde, acetone, benzaldehyde, acetophenone, and benzophenone, respectively. By increasing pH and concentration, the rate of the reactions increased, but decreased upon increasing the amount of Cl− ions (Scheme 12) [ref. 43].

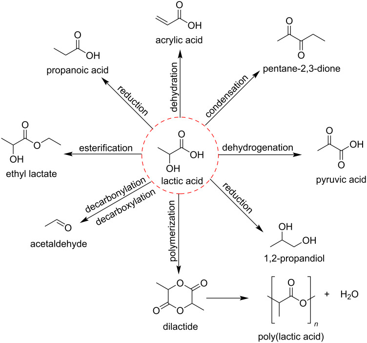
Many other studies have concerned lactic acid (LA) because of its low cost and versatile reactivity owing to the presence of one hydroxy group and one carboxylic group. Zhou et al. [ref. 44] summarized the selective catalytic (chemical or biological) pathways for the conversion of lactic acid towards different commodity chemicals which includes acrylic acid [ref. 45–ref. 50], pentane-2,3-dione [ref. 51–ref. 52], pyruvic acid [ref. 53–ref. 55], 1,2-propanediol [ref. 56–ref. 59], PLA [ref. 60–ref. 64], acetaldehyde [ref. 49,ref. 51], ethyl lactate [ref. 65–ref. 68] and propanoic acid (Figure 2) [ref. 49,ref. 69–ref. 70].

3-Hydroxypropanal (3-HPO) and 2,3-dihydroxypropanal (2,3-HPO)
Xu et al. reported the cross-aldol reaction of formaldehyde and acetaldehyde for the synthesis of 3-hydroxypropanal and further reduction to 1,3-propanediol (PDO). The reaction was promoted by X-5Mg/SiO2 and Mg/SiO2 (X = Mn, Co, Ni, Fe) catalysts synthesized by the sol–gel method. The 5Mg/SiO2 catalyst showed the highest activity in terms of selectivity and yield because of its suitable basic and acidic density. The addition of Mn to the 5Mg/SiO2 (1Mn-5Mg/SiO2) catalyst as week acidic side increased the selectivity towards 3-HPA. According to reaction kinetics studies, the cross-aldol reaction of formaldehyde and acetaldehyde gives a higher yield of 3-HPO than the self-aldol reaction of acetaldehyde. Moreover, Raney nickel was applied successfully for the conversion of 3-HPO to 1,3-PDO with good yield and about 90% conversion rate of 3-HPO (Scheme 13) [ref. 71].

The Bobleter and Feather groups investigated the reaction mechanism of the conversion of these C3 compounds. The acid-catalyzed equilibrium between 1,3-dihydroxy-2-propane and 2,3-dihydroxypropanal involves an ene-triol intermediate which leads to methylglyoxal by a dehydration reaction at temperatures between 180–240 ºC in a maximum yield of about 30–40% (Scheme 14) [ref. 72–ref. 73].

Dihydroxyacetone (DHA)
The formose process is the conversion of formaldehyde to glycolaldehyde and 1,3-dihydroxy-2-propanone (dihydroxyacetone, DHA). A computational protein-directed evolution allowed to create "formolase" (FLS), an enzyme able to catalyze the formose process. Various teams investigated the kinetics of the reaction and the entire carbon uptake allowing to select the best computationally modified enzyme profile depending on the formaldehyde amount and guiding future efforts to improve this pathway (Scheme 15) [ref. 74–ref. 76].

Tang et al. recently reported the environmentally friendly production of glyceraldehyde and dihydroxyacetone from using glycerol through photocatalytic oxidation under visible light using a Cuδ+-decorated WO3 photocatalyst in the presence of hydrogen peroxide (H2O2) [ref. 77]. The presence of the photocatalyst provokes an impressive five-fold rise in the conversion rate (3.81 mmol/g) without compromising the high selectivity towards the two trioses (glyceraldehyde, 46.4%, and dihydroxyacetone, 32.9%). Okamoto and co-workers developed a new hydroxyapatite (HAp)-loaded flow system for the atom economical preparation of dihydroxyacetone (DHA) in good yield from aqueous glyceraldehyde (Scheme 16) [ref. 78].

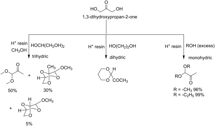
Transformation of 1,3-dihydroxy-2-propanone (dihydroxyacetone, DHA) has been a very popular topic for many years, using a variety of reactions like isomerizations and dehydrations [ref. 79–ref. 81]. Keto acetals have been observed as by-products, such as in the work reported by Gupta investigating the acid-catalyzed reactions of DHA with various alcohols (Scheme 17) [ref. 82].

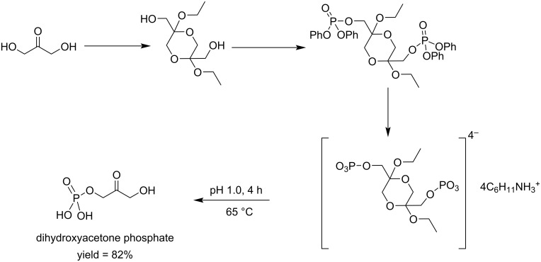
Colbran and colleagues reported the conversion of DHA to dihydroxyacetone phosphate in four steps in 27% overall yield [ref. 83]. In their synthesis the cyclic acetal (2,5-diethoxy-1,4-dioxane-2,5-diyl)dimethanol or its dimethoxy analog was esterified with diphenyl phosphorochloridate in pyridine to give (2,5-diethoxy-1,4-dioxane-2,5-diyl)bis(methylene) tetraphenyl bis(phosphate). Subsequent removal of the phenyl groups through hydrogenolysis, neutralization with cyclohexylamine and treatment with ion-exchange resin led to dihydroxyacetone phosphate. This 4-step method was more efficient than the previously reported dismutation of fructose-1,6-diphosphate [ref. 84] and 3-chloro-1,3-propanediol [ref. 85] which required more than nine steps and gave only 15% yield. No remaining acetal was found in the final product (Scheme 18).

The production of lactic acid from dihydroxyacetone or its derivative pyruvaldehyde was investigated on large scale to evaluate the water tolerance of Lewis acid sites of several solid catalysts [ref. 86–ref. 92]. Essayem and co-workers reported the conversion of DHA with the help of TiO2-based catalysts having dual properties. Two parallel pathways are as follows: on one hand the catalyst Lewis acidic sites promote the formation of pyruvaldehyde and lactic acid (LA) by a two-step reaction, while the catalyst Lewis base sites produce fructose (Scheme 19) [ref. 93].

Shi et al. [ref. 94] reported a novel strategy to synthesize glycolic acid (GA), a very important building block of biodegradable polymers as already stressed in the C2 section. The catalytic one-pot synthesis of GA and co-synthesis of formamides and formates was achieved in particularly good yield by selective oxidation of DHA using a Cu/Al2O3 catalyst with single active CuII species at room temperature without using a base (Scheme 20).

1-Hydroxypropan-2-one
Gu et al. reported the [3 + 2] cyclization reaction of 1-hydroxypropan-2-one with acylacetonitrile towards furan derivatives using a Sc(OTf)3 catalyst. C2-based bifunctional acetals, such as glycolaldehyde diethyl acetal, α-bromoacetaldehyde acetal, and 1,4-dithiane-2,5-diol also take part in the reaction as counterpart reagents. The well-known fungicide fenfuram was prepared using this process. Antifungal activity assays against four general plant fungi demonstrated that several of the synthesized new furan products exhibited also broad and strong biological activities (Scheme 21) [ref. 95].

A metal-free efficient strategy was developed by the Gu group for the synthesis of benzo[a]carbazole (a very important scaffold in the pharmaceutical industry) from the commercially available 2-phenylindole and bio-renewable 1-hydroxypropan-2-one (acetol) using a sulfone-containing Brønsted acidic medium as catalyst. The process was applied to a number of substituted 2-phenylindoles and hydroxyketones. The catalyst could be recovered and reused five times without decreasing its selectivity and activity. Mechanistically, the reaction involves a Heyns-type rearrangement and subsequent intramolecular olefination (Scheme 22) [ref. 96].

Arandia et al. reported the application of the aqueous-phase reforming (APR) technology for the production of light hydrocarbons and hydrogen in a single step from aqueous organic phases [ref. 97] containing 1-hydroxypropan-2-one (acetol), ethanol, benzene-1,2-diol (catechol), acetic acid or mixtures thereof. The process was conducted over various Ni-based catalysts including Ni/CeO2-γAl2O3, spinal NiAl2O4 and Ni/La2O3–αAl2O3, at 230 °C and 3.2 MPa. Using a chiral catalyst composed of [RuCl2(benzene)]2 and SunPhos, an effective asymmetric hydrogenation of α-hydroxy ketones was reported, yielding chiral terminal 1,2-diols in up to 99% ee. This Ru-catalyzed asymmetric hydrogenation process of α-hydroxy ketones opens up a new pathway for the production of chiral terminal 1,2-diols (Scheme 23) [ref. 98].

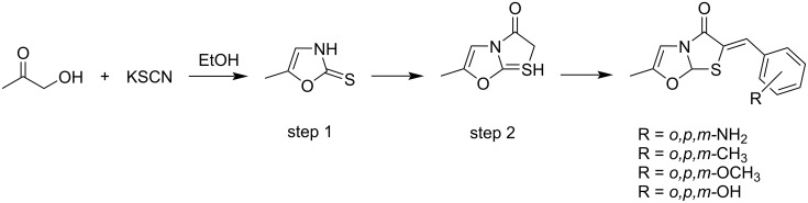
Kini and Mathews reported the synthesis of novel oxazole derivatives such as 6-(substituted benzylidene)-2-methylthiazolo[2,3-b]oxazol-5(6H)-one by reacting 1-hydroxypropan-2-one and KSCN in ethanol for further evaluation of their anti-cancerous activity by MTT assays (Scheme 24) [ref. 99].

Notz and List reported the synthesis of anti-diols in good yield from 1-hydroxypropan-2-one and different (aromatic and aliphatic) substituted aldehydes using a new strategy using ʟ-proline as a catalyst (Scheme 25) [ref. 100]. The C–C-bond formation between biomass-based feedstock by aldol condensation reactions of furfural with 1-hydroxyacetone has been reported by Subrahmanyam and co-workers (Scheme 26) [ref. 101].


C4 biobased carbonyl platforms
Acetoin
Acetoin is a very important C4 biomass-based molecule and widely used building block in the food industry as flavoring compound. It can be synthesized from diacetyl by reduction using enzymes such as Aerobacter aerogenes [ref. 102] or thiamine diphosphate-dependent lyase (ThdP-lyase) [ref. 103]. The biotechnological production of chiral acetoin was reported by Meng and co-workers [ref. 104]. Zhang and his team [ref. 105] reported the synthesis of bulk C4 chemicals from bioethanol via intermediate formation of acetoin in the presence of simple, environmentally benign, cheap and readily available natural vitamin B1 salts as the key step. Acetoin was further converted to C4 bulk chemicals such as 2,3-butanediol and butene (Scheme 27).

1,4-Dihydroxybutan-2-one
1,4-Dihydroxybutan-2-one is a key intermediate for the synthesis of different polyols such as 2-aminobutane-1,4-diol. Ma and co-workers synthesized 1,4-dihydroxybutan-2-one by a benzaldehyde lyase-catalyzed reaction of formaldehyde with 3-hydroxypropanal [ref. 106]. Another report depicts a new M4-catalyzed reaction between acrolein and formaldehyde for the synthesis of 1,4-dihydroxybutan-2-one, which was further converted into 1,2,4-butanetriol and 2-aminobutane-1,4-diol (Scheme 28) [ref. 107].

Matsumura et al. [ref. 108] reported the biocatalytic conversion of butane-1,2,4-triol into 1,4-dihydroxybutan-2-one. This work dealt with the conversion of sec-hydroxy groups to carbonyl derivatives by methanol yeast, Candida boidinii KK912, a cheaper and simpler process compared to other methods. The product is a kind of tetrose with biological and industrial relevance (Scheme 29).

Waymouth et al. [ref. 109] reported the regio- and chemoselective oxidation of vicinal polyols using [2,9-dimethyl-1,10-phenanthroline = neocuproine)Pd(OAc)]2(OTf)2] (1) as catalyst. The formation of α-hydroxyketones occurs very rapidly under mild conditions. The catalyst 1 oxidizes the vicinal diols to the corresponding hydroxy ketones faster than other alcohols. Primary alcohols and 1,5-diols are oxidized to yield secondary alcohols and cyclic lactones, respectively (Scheme 30). A high chemo- and regioselectivity was observed for the oxidation of 1,2-diols, triols and tetraols using the chiral palladium-based catalyst 2 bearing a pyridinyl oxazoline (pyOX) ligand (Scheme 31) [ref. 110].


5-Hydroxy-2(5H)-furanone (HFO)
5-Hydroxy-2(5H)-furanone (HFO) is an interesting C4 platform which is formed from furfural by oxidation. Han and co-workers developed an electrocatalytic strategy for the synthesis of HFO from furfural [ref. 111]. The very important and key bioactive compound HFO was formed by using water as an oxygen source and chalcogenides such as CuS, ZnS, or PbS as electrocatalysts. CuS nanosheets gave the best performance, with high selectivity towards HFO (83%) and high conversion of furfural (70%) (Scheme 32).

Yuan et al. [ref. 112] reported the synthesis of γ-butyrolactone (GBL) by the hydrodeoxygenation of HFO prepared by photocatalytic conversion of furfural. HFO is converted to GBL by two pathways: the first one is dehydration over mesoporous solid acids and the second one is a metal-catalyzed hydrogenation. HFO was obtained in 85% yield and its conversion rate to GBL was about 97%. Different bifunctional Pt-based solid acids were used. An overall GBL yield of 82.7% from furfural was obtained (Scheme 33).

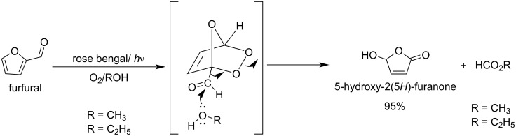
Gollnick and Griesbeck reported the tetraphenylporphin-photosensitized oxygenations of furan and derivatives in non-polar aprotic solvents, yielding the corresponding monomeric unsaturated secondary ozonides through a (4 + 2) cycloaddition of singlet oxygen onto the diene linkage of the furan ring. The attack of a hydroxy group on the carbonyl group of the ozonide triggers the formation of HFO in high yields (>90%) (Scheme 34) [ref. 113–ref. 115].

Kailasam and co-workers reported a heterogeneous photocatalytic oxidation of furfural towards HFO and maleic anhydride (MAN) [ref. 116]. This conversion is performed under simulated solar light and molecular O2 as the oxidant, and mesoporous carbon nitride (SGCN) as the photocatalyst. The latter showed excellent photoconversion (>95%) of furfural with 33% and 42% selectivity of HFO and MAN, respectively (Scheme 35). Xiao et al. developed this method and suggested that the Fe2B2 can be used as electrocatalyst for the production of furanoic acid and HFO with potentials of −0.15 V and −0.93 V, respectively [ref. 117].

Chavan et al. reported a simple and efficient method for the synthesis of HFO from furan by using oxone as oxidant (Scheme 36a) [ref. 118]. Before this study Kumar et al. also synthesized HFO from furan by thermocatalytic oxidation (Scheme 36b) [ref. 119]. Salomon and co-workers reported the conversion of 2-substituted furans to HFO using NaClO2 as oxidizing agent (Scheme 36c) [ref. 120].

The conversion of furfural to HFO by a dye-sensitized photooxidation reaction with oxygen in alcoholic medium has also been reported (Scheme 37) [ref. 121–ref. 122].

Riguet synthesized γ-lactams through a Ugi 4-center 3-component reaction (U-4C-3CR) protocol. HFO was used as the electrophile in the Friedel–Crafts (FC) alkylation reactions of indole catalyzed by diphenylprolinol silyl ether. The high reactivity of HFO permitted that a limited loading of catalyst could be employed. The reduction of the Friedel–Crafts adduct gave the targeted indoyl lactones with good yield (Scheme 38) [ref. 123].

Bos and Riguet reported the one pot synthesis of α,γ-substituted chiral γ-lactones from HFO. The reaction involves the enantioselective organocatalyzed transfer of boronic acid to HFO followed by an intramolecular diastereoselective Passerini-type reaction. Varying the boronic acid enabled to reach high yields (Scheme 39) [ref. 124].

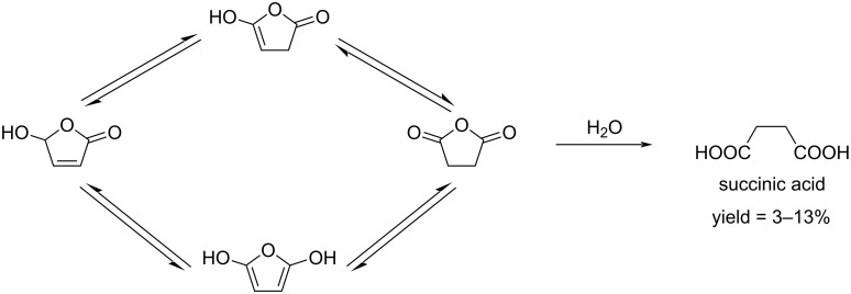
The tautomeric transformation of HFO to cis-β-formylacrylic acid was reported by Strizhov et al. [ref. 125]. The liable equilibrium transformation requires precisely pH-controlled conditions. In neutral medium, the furanone is in the form of its cis tautomer, while upon a slight increase in the pH, its cyclic original tautomer undergoes a ring opening with the formation of protonated forms (Scheme 40). HFO can be hydrolyzed to succinic acid, however, it is a slow process in aqueous solution. In NaOH solution at pH 9–10, a complete conversion of HFO to succinic acid is rapidly achieved (Scheme 41) [ref. 126].


Substitution and condensation reactions of HFO (crude from furfural oxidation without isolation) produce 5,5′-oxybis(furan-2(5H)-one) and 5,5 ‘-(oxybis(methylene))bis-2-furfural [ref. 127–ref. 129] (Scheme 42, path a). The antimicrobial agent 5-chloro-2(5H)-furanone was synthesized by reaction of HFO with thionyl chloride in 30% yield [ref. 130], or with phosphorus chloride in 70% yield (Scheme 42, path b) [ref. 131]. 5-Acetamido-2(5Н)-furanone is obtained in 20–40% yield when acetamide reacts with 5-bromo- or 5-ethoxy-2(5H)-furanone [ref. 132–ref. 135], while 5-acetamido-2(5Н)-furanone and 5-benzoylamido-2(5H)-furanone were obtained in 48% and 55% yield, respectively, by reaction of HFO with benzoic acid amide or furan-2-carboxamide in 1:1 molar ratio at 70 °C for 4–8 h (Scheme 42, path c) [ref. 132]. The reaction of HFO with 2-methylfuran in a 1:2.2 molar ratio in diethyl ether solution at room temperature in the presence of catalytic amounts of perchloric acid for 5 hours led to the formation of gem-bis-4,4-(5-methyl-2-furyl)-2-butenoic acid in 13% yield (Scheme 42, path d) [ref. 131].

Industrial chemicals with four carbon structures like pyrrolidines, 1,4-butanediol, maleic acid, and butyrolactone are often petroleum-based. However, developing sustainable biomass-derived routes for these compounds remains challenging. In a significant advancement, Shrotri et al. demonstrated an efficient catalytic process for synthesizing C4 chemicals from biomass-derived hydroxymethylfurfural (HMF) using a TS-1 catalyst under mild reaction conditions [ref. 136]. Their work showed that HFO, when processed at moderate temperatures (100–150 °C), could be selectively converted into valuable C4 products with remarkable yields: maleic acid and γ-butyrolactone were both obtained in 93% yield, while 1,4-butanediol, tetrahydrofuran, and 2-pyrrolidone were produced in 60%, 64%, and 67% yields, respectively (Scheme 43a). In this field, Badovskaya and co-workers chose the anodic oxidation of HFO with H2O2 using electrodes made of graphite and LiClO4 as supporting electrolyte at 50 °C and 0.03 A current, providing maleic acid in 63% yield (Scheme 43b) [ref. 129].

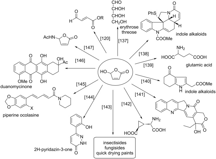
There are other important conversions of HFO serving as a C4 building block applied in the synthesis of many different substances. These are summarized in Figure 3 below [ref. 120,ref. 137–ref. 147].

Other furanones
Several other furanones are key intermediates towards important chemicals. For example, the direct oxidation of furfural under aerobic conditions provides maleic anhydride via the successive oxidative decarboxylation of furfural to furan, the oxidation of furan to furanone, and the final oxidation of furanone to maleic anhydride in the presence of VOx/Al2O3 catalysts (Scheme 44, route a) [ref. 148]. When using a vanadium phosphorus oxide catalyst (VPO), furoic acid was also found to be a key intermediate (Scheme 44, route b) [ref. 149]. A photocatalytic access to succinic anhydride from furoic acid using catalytic porphyrin H2TPP in the presence of O2 and light was also reported [ref. 150].

Yang and Lv reported the oxidation of furfural to succinic acid in 88% yield under mild conditions using modified hydrophilic acidic metal-free graphene oxide (GO) as solid acid catalyst and H2O2 as an oxidant [ref. 151]. The suitable acidity of the SO3H group on the graphene oxide support is crucial for the selectivity of the oxidation. The use of the Lewis acidic Sn-Beta was also reported for this reaction providing succinic acid in 53% yield. Sn-Beta accelerated the Baeyer–Villiger oxidation of furfural to the 2(3H)-furanone intermediate by activating furfural (Scheme 45) [ref. 152]. Two methods, one using CO under palladium catalysis, and one using electrocatalysis and CO2 have been reported to produce furandicarboxylic acid (FDCA) from bromofuroic acid [ref. 153–ref. 154].

A combined electro-, photo-, and biocatalytic approach to several different C4 chemicals from furfural, including maleic acid, ᴅ-malic acid, ʟ-malic acid, fumaric acid, and ʟ-aspartic acid has been reported (Scheme 46). Maleic acid was produced in 97% yield through the electrochemical oxidation of furfural with 4-acetamido-2,2,6,6-tetramethylpiperidine-N-oxyl (ACT) and the photooxygenation with eosin Y (EY). Maleic acid was then selectively converted to ᴅ-malic acid, ʟ-malic acid, fumaric acid and ʟ-aspartic acid by biocatalysis in 91%, 79%, 94%, 97% yield, respectively, in the presence of enzymes such as maleate hydratase, maleate cis–trans isomerase, fumarase, or ʟ-aspartase [ref. 155].

C5 biobased carbonyl platforms
Furfural
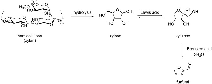
Furfural is a versatile biobased C5 platform molecule which plays an important role in the biorefining industry. It was first isolated in 1832 by the German chemist Johann Wolfgang Döbereiner, and its structure was determined in 1901 by German chemist Carl Harries. In 1922, the Quaker Oats Company produced furfural on a large scale using oat hulls. Since, many efforts have addressed several issues of the original industrial process, such as low yield, high energy consumption, difficult treatment of acidic aqueous waste and other wastes. Furfural is now produced on an industrial scale in batch or continuous reactors from lignocellulosic resources such as bagasse, corncobs, stalks, switchgrass and hardwoods [ref. 156–ref. 162], thanks to preliminary selective dissolution and depolymerization of hemicellulose into pentose sugars. Deep eutectic solvents were recently shown to allow fractionation of lignin and production of furfural from lignocelluloses [ref. 163]. The hydrolysis and dehydration process of hemicellulose can be accomplished in water or in aqueous-based biphasic systems in the presence of mineral acids (such as H2SO4, HCl) and organic acids (such as HCOOH, CH3SO3H). The acid catalysts used for furfural production range from homogeneous catalysts such as mineral acids, organic acids, metal salts (with high availability and low costs) to heterogeneous ones such as zeolites, metal oxides, sulfonated polymers, carbon-based solid acids. The latter allow to overcome the problems of separation encountered with homogeneous catalysis. The mechanism first involves the isomerization of xylose into xylulose under Lewis acid-type catalysis, and the subsequent dehydration of xylulose into furfural under Brønsted acid-type catalysis (Scheme 47).

Humins are naturally formed in all processes involving the acid-catalyzed degradation of carbohydrates [ref. 164–ref. 165]. Attempts to improve the balance between furfural and humins in high feed of starting xylose have been reported, for example by addition of choline chloride which is beneficial to the transformation of xylose to furfural in the presence of HCl (Scheme 48). The faster furfural formation rate is due to the formation of an intermediate choline xyloside which undergoes easier dehydration than xylose itself [ref. 166].

The examples given in the following sections illustrate the extremely vast range of reported transformations [ref. 160,ref. 167–ref. 176] of furfural toward useful biobased functional compounds or intermediates with applications in fuels, polymer chemistry and fine organic synthesis (CH activation, Piancatelli rearrangement, etc.).
Conversion of furfural to alcohols, aldehydes and ketones: One of the most important transformations of furfural is its hydrogenation to produce furfuryl alcohol. This latter is a versatile intermediate for the production of resins, coatings, polymers and used as a solvent. It can also be converted into other chemicals through oxidative cleavage, over-reduction and etherification (Scheme 49) [ref. 177].

Zhang et al. reported the use of Lewis acid–base bifunctional catalyst (Zr-β zeolite and K2CO3) in the Meerwein–Ponndorf–Verley reduction of a concentrated furfural solution (17.3–80.5 wt % in ethanol) combined with in situ cross-aldol condensation with acetaldehyde and crotonization. Ethanol was used as hydrogen donor for the Meerwein–Ponndorf–Verley reduction, while acetaldehyde is generated in situ by ethanol oxidation (Scheme 50). The equilibrium allows furfural to be simultaneously converted into furfuryl alcohol and 3-(2-furyl)acrolein in one pot through a redox reaction. The highest mass conversion rate of furfural can reach up to 95.3 g·L−1·h−1 [ref. 178].

While furfural oxidation is an important way to reach C4 platforms such as HFO [(see section 5-Hydroxy-2(5H)-furanone (HFO)], interesting C5 platforms can also be obtained. An example is the work by Shi et al. who reported the aerobic oxidative condensation of furfural with linear alcohols using Cu2O–LiOH catalytic system or under oxygen, thus achieving a carbon-chain increase from C5 to C7–11 with potential applications in the field of liquid fuels. The conversion of furfural is up to 99.9%, while the selectivity of the corresponding aldehyde is up to 96.9%. The catalyst could be recovered and reused five times without significant loss of activity (Scheme 51) [ref. 179].

Furfural can be converted to 2-pentanone via simultaneous hydrodeoxygenation, ring-opening, and hydrogenation reactions under catalysis by a bimetallic Cu–Ni/SBA-15 catalyst in a fixed-bed continuous flow reactor. The moderate acidity and the hierarchical tube-type porous nature of SBA-15, as well as the adsorption energy on the surface of 10Cu–5Ni/SBA-15 catalyst, are the key parameters for giving 2-pentanone with high selectivity (78%) (Scheme 52) [ref. 180].

Wang developed a new route for the production of jet fuel precursors through the electrocatalytic highly selective coupling reaction of furfural and levulinic acid. The Ni2+ species serves as the active site for the coupling process (Scheme 53) [ref. 181]. A similar strategy involving phenolic compounds and furfural allowed the production of bicyclic alkanes, used as fuel additives, by hydrodeoxygenation catalyzed by iridium/rhenium oxide supported on silica [ref. 182].

Conversion of furfural to amines: The synthesis of m-xylylenediamine from furfural and acrylonitrile through a Diels–Alder/aromatization sequence was developed by Wischet and Jérôme [ref. 183]. 2-(Furan-2-yl)-1,3-dioxolane with higher reactivity was generated through the acetalization of furfural with ethylene glycol, and converted to Diels–Alder cycloadducts in the presence of acrylonitrile at 60 °C. Treatment of the Diels–Alder adduct in basic conditions allowed the rearomatization of the system in favor of meta isomer. Acidic cleavage followed by reductive amination afforded m-xylylenediamine (Scheme 54).

Tetrahydrofuran-derived amines were prepared from furfural via a one-pot two-step reaction. The condensation of furfural with ketones over Amberlyst-26 as catalyst produced intermediate furan-derived enones. Subsequent reductive amination was performed in the presence of ammonia or amines and Pd/Al2O3 under H2 pressure, providing the tetrahydrofuran-derived amines [ref. 184]. The same catalytic system could allow the one-pot preparation of tetrahydrofuran-derived secondary and tertiary amines from furfural and amines with total reduction of the aromatic ring, as reported by Pera-Titus and De Oliveira Vigier (Scheme 55) [ref. 185].

A 2018 study reported the aza-Piancatelli reaction of furfural and secondary amines in deep eutectic solvent based on the ChCl–urea mixture furnishing trans-4,5-diamino-cyclopent-2-enones and 2,4-diaminocyclopent-2-enones [ref. 186]. In 2021, Coelho and Afonso prepared a silica-supported copper catalyst (Cu/SiO2-N2) by impregnation with copper nitrate, and used it for the reaction of furfural with secondary amines (alkyl, cyclic and aromatic) to produce trans-4,5-diaminocyclopent-2-enones in hexane/isopropanol solvent mixture under continuous flow conditions (Scheme 56). The scope could be extended to 2-substituted trans-4,5-diaminocyclopent-2-enones by using 3-substituted furfurals [ref. 187]. A copper triflate-based analogous strategy was also reported [ref. 188].

Conversion of furfural to pyrrole and proline: Zhou and Yan reported a route bridging commercial biomass feedstock with high-value N-containing chemicals through pyrrole as a hub molecule. Furfural was converted into pyrrole in 75% yield via tandem decarbonylation–amination reactions over tailor-designed Pd@S-1 and H-beta zeolite catalytic system, exhibiting high resistance to coking in presence of NH3. Subsequent carboxylation with CO2 and hydrogenation over Rh/C as catalyst led to racemic proline, an important precursor for pharmaceuticals, in quantitative yield. ᴅ-Proline was then obtained in 50% yield and 99% ee after kinetic resolution using Escherichia coli (Scheme 57) [ref. 189].

Other reactions: Yamamoto synthesized 6-hydroxy-2-(trifluoromethyl)-2H-pyran-3(6H)-ones from furfural via trifluoromethylation using the Ruppert–Prakash reagent (TMSCF3), followed by a photo-Achmatowicz reaction. Then, through acetylation and subsequent base-mediated oxidopyrylium [5 + 2] cycloaddition reactions, 1-(trifluoromethyl)-8-oxabicyclo[3.2.1]oct-3-en-2-ones were prepared (Scheme 58) [ref. 190].

Chu and Webster reported the photocatalyzed synthesis of furfural-derived diacids from furfural [ref. 191–ref. 192]. Furfural first was reacted with malonic acid to produce trans-3-(2-furyl)acrylic acid in a Knoevenagel reaction, which was then converted into cyclobutane-containing diacids through a [2 + 2] photoreaction. cis-3,4-Di(furan-2-yl)cyclobutane-1,2-dicarboxylic acid (CBDA-2) prepared under blacklight UV irradiation was proven to be thermally, chemically and sunlight stable. The esterification of trans-3-(2-furyl)acrylic acid with ethanol, provided (1α,2α,3β,4β)-2,4-di(furan-2-yl)cyclobutane-1,3-dicarboxylic acid (CBDA-5) via a solvent-free [2 + 2] photodimerization from ethyl 2-furanacrylate and subsequent hydrolysis (Scheme 59).

Furfural was employed as starting scaffold in a protocol developed to form acetals as fuel additives. The acyclic acetal is generated in situ from crude furfural with propanol in dimethyl carbonate using a nanoporous aluminosilicate material Al-13-(3.18) as catalyst, and then undergoes transacetalization with glycerol to produce a mixture of corresponding dioxane and dioxolane products (Scheme 60) [ref. 193].

Another strategy was proposed to synthesize potential aviation biofuels from furfural and 5,5-dimethyl 1,3-cyclohexanedione in water or under solvent-free conditions (Scheme 61). The obtained hydrocarbons exhibited higher density (0.78–0.88 g/cm3) and higher net heat of combustion (44.0–46.0 MJ/kg) than some commonly commercial fuels [ref. 194].

Multicomponent reactions involving the reactivity of furfural are also noteworthy. A Ugi four-component polymerization was developed to synthesize photoluminescence-active polyamides from renewable furfural and 2,5-furandicarboxylic acid with diamine and isocyanide (Scheme 62). The intramolecular hydrogen bonding between the secondary amide and furan oxygen atom promote the strong fluorescence of the polyamides. These furfural-based polyamides possess unusual intrinsic luminescence and high and selective affinity towards Fe2+ and Fe3+ metal ions, which could be used as fluorescent probes in the biomedical field [ref. 195].

Heptamethine cyanine Cy7 is a very important class of intermediates in the fields of biology and photomedicine. The introduction of substituents to the seven-methine carbon chain of Cy7 influences its optical properties and ability to interact with biomolecules. A one-pot synthesis of γ-acyloxy-Cy7 from renewable furfural, simple anhydrides, and a quaternary ammonium salt under smooth conditions was reported (Scheme 63). Partial γ-acyloxy-Cy7 possesses a high fluorescence quantum yield and high photothermal conversion efficiency in PBS, two pivotal parameters in fluorescence imaging and image-guided photothermal therapy [ref. 196].

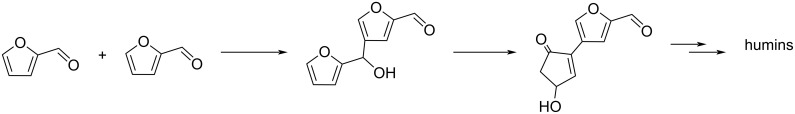
A dimerization of furfural has been found to occur at the early stage of formation of humins, arising from a nucleophilic attack of a furan carbon atom of one furfural molecule onto the aldehyde of a second one, giving 2-(4-furfur-2-al)-4-hydroxy-2-cyloepenten-1-one (Scheme 64), resulting from a Piancatelli rearrangement. This latter can further evolve towards more complex humin precursors by etherification and aldol reactions [ref. 197].

Cyclopentanone (CPN)
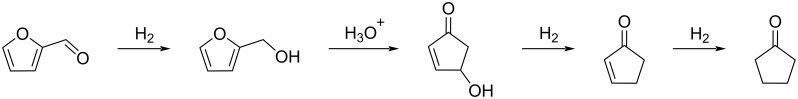
Cyclopentanone (CPN) can be prepared by catalytic hydrogenation and Piancatelli rearrangement of furfural (Scheme 65). This is a biobased alternative to the fossil-based process relying on the intramolecular decarboxylative cyclization of adipic acid. In the biobased reaction from furfural to CPN, the key points influencing the selectivity and yield are the choice of metal catalyst, hydrogen pressure and supporting acidic materials [ref. 168,ref. 198]..When carried out in aqueous medium, the reaction was found to provide better selectivity by limiting the generation of other hydrogenation products than in organic solvents [ref. 199]. Since this new route to CPN from furfural was reported in 2012, many catalysts have been proposed for promoting this reaction. Recent works include heterogeneous systems based on cobalt [ref. 200], nickel [ref. 201], copper [ref. 202] or palladium [ref. 203]. Biobased CPN can also be directly obtained from C-5 carbohydrates. For example, Zhang and Li recently reported a two-step route directly from xylose (or hemicellulose) going through cyclopentenone as intermediate. A subsequent hydrodeoxygenation/dehydrogenation sequence led to cyclopentadiene, or methylcyclopentadiene upon additional aldol condensation with in situ generated formaldehyde, both highly useful intermediates for the production of high-energy-density rocket fuels and polymers [ref. 204].

Conversion of CPN to hydrocarbons: CPN can be used as a precursor to produce high-octane diesel or jet fuel additives through aldol condensation/hydrogenation sequences. The acyclic or cyclic chain hydrocarbons can be formed under hydrodeoxygenation conditions after aldol extension of the C–C chain. Dimers and trimers can be obtained from CPN by self-condensation and converted to C10 and C15 alkane fuels (bicyclopentane, tricyclic alkane and spirocyclic alkane) through hydrodeoxygenation [ref. 205–ref. 210].
A cycloalkane with a density of 0.89 g/cm3 and a freezing point below −60 °C was prepared from CPN and lignin-derived vanillin. An overall yield of 95.2% of mono- and di-condensation products was obtained at 100 °C over ethanolamine lactate ionic liquid (LAIL). The condensation products were converted into jet fuels range cycloalkanes through aqueous phase hydrodeoxygenation (HDO) by using 5% Pd/Nb2O5 catalyst (Scheme 66) [ref. 211].

A new route to novel high-performance aviation fuels driven by solar energy such as non-symmetrical polycyclic hydrocarbons has been proposed by using a photosensitized Conia reaction of ketones and norbornene (Scheme 67) [ref. 212]. The hydrocarbons derived from CPN and cyclohexanone endow high density of 0.935 and 0.941 g mL−1, respectively, much higher than conventional aviation kerosene (0.78 g mL−1).

Conversion of CPN to cyclopentylamines and alcohols: Gong and Wang revealed the potential of cobalt oxide catalysts for the production of primary amines via reductive amination of CPN (Scheme 68) [ref. 213]. CoO species with oxygen vacancies on the surface have a unique ability to dissociate NH3 and generate hydrogen-like species (NH2δ−), thus accelerating the ammonolysis of the Schiff base to produce the corresponding primary amine. Cyclopentylamine was generated from CPN in 96% yield over a core‐shell‐structured Co@CoO catalyst at 80 °C under 0.3 MPa NH3 and 2 MPa H2. The reaction could be carried for 10 catalytic cycles without deactivation.

Zhang developed a transition-metal copper-catalyzed chemoselective asymmetric hydrogenation of the carbonyl group in exocyclic α,β-unsaturated cyclopentanones. Chiral exocyclic allylic pentanols (a versatile scaffold for bioactive molecules) with up to 99% yield and 96% ee were prepared (Scheme 69). The large electron-donating groups of 3,5-di-tert-butyl-4-methoxyphenyl (DTBM) improved the activities of the CuI–thiophene-2-carboxylate catalyst (CuTc) while the use of (R)-DTBM-GarPhos as the chiral ligand led to excellent enantioselective induction during the hydrogenation step. Higher H2 pressure could promote the regeneration of Cu–H species [ref. 214].

Levulinic acid (LEV)
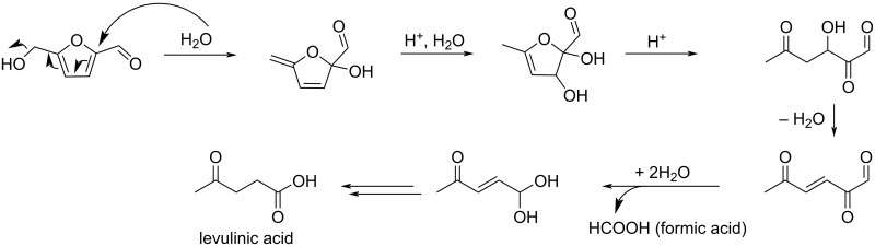
Levulinic acid is a biodegradable C5 carboxylic acid with high potential as a platform chemical in the field of polymers, fuels, pharmaceuticals or high added value chemicals [ref. 215–ref. 223]. Its first commercial production began in the 1940s. Its preparation from biomass involves several different possible pathways. One is the C5 sugar route starting from xylose as an example, relying on acid hydrolysis of hemicellulose, dehydration to furfural, hydrogenation into furfuryl alcohol and final hydrolysis to levulinic acid (Scheme 70, route a). The second route is the acid-catalyzed multistep conversion of polysaccharides into C6 monosaccharides (glucose and fructose), followed by dehydration to 5-HMF, and then rehydration into levulinic acid (Scheme 70, route b1). It is now preferred considering raw material costs, process efficiency and market demand. Alternatively, C6 monosaccharides can also be fermented to produce pyruvic acid and acetaldehyde, which combine by an aldol reaction and lead to levulinic acid by isomerization and hydrogenation (Scheme 70, route b2).

The accepted mechanism of the rehydration of HMF under acidic conditions leading to the formation of levulinic acid and formic acid proposed by Horvat [ref. 224] is depicted in Scheme 71.

Levulinic acid can be converted into various derivatives, such as esters, amides, lactones, acrylic acid, etc. (Scheme 72) and is therefore a key intermediate in the synthesis of pharmaceuticals, agrochemicals, and other specialty chemicals. Levulinate esters, used as a solvent or as biofuels, are obtained by esterification under acid catalysis, e.g., with a sulfuric acid-modified ultra-stable Zeolite Y (SY) [ref. 225] or PdNPs-TiO2/Al2O3/SiO2 [ref. 226].

Conversion to other carboxylic acids: Valeric acid (VA) and valerate esters (VEs), also named pentanoic acid or esters, are targeted as fuel additives and value-added chemicals. They are obtained by hydrogenation of levulinic acid using a wide range of noble or non-noble metal catalysts [ref. 227]. For example, treatment of levulinic acid under vapor phase in a continuous fixed-bed with bifunctional mesoporous SBA-15 doped with metals such as Nb, Ti, and Zr having hydrogenation centers and acidic sites led to VA, with GVL and alkyl levulinates obtained as by-products [ref. 228]. Xue and Wu reported the electrocatalytic reduction of levulinic acid to VA using a nanocrystalline PbO–In2O3 composite material as working electrode in an H-type electrolytic cell [ref. 229], while Shen used bimetallic In–Pb electrocatalysts [ref. 230], and Tao applied a β-PbO/Pb electrode [ref. 231]. Another example reported by the Akula group developed a direct conversion of levulinic acid to VA at 270 °C and ambient H2 pressure in a continuous flow fixed-bed reactor (Scheme 73) in the presence of Brønsted-acidic material H-ZSM-5-supported W-modified Ni catalyst. The mechanism involves a ring opening of GVL at the Brønsted acidic sites, while the β-proton abstraction occurs on the support surface basic sites [ref. 232].

Catalytic aerobic oxidation of levulinic acid towards dicarboxylic acids is a way to obtain monomers for the manufacture of biobased polymers. For example, citramalic acid was obtained with up to 95% selectivity over acetic acid and succinic acid using a low-cost reusable heterogeneous RuOx/C and CaO binary catalyst at 90 °C (Scheme 74) [ref. 233]. Levulinic acid can also be efficiently converted into succinic acid [ref. 234–ref. 235].

Conversion to 1,4-pentanediol or 2-butanol: 1,4-Pentanediol, a useful raw material for the synthesis of polyesters, biofuels and other chemicals, can be obtained from LEV by catalytic hydrogenation. Non-noble metal hydrogenation catalysts are generally more challenging in promoting the conversion of levulinic acid to 1,4-pentanediol because they are more prone to corrosion compared with noble-metal catalysts. This has encouraged the design of highly active and more stable heterogeneous non-noble metal-based catalysts able to tolerate the presence of carboxylic acids, such as those listed in Scheme 75 [ref. 236–ref. 240].

In 2021, Wang reported the high efficiency of the non-precious bimetallic catalyst Ni–Mn in the selective hydrogenolysis of levulinic acid to 2-butanol in 82.5% yield under 5 MPa H2 at 240 °C (Scheme 76) [ref. 241]. The high basicity of the Ni–Mn catalyst results in a good affinity with the C=O or COOH groups of levulinic acid-derived molecules. The same group later reported a more active heterogeneous catalyst, Ru–MnOx/Al2O3, providing 2-butanol with yields up to 98.8% [ref. 242].

Conversion to 2-methyltetrahydrofuran: 2-Methyltetrahydrofuran is a promising biofuel with high energy density, high stability and low miscibility with water. Investigations of the catalytic transformation of levulinic acid to 2-methyltetrahydrofuran over bimetallic NiCo/γ-Al2O3 catalyst or Ni phyllosilicates have shown that high temperature, high pressure and low selectivity are still important limitations [ref. 243–ref. 244].
Reductive amination of levulinic acid: The reductive amination of levulinic acid and its esters leads to the formation of N-substituted 5-methyl-2-pyrrolidinones (5MPs) which are used in many fields including pharmaceutical and dye industries. Zhang reviewed the synthesis of 5MPs from levulinates and different substituted amines under metal catalysis or catalyst-free conditions, using hydrosilane, formic acid, hydrogen, MeOH or HCOOH/Et3N as reducing sources [ref. 245]. The type and recyclability of catalysts, the nature of supports, reaction conditions, and reactors play important roles in the sustainability of the conversion of levulinic acid to 5MPs. A well-accepted route from levulinic acid to 5MPs is shown in Scheme 77.

Recent examples of LEV to 5MPs conversions include the use of a ruthenium ion supported on ionic liquid immobilized into graphene oxide (Ru@GOIL), polyvinylpyrrolidone-stabilized metal nanoparticles (Ir–PVP), palladium catalysts synthesized via wet impregnation or Co–M bimetallic C–N doped catalyst (Co–Zr@Chitosan-20) [ref. 246–ref. 249]. An efficient method for preparing N-free 5-methyl-2-pyrrolidone from levulinic acid was developed by Li and Yang using formamide as nitrogen source and formic acid as hydrogen source via transfer hydroamination/amidation and cyclization under quasi solvent-free and catalyst-free conditions [ref. 250]. Song and Han designed TiO2 nanosheets-supported Pt nanoparticles (Pt/P-TiO2) as porous heterogeneous catalysts with high acidity and low electron density at the Pt sites. Using H2 as the hydrogen source, such catalysts exhibited high activity for the conversion of LEV to 5MP, being able to promote the formation of a variety of N-substituted pyrrolidones at room temperature in excellent yields [ref. 251]. In 2022, Liu and Wei synthesized N-substituted 5-methyl-2-pyrrolidinones from levulinic acid/esters and various amines in high yields (80–99%) over 0.05 mol % of an N-doped mesoporous carbon-supported Ru catalyst (Ru/NMC) at 120 °C and 1.5 MPa H2 [ref. 252].
Liu and Wang reported the selective reductive amination/cyclization of levulinic acid with primary arylamines in the presence of polymethylhydrosiloxane (PMHS) to N-substituted arylpyrroles in a yield range of 35–93%. The 18-crown-6 ether coordinates the cesium ion, thus increasing the nucleophilicity of the fluoride anion. The F− anion contributes to the activation of the hydrosilane during the reduction step (Scheme 78) [ref. 253].

The asymmetric reductive amination of levulinic acid with ammonium acetate can be achieved using commercially available chiral Ru/bisphosphine catalysts, giving 5MPs with excellent enantioselectivity (97% ee) and isolated yield (85%). The chiral 5MPs can then be further functionalized by N-alkylation without loss of enantioselectivity (Scheme 79) [ref. 254].

Xu and Zheng prepared a non-natural chiral γ-amino acid from levulinic acid in biocatalytic conditions using an engineered amine dehydrogenase PmAmDHI80T/P224S/E296G, obtained from a thermophilic bacterium (PmAmDH) by direct evolution in the presence of NaDH. This process leads to (S)-4-aminopentanoic acid with >99% ee and 90% yield at 40 °C, and an 18-fold increase in the catalytic efficiency compared with the wild-type enzyme (Scheme 80) [ref. 255].

Huang and Lu reported that levulinic acid and hydrazine hydrate can react without a catalyst and in quantitative yield within few minutes in water at room temperature to form the 4,5-dihydro-6-methylpyridazin-3(2H)-one (DHMP) platform, in a fashion similar to a click reaction. DHMP can be further selectively converted into pyrrolidine and (alkyl)-pyridazinone through reductive denitrification, dehydrogenation and hydroxyalkylation reactions (Scheme 81) [ref. 256].

γ-Valerolactone (GVL)
γ-Valerolactone (GVL) is a representative cyclic ester derived from levulinic acid that is commonly used as a biobased solvent with high boiling point (207 °C) able to replace NMP or DMF, and as a chemical platform in various industrial applications [ref. 257]. Catalytic production of GVL relies on a dehydration–hydrogenation sequence from levulinic acid via an α-angelica lactone intermediate (Scheme 82) [ref. 258]. This has been a hot topic in the past decade with many efficient strategies using various catalysts involving metals such as platinum [ref. 259–ref. 260], ruthenium [ref. 261], titanium [ref. 262] or copper [ref. 263] as well as other bimetallic species (Ni/Ru, Ni/Mo, Ni/Zn, etc.) [ref. 264–ref. 268] or in alternative solvents [ref. 269].

Studies targeting enantiomerically enriched γ-valerolactone have been also reported. For example, the Bhanage group reported the use of a ruthenium-catalyzed asymmetric transfer hydrogenation of levulinic acid to (R)-γ-valerolactone with 93% enantiomeric excess (ee). Using N-methylpiperidine with formic acid as an available hydrogen donor and Noyori’s chiral catalyst (Ru-(R,R)-TsDPEN), this route led to 98% LEV conversion. The direct transformation of LEV obtained from a “raw biomass” resource such as rice husk and corn straw, to optically active GVL was performed by asymmetric hydrogenation with good enantioselectivity (82% ee) (Scheme 83) [ref. 270]. Deng and Fu reported the nickel-catalyzed asymmetric hydrogenation of aliphatic ketoacids to chiral γ- and δ-alkyl-substituted lactones. A robust and highly active homogeneous chiral nickel–phosphine catalyst (Ni(OTf)2 with (S,S)-Ph-BPE) as chiral ligand afforded the chiral lactones in up to 98% yield with 95% ee. A ten-gram scale reaction from LEV to chiral GVL (96% ee) was achieved in the presence of only 0.02 mol % catalyst loading (Scheme 84). (S)-GVL could be also obtained by using (R,R)-Ph-BPE [ref. 271]. The same group used a nickel–phosphine complex [ref. 272] or a combination of nickel phosphine complex and metal triflate, both in solvent-free conditions [ref. 273].


Uses of GVL in polymer chemistry: GVL is a useful building block for the synthesis of polyesters and other polymers. Kalevaru and de Vries reported the ring-opening reaction of GVL with methanol over ZrO2/SiO2 as catalyst in a continuous gas-phase process with 95% conversion towards methyl 2-, 3-, and 4-pentenoate (81% in favor of M4P). Methyl 4-pentenoate was then converted into methyl 5-formylvalerate with 90% selectivity, leading to subsequent generation of ε-caprolactam (the monomer of nylon-6) via reductive amination and ring closure (Scheme 85) [ref. 274].

Kim and Han developed a protocol for the synthesis of nylon 6.6 from GVL. After esterification of GVL to methyl-3-pentenoate, subsequent metathesis of methyl-3-pentenoate afforded dimethyl hexenedioate. Upon hydrogenation, this alkene was converted into dimethyl adipate, which, under hydrolysis provided adipic acid. The final step was the polymerization of adipic acid to nylon 6,6 in the presence of 1,6-hexanediamine (Scheme 86) [ref. 275].

GVL can be transformed into α-methylene-γ-valerolactone (MeGVL), an interesting monomer, that can provide a material with properties similar to the widely used poly(methyl)methacrylate when subjected to visible-light-induced polymerization. Under the action of a base like a beta (Si/Al = 150) zeolite, MeGVL can be formed by nucleophilic attack of the carbon atom at α-position of GVL on formic acid, arising from the decomposition of trioxane (Scheme 87) [ref. 276].

Hong reported the conversion of GVL to polythioesters via the isomerization-driven ring-opening polymerization (IROP) of thionolactone intermediates (TnGVL) using [Et3O]+[B(C6F5)4]− as cationic initiator [ref. 277–ref. 278]. The enantiopure TnGVL undergoes an inversion of configuration during the IROP process through a SN2 ring-opening mechanism. The method provided a highly isotactic semi-crystalline thermoplastic (Scheme 88).

Ionic liquids from GVL
Ionic liquids are innovative environmentally benign reaction media due to their extremely low vapor pressure and easily tunable properties. In 2018, Mika synthesized GVL-based ionic liquids from GVL and tetrabutylphosphonium [TBP] or tetraphenylphosphonium [TPP] hydroxides in excellent yield (Scheme 89). These phosphonium-based ionic liquids showed better thermal stability than their ammonium analogues. Their usefulness was illustrated in industrially important transformations such as the copper-catalyzed Ullmann-type coupling reaction [ref. 279] or the Sonogashira coupling of aryl iodides and functionalized acetylenes [ref. 280].

GVL towards biofuels: An important application of GVL is to produce butene by decarboxylation reaction for liquid fuels application. For example, Xin and Zhang reported a one-pot conversion of GVL to butene in 98% yield with 99.5% GVL conversion involving the catalytic decarboxylation of GVL at 300 °C in the presence of high aluminum content beta zeolite (Scheme 90) [ref. 281].

Zeng and Ding targeted C5–C12 gasoline range fuels from GVL in an integrated two-stage fixed-bed catalytic system. In this process, GVL was first converted to a mixture of butene isomers via a ring-opening–decarboxylation sequence, which then oligomerized to gasoline fuels over a nano-HZSM-5 zeolite catalyst (Scheme 91, 1a) [ref. 282]. The same team proposed a direct one-step Cu/HZSM-5 (Si/Al ratio of 15)-catalyzed selective conversion of GVL to C5–C12 hydrocarbon fuels (Scheme 91, 1b) or to pentane fuels (Scheme 91, 2) [ref. 283–ref. 284].

Other reactions of GVL: The Csp3–O bond of GVL can be cleaved leading to a pentenoic acid intermediate, which can then be hydrogenated into ethyl valerate. In this sequence, which is promoted by a H-ZSM-5 supported Ni catalyst, pentenoic acid (not isolated) was generated in situ and was rapidly hydrogenated and esterified to ethyl valerate with 92% selectivity in the vapor phase (Scheme 92) [ref. 285]. Bertero reported the one-pot production of pentyl valerate with high conversion (83.5%) and selectivity (87.8%) in liquid phase over a SiO2/Al2O3-supported Ni-based catalyst (Ni/SA-I) at 523 K under 10 bar of H2 [ref. 286]. Using SiO2/Al2O3-supported Pt-based catalysts with moderate metal loading (1%), a 90% yield of pentyl valerate was obtained with 100% conversion of GVL at 523 K and 10 bar of H2. This process resulted in a high productivity in pentyl valerate (300 mmol/gM·h) [ref. 287].

Alkaline hydrolysis of GVL produces 4-hydroxycarboxylic acid salts. These latter can be used in lipase-catalyzed stereoselective acylation of the 4-hydroxy group [ref. 288]. Using CALB (Novozym 435) as lipase, (R)-4-acyloxypentanoic acids were obtained in a moderate yield (<50%) from racemic GVL after acid hydrolysis of the intermediate salt, with (R)-GVL as by-product (Scheme 93).

The hydrogenation of GVL to pentanediol by bifunctional Cux/Mg3−xAlO nanocatalysts (x = 0.5, 1, 1.5, 2) with excellent catalytic performance has been reported (Scheme 94). Thanks to synergistic effects of the well-dispersed active Cu nanoparticles and the relevant surface basic sites, the process provided 1,4-pentanediol (PDO) with a selectivity over 99% and a GVL conversion of 93% at 160 °C and 5MPa H2 [ref. 289]. Another highly selective and efficient protocol using a Cu/SiO2 triethoxyoctylsilane-modified catalyst was reported by Cappelletti [ref. 290].

The self-Claisen condensation of GVL in the presence of t-BuOK at 25 °C provided a novel cyclic hemiketal platform in 85% yield. Alkylation and reduction of such cyclic hemiketals led to polyols with long chains ranging from C10 to C21 (Scheme 95) [ref. 291].

N-Alkylpyrrolidones, which are promising solvent alternatives to NMP, can be derived from GVL. In an effort aiming at avoiding noble-metal catalysts and high hydrogen pressure, the Zaccheria group has applied a CuO/Al2O3 catalyst which allowed the conversion of GVL to N-alkylpyrrolidone solvents at a 10-bar hydrogen pressure (Scheme 96) [ref. 292].

C6 biobased carbonyl platforms
5-Hydroxymethylfurfural (HMF)
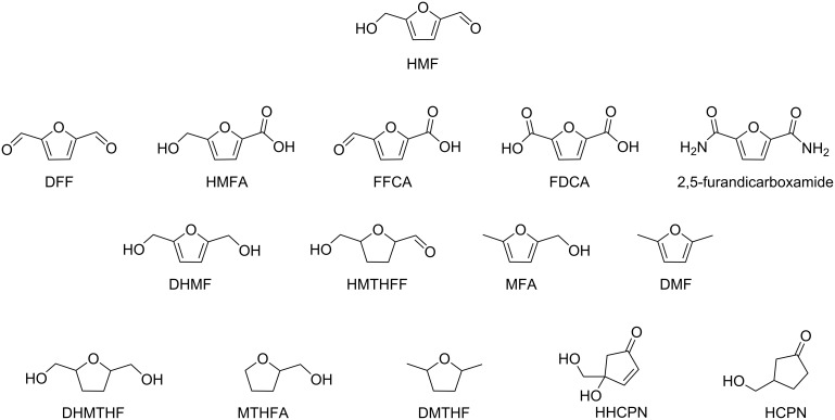
5-Hydroxymethylfurfural (HMF) arises from C6 carbohydrates (or their polymers) or crude lignocellulosic raw materials [ref. 293–ref. 298]. HMF has been added to the updated “Top potential value-added chemicals” list in 2010 by Bozell and Petersen [ref. 215] considering its functional versatility and wide range of applications in fine chemistry. Extensive recent literature publications and reviews demonstrate the importance of HMF in modern chemistry [ref. 299–ref. 302]. Its moderate thermal and chemical stability either under acidic or basic conditions is responsible for the formation of levulinic acid (see section Levulinic acid (LEV), Cannizzaro products (such as 2,5-dihydroxymethylfurfural (DHMF) and 5-hydroxymethylfuranoic acid (HMFA)), oligomerization or humins [ref. 303–ref. 304].
Regarding HMF oxidation, a major topic is the path towards new biobased polymers via the furandicarboxylic (FDCA) platform, when combined with diols or diamines (Figure 4) [ref. 8,ref. 305–ref. 311]. Other oxidation products such as diformylfuran (DFF), hydroxymethyl-2-furanoic acid (HMFA), 5-formyl-2-furancarboxylic acid (FFCA) are also interesting intermediates, as well as the corresponding diamide, resulting in numerous studies and reviews on HMF (Figure 4) [ref. 312–ref. 320]. Several HMF-derived monomers attest its versatile role in polymer chemistry [ref. 321–ref. 323]. On the reduction side, many useful chemical intermediates, such as dihydroxymethylfuran (DHMF), (hydroxymethyl)tetrahydrofurfural (HMTHFF), methylfurfurylalcohol (MFA), dimethylfuran (DMF), dihydroxymethyltetrahydrofuran (DHMTHF), and dimethyltetrahydrofuran (DMTHF) can be also produced by reduction/hydrogenation processes [ref. 324–ref. 327]. The Piancatelli rearrangement of furylmethanols is a route towards cyclopentenones such as 4-hydroxy-4-(hydroxymethyl)cyclopentenone (HHCPN) or 3-(hydroxymethyl)cyclopentanone (HCPN) [ref. 168,ref. 328–ref. 329]. It is important to note that biocatalytic approaches have also been investigated for both the oxidation and reduction senses [ref. 172,ref. 330–ref. 331].

Because many reports have reviewed the formation of the HMF-derived scaffolds (Figure 4), this section will focus on transformations towards alternative fine chemicals, notably through cascade or multicomponent reactions.
Combining atom-economic strategies with biobased platforms offers very interesting options for the innovative design of complex fine chemicals. Queneau and Popowycz investigated the reactivity of HMF in Biginelli reactions, preparing a series of functionalized dihydropyrimidinones in 30–86% yield. The reaction of HMF with ethyl acetoacetate (1 equiv) and urea or thiourea (1 equiv) at 80–100 °C using a catalytic loading of the Lewis acid ZnCl2 (20 mol %), provided respectively 82% and 42% of the corresponding dihydropyrimidinones (Scheme 97) [ref. 332]. Afradi et al. designed a nanocatalyst comprising aspartic acid‑loaded starch‑functionalized Mn/Fe/Ca ferrite magnetic nanoparticles for the efficient synthesis of dihydropyrimidine derivatives in solvent-free conditions [ref. 333].

Queneau and Popowycz also recently reported the use of HMF in the Hantzsch dihydropyridine synthesis in the absence of any additional catalyst. The strategy was applied to a scope of β-dicarbonyl molecules in a three-component procedure leading to a series of symmetrical 1,4-dihydropyridines derived from 5-HMF and in a 4-component protocol which efficiently provided the corresponding unsymmetrical dihydropyridines under remarkably mild conditions (Scheme 98) [ref. 334].

Another multicomponent process involving HMF is the Kabachnik–Fields reaction which provides a variety of furan-based α-aminophosphonates in moderate to excellent yields (31–91%), using a catalytic quantity of iodine in the biobased solvent 2-methyltetrahydrofuran (2-MeTHF). A scope of aliphatic and aromatic amines and various dialkyl phosphonates were well tolerated in this reaction (Scheme 99) [ref. 335].

In 2018, Chen and Wu reported a copper-catalyzed four-component reaction to build oxazolidinones from furfurals, CO2, terminal aromatic alkynes and primary aliphatic amines. A series of 1,3-oxazolidin-2-ones were obtained in 17–84% yield when CuI was used as catalyst. As an example, 50% yield of the 1,3-oxazolidin-2-one product was produced by the reaction of HMF, CO2, propylamine, and phenylacetylene (Scheme 100) [ref. 336].

Rhodamine-furan hybrids were synthesized via one-pot stereoselective reaction in solvent-free conditions by Sabahi-Agabager. Starting from biobased furanic aldehydes (HMF, CMF, furfural), ethyl bromoacetate, carbon disulfide and phenethylamine, a 75% yield of rhodamine-furan hybrids was obtained at room temperature in the presence of Et3N (Scheme 101) [ref. 337].

López and Porcal investigated the reactivity of HMF in the three-component Groebke–Blackburn–Bienaymé reaction. In the presence of 20 mol % of trifluoroacetic acid, the reaction of HMF with cyclic amidines (5- or 6-membered) and isocyanides afforded a library of new imidazoheterocycles. The best yield (87%) was obtained for the case of 2-aminopyridine and isocyanocyclohexane at 60 °C (Scheme 102) [ref. 338].

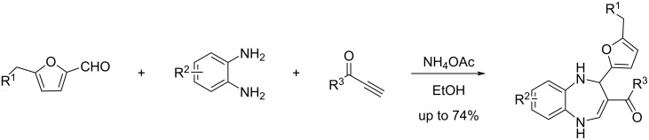
A [4 + 2 + 1] cycloaddition strategy towards 1,5-benzodiazepines involving HMF was developed by the Queneau and Popowycz group with yields up to 74% by using ammonium acetate as both a mild catalyst and a source of nitrogen, in ethanol as a green solvent. The reaction scope was extended to various substituted diamines, alkynones/alkyl alkynoates, and furan aldehydes leading to a wide range of novel benzodiazepines (Scheme 103) [ref. 339].

HMF reactivity was investigated in several other MCRs. For example, Yang and Wu reported the use of N-heterocyclic carbene catalysis for the reaction of HMF with an alkene and a perfluoroalkyl reagent in the presence of Cs2CO3, providing access to the corresponding α-aryl-β-perfluoroalkyl products (Scheme 104). HMF led to a lower 43% yield compared to benzaldehyde (81%) and furfural (75%) [ref. 340].

The multicomponent reaction combining electron-rich aromatic aldehydes, sulfoxonium ylides and Meldrum’s acid can be performed in the presence of N,N-diisopropylethylamine to produce trans-β,γ-disubstituted-γ-butyrolactones in good yields (65–98%). In this process reported by Ma and Peng [ref. 341], HMF led to only a 52% yield of the target product due to competitive reaction of the free hydroxy group in HMF with Meldrum’s acid (Scheme 105).

A one-pot three-step cascade reaction involving HMF and other furanic aldehydes in the presence of dimethylhydrazine and phthalimide provides polysubstituted aromatics in water. The intermediate hydrazone formed from the aldehyde and dimethylhydrazine underwent in situ cycloaddition with the dienophile, before aromatization. This protocol afforded a range of polysubstituted aromatic compounds in high yields (up to 97%) and was employed to prepare a poly(ADP-ribose) polymerase (PARP) inhibitor (Scheme 106) [ref. 342].

Several studies have concerned pericyclic cycloadditions involving HMF as diene component. For example, Bruijnincx reported a direct Diels–Alder reaction of HMF or furfural with N-methylmaleimide in aqueous medium to produce geminal diol products in 60 to 65% yield. Water is thought to pull the equilibrium toward the product side by chemically trapping the Diels–Alder adducts by hydratation (Scheme 107) [ref. 343].

Sun reported the one-pot synthesis of phthalic anhydride by Diels–Alder reaction between HMF and maleic anhydride, promoted by a synergistic combination of MoO3 and Cu(NO3)2 catalysts. HMF can provide both partners of this Diels–Alder reaction, either by decarbonylation to an active furyl intermediate, and by oxidation to maleic anhydride. Subsequent dehydration of the DA adduct provided phthalic anhydride in 63% yield (Scheme 108) [ref. 344].

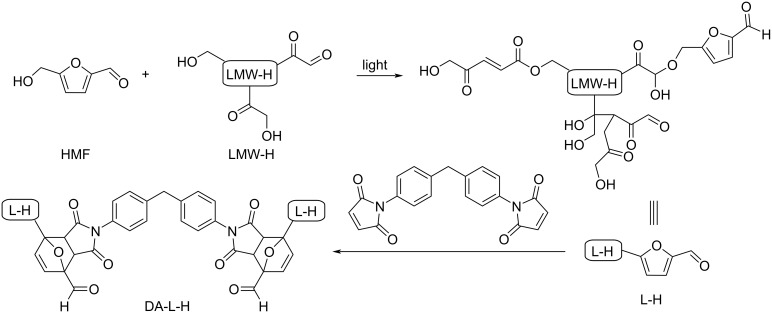
He and Guo reported the first photocatalyzed polymerization of HMF for the preparation of photo-generated humins (L-H) (Scheme 109). The L-H containing HMF and 5-hydroxy-4-ketopentenoic acid were generated by reacting HMF under illumination in presence of a low molecular weight humin (LMW-H) made from spoiled HMF residues. The resulting product allowed the preparation of furan-based polymers by Diels–Alder reaction with bismaleimidodiphenylmethane. A detailed physicochemical characterization indicated that the polymer DA-L-H had self-healing properties, and a recovery efficiency reaching 92.8% [ref. 345].

Reaction of HMF with alanine methyl ester hydrochloride in the presence of Et3N afforded HMF-derived iminoesters. By using the (R)-Fesulphos/Cu(CH3CN)4PF6 complex as a catalyst, the asymmetric 1,3-dipolar cycloaddition of the iminoester with activated alkenes provided enantiomerically enriched heterocyclic scaffolds in 41–87% yield and high enantioselectivity (79–99% ee) (Scheme 110) [ref. 346].

Queneau reported the synthesis of 3-furanylisoxazolidines by a dipolar cycloaddition of HMF-based nitrones with electron-deficient olefins in yields up to 84% for the stepwise reaction or 75% for the one-pot reaction. For example, N-methylhydroxylamine hydrochloride and HMF were condensed in isopropanol to form the corresponding nitrone, which underwent subsequently a cycloaddition with methyl acrylate in isopropanol to provide a regioisomeric mixture of 3,4-substituted and 3,5-substituted isoxazolidines in 84% yield (Scheme 111) [ref. 347].

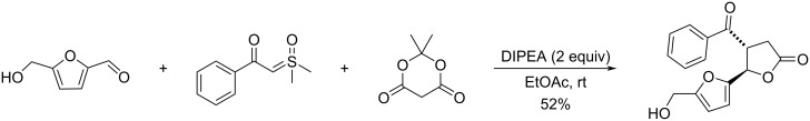
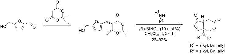
Novel aminated lactone-fused cyclopenten-2-ones were prepared by reaction of the Knoevenagel product arising from Meldrum’s acid and HMF with a wide range of secondary amines. Through a furan ring-opening–cyclization–lactonization cascade process (closely related to the Piancatelli reaction), highly functionalized δ-lactone-fused cyclopenten-2-ones were formed in 26–82% yields under the promotion of (R)-BINOL acting as a weak Brønsted acid (Scheme 112) [ref. 348].

Moebs-Sanchez and Popowycz recently reported a dysprosium triflate-catalyzed aza-Piancatelli reaction from HMF-derived intermediates forming cyclopentenone aza-spirocycles. A wide scope of novel 5,6- and 5,7-spirobicyclic scaffolds were prepared with yields up to 93% (Scheme 113) [ref. 349].

The cross-aldol condensation of HMF, furfural and acetone can generate C13–C15 condensation products which are biofuels and polymer precursors [ref. 350]. Several solid metal catalysts and different ratios of starting materials were tested for comparing the reactivity of HMF and furfural in this process (Scheme 114).

Ketones with enolizable α-H atoms can be coupled with HMF in alkaline medium to form new C–C bonds via cross-aldol condensation reaction. Examples include the use of alkyl ketones, cycloalkanones, and α,β-unsaturated ketones. Recently, Vigier used choline chloride to convert a carbohydrate feedstock into HMF which was then condensed with methyl isobutyl ketone (MIBK) in the presence of alkaline barium oxide as catalyst, affording 1-(5-(hydroxymethyl)furan-2-yl)-5-methylhex-1-en-3-one with yield over 90% [ref. 351]. Schijndel also reported a Knoevenagel condensation of furan aldehydes and diethyl malonate in the presence of ammonium bicarbonate giving a 86% yield of the HMF-derived condensation product [ref. 352] (Scheme 115).

Mancipe and Luque reported the use of a boric acid deposited on hydrotalcite catalyst for the Knoevenagel condensation of HMF with active methylene compounds to afford a series of HMF derivatives containing an acrylonitrile moiety. The acid–base catalytic sites accelerate the reaction leading to high yields (82–94%) and high (E)-isomer selectivity (91:9 to 100:0) of the condensation products (Scheme 116) [ref. 353].

Another carbon–carbon-bond formation involving the aldehyde group of HMF is the Morita–Baylis–Hillman (MBH) reaction. Queneau showed that the reaction with acrylates in the presence of DABCO can take place in a combination of biobased solvents such as EtOH/H2O 1:1 (v/v) to replace traditional solvents, with yields up to 90% after 24 h [ref. 354]. The strategy was later applied to the preparation of original biobased amphiphiles from hydrophobic alkenes. These amphiphiles were shown to emulsify both polar and apolar oils, providing W/O and O/W emulsions, suggesting that they could be used as relevant alternatives to traditional petroleum-based polyethoxylated surfactants (Scheme 117) [ref. 355].

Finally, several strategies based on the reductive amination of HMF have been reported. For example, Ananikov synthesized a series of multifunctional protic ammonium ionic liquids with various inorganic anions by reductive amination of HMF with various amines (Scheme 118). The salts were studied with respect to their solvent properties. Interestingly, the ionic liquids containing sulfate anions have the ability to dissolve cellulose. Regarding the biological properties, the introduction of a chlorine substituent into the side chain of the furfural unit is beneficial to the bactericidal effect. A study on physicochemical properties indicated that most of these ionic liquids were stable when stored for more than six months [ref. 356].

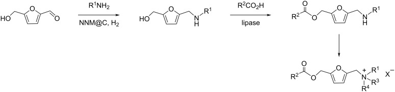
Heterogeneous monometallic (Ni, Co, Ru, Pd, Pt, Rh) and bimetallic (Ni/Cu, Ni/Mn) catalysts have been shown to be efficient for the reductive amination of HMF [ref. 357–ref. 358]. A recent application towards surfactant precursors has been reported by Iborra and Corma, using a non-noble metal (NNM) catalyst based on monodisperse cobalt nanoparticles coated with a few layers of carbon (NNM@C). Subsequent lipase-catalyzed acylation using carboxylic acids afforded the aminoesters, one step away from cationic surfactants by amine quaternization (Scheme 119) [ref. 359]. This strategy provided additional methods towards biobased furanic surfactants for which two reviews were reported in 2022 [ref. 173,ref. 360].

5-(Chloromethyl)furfural (CMF)
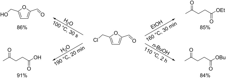
5-(Chloromethyl)furfural (CMF) can be obtained from raw biomass such as bagasse, cassava wastes, corn stover, bamboo powder or a variety of pure carbohydrates, such as glucose, sucrose, fructose, cellulose. CMF has gained popularity thanks to the pioneering work and accounts reported by Mascal, showing the potential of this alternative platform for monomers, biofuels and specialty chemicals [ref. 361–ref. 362]. Several other groups have contributed to the topic, and a few more in-depth perspectives on the synthesis and applications of CMF and other 5-(halomethyl)furfurals have been reported [ref. 363–ref. 364]. A popular system to access CMF is the use of HCl as chlorinating agent in dichloroethane, which can be achieved from HMF (Scheme 120), but also from glucose, sucrose or cellulose. Compared to HMF, the main differences are the higher stability of CMF under acidic conditions and its easier extractability from the medium due to a higher lipophilicity. In the following we give a brief and non-comprehensive overview of CMF downstream chemistry illustrating its usefulness towards fine chemicals.

CMF can be used as a stable intermediate for the production of HMF, levulinic acid and alkyl levulinate (EL and BL) via hydrolysis or alcoholysis (Scheme 121) [ref. 365]. HMF is obtained in 86% yield from CMF in boiling water for only 30 seconds, while heating CMF in dilute hydrochloric acid at 150 °C for 5 h or without acid at 190 °C leads to levulinic in high yield. If alcohols are added, high yields of alkyl levulinates are directly obtained.

2,5-Diformylfuran (DFF) can be obtained in 81% yield from CMF in DMSO, as proposed by Estrine and Le Bras [ref. 366] or in 54% yield over the combined pyridine N-oxide and Cu(OTf)2 catalyst when using acetonitrile under microwave irradiation as reported by Afonso [ref. 367]. CMF can be also directly oxidized to 5-(chloromethyl)furan-2-carbonyl chloride (CMFCC) or converted to furan-2,5-dicarbonyl chloride (FDCC) via the formation of intermediate 2,5-diformylfuran (DFF) after reaction with tert-butyl hypochlorite (t-BuOCl) (Scheme 122) [ref. 368]. Being conveniently derivatizable acid chlorides, CMFCC and FDCC are highly versatile intermediates for the production of furans presenting a carboxylic acid function or other downstream chemical precursors of polymers and biofuels.

Suh has shown that CMF can be derivatized towards BHMF, using a stepwise hydrolysis and hydrogenation via HMF over mesoporous Cu/Al2O3 (meso-CuA-kg) under H2 pressure [ref. 369]. Recently, Zeng reported the one-pot consecutive hydrolysis and hydrogenation of CMF to BHMF in aqueous phase in 69% overall yield. Under the synergistic effect of Ru and Cu2O species, 91% BHMF was obtained directly from CMF over Ru/CuOx as catalyst at 60 °C and 4 MPa H2 without isolation of the intermediate HMF [ref. 370] (Scheme 123).

Zeng has reported the reduction of CMF to 2,5-dimethylfuran (DMF) under mild conditions using a Cl-modified Pd catalysts (Pd/CNTs) and 2 MPa of H2 affording 92% yield after 15 min at 30 °C (Scheme 124) [ref. 371].

The substitution of the chlorine atom of CMF by nucleophiles produces either ethers [ref. 372–ref. 373] or esters [ref. 374] from alcohols or carboxylic acids, respectively, allowing the preparation of a library of functionalized furanic aldehydes (Scheme 125). For example, Dutta [ref. 372] and Sudarsanam [ref. 374] recently synthesized a series of alkyl/aryl-substituted HMF esters in high yields (>85%) by reacting CMF and various carboxylic acids in the presence of a triethylammonium salt under solvent-free conditions (80 °C, 1.5 h). The two-step process from cellulose allowed the preparation of 5-(acetoxymethyl)furfural in an overall yield of nearly 65%.

Carbon nucleophiles can also substitute the chlorine atom of CMF. For example, Zn metal insertion into the C–Cl bond of ethyl 5-(chloromethyl)furan-2-carboxylate can produce organozinc furoate esters able to react with a range of aldehydes (Scheme 126, reaction a) [ref. 375]. Alternatively, in a Reformatsky-type process, deprotonation of the 5-(chloromethyl)furoate esters and reaction with aldehydes followed by dehydration results in the formation conjugated alkenyl furoates which have applications in dyes or epoxy resin fields (Scheme 126, reaction b) [ref. 376]. The furylogous enolate anion resulting from the electrochemical reductive cleavage of ethyl 5-(chloromethyl)furan-2-carboxylate derived from CMF can react with carbon dioxide to yield 5-(carboxymethyl)furan-2-carboxylate, a useful intermediate towards the fuel additive 5-methylfuran-2-carboxylate commercially referred to as "Ethyl 408" (Scheme 126, reaction c) [ref. 377]. Similarly, furoate esters derived from CMF can undergo nucleophilic substitution with cyanide to produce furylogous cyanoacetic esters, employed for the design of biobased dyes (Scheme 126, reaction d) [ref. 378].

Gao and Ye reported the bifunctional-NHC-catalyzed enantioselective Mannich-type reaction involving CMF (Scheme 127). The products were obtained in high yields and enantioselectivities with excellent functional group tolerance [ref. 379].

Biobased dyes have been obtained by introducing strong chromophores on the furanoate scaffold through the Knoevenagel reaction of CMF with aldehydes (Scheme 128). The reaction of furylogous malonate or furylogous cyanoacetate and biomass-derived aldehydes produced brightly colored products from the yellow to red region of the spectrum, exhibiting good color properties and color fastness on selected fabrics [ref. 378].

Rehbein and Brasholz have reported the first radical transformation at the benzylic chloromethyl group of CMF. A series of atom transfer radical addition products were obtained by reacting CMF with styrenes under triethylborane (Et3B)/O2 system (Scheme 129) [ref. 380].

CMF can also react with sodium azide as applied in a synthesis of δ-aminolevulinic acid, an important agricultural and pharmaceutical intermediate. The reaction of CMF and NaN3 led to the formation of 5-(azidomethyl)furfural. Subsequent photooxidation by irradiation with singlet oxygen, ring opening of the furan and subsequent catalytic hydrogenation resulted in the formation of δ-aminolevulinic acid in 68% yield (Scheme 130) [ref. 362].

The substitution of the chlorine atom of CMF by a sulfur atom has also been reported like in a four-step synthesis of ranitidine, a histamine H2 receptor antagonists used to treat conditions related to excess stomach acid production. Once the sulfide bond was formed, the (dimethylamino)methyl group was introduced through reductive amination of the aldehyde group (Scheme 131) [ref. 381]. Removal of the acetyl group by treatment with KOH led to the previously reported amino intermediate [ref. 382] which afforded ranitidine by addition–elimination reaction on 1-methylthio-1-methylamino-2-nitroethylene in overall 68% yield from CMF.

1-Hydroxy-2,5-hexanedione (HHD) and 2,5-hexanedione (HXD)
Linear diketones such as 1-hydroxyhexane-2,5-dione (HHD) or 2,5-hexanedione (HXD) are promising next-generation biomass-derived platform molecules [ref. 383–ref. 384]. Many conditions have been developed for the catalytic hydrogenation of HMF to HHD using various metals (Pd, Ir, Ru, Rh, Au, Ni-based). For example, Jérome and De Campo reported the one-pot production of HHD directly from carbohydrates (fructose and inulin) through a bifunctional catalytic process using the dual Pd/C/H2-CO2/H2O system, which afforded HHD in 36% and 15% yields, respectively. Pd/C-catalyzed hydrogenation of HMF provided HHD with up to 77% yield. 2,5-Hexanedione (HXD) could be obtained through another route in high yield via 2,5-dimethylfuran (DMF) (Scheme 132) [ref. 385]. When using a Pd/C and Amberlyst-15 system, fructose and inulin were found to be converted into HHD in yields of 55% and 27%, respectively [ref. 386].

Signoretto reported the hydrogenation of HMF to HHD using a Ru catalyst supported on biochar obtained by pyrolysis of hazelnut shells (Ru/AHSw), a sustainable and inexpensive catalyst. An 88% selectivity for HHD was observed with full conversion of HMF at 30 atm of H2 (Scheme 133) [ref. 387]. In 2023, Selva published a method for the preparation of HHD from HMF by Ru/C catalysis in an ionic liquid-assisted three-phase system consisting of water, isooctane and methyltrioctylammonium chloride ([N8881][Cl]), providing HDD with 98% selectivity and 85% isolated yield with full conversion of HMF (>99%). The separation of the product and catalyst (Ru/C) could be easily achieved by adjusting the ratio of the multiphase components (Scheme 133) [ref. 388].

2,5-Hexanedione (HXD) could be directly obtained from HMF, DMF or cellulose via acid-catalyzed hydrolysis and metal-catalyzed hydrogenolysis. An iodine-modified Pd catalyst PdI/Al2O3 promoted the hydrogenative ring opening of HMF in water at 110 °C under 4.0 MPa H2, providing HXD in 93% yield [ref. 389], while a Pd/Ti3AlC2 catalyst promoted the same conversion in water and 4.0 MPa H2 at only 90 °C [ref. 390]. The heterogeneous catalyst cobalt disulfide (CoS2) with imperfect spherical (A-CoS2) showed high activity in the hydrogenolysis of HMF to HXD with a yield of 81.5 wt % at 200 °C under H2 pressure (2 MPa) in MeOH. When applied directly to cellulose, an 11.8 wt % yield of HXD was obtained under these conditions [ref. 391]. Various homogeneous acidic catalysts such as Al2(SO4)3, AlCl3, Fe2(SO4)3, FeCl3, SnCl4, H2SO4 and supported noble-metal catalysts (Pd/C, Pt/C, and Ru/C) were tested in the one-pot catalytic conversion of cellulose to HXD developed by Liu and Shu [ref. 392]. The combination of Al2(SO4)3 with Pd/C exhibited the highest catalytic activity, avoiding excessive hydrogenation of furan intermediates, with an 80% yield of HXD obtained in H2O/THF at 190 °C and H2 (2 MPa). Glucose and sucrose gave 91% and 83% yield of HXD at 200 °C and H2 (2 MPa), respectively. A proposed pathway for the formation of HXD from 5-HMF is shown in Scheme 134.

Conversions of HHD: HHD can be further converted into 2-hydroxy-3-methylcyclopent-2-enone (MCP) via intramolecular aldol reactions. In 2018, de Vries developed an efficient base-catalyzed process for the conversion of HHD into MCP. MCP is a hub chemical which can be further transformed into levulinic acid, enol acetate, diol and N-heterocyclic compounds through oxidative ring cleavage, acetylation, hydrogenation, and condensation reactions, respectively (Scheme 135) [ref. 393].

In 2022, de Vries reported the selective Cu(I)-catalyzed oxidation of α-hydroxy ketones to α-keto aldehydes. A 94% GC yield of 2,5-dioxohexanal was obtained from HHD under oxygen atmosphere in the presence of [Cu(MeCN)4]PF6 (5 mol %), pyridine (10 mol %) and 4 Å molecular sieves (MS). The aqueous work-up of the reaction resulted in the formation of the α-keto aldehyde hydrate in 87% isolated yield (Scheme 136) [ref. 394].

This HHD-2,5-dioxohexanal route was also used by the same team to access a wide range of N-alkyl and N-aryl-3-hydroxypyridinium salts with various functional groups in good yields (up to 82% yield) in the presence of trifluoroacetic acid (Scheme 137). The salts can be used as intermediates in the synthesis of some nitrogen-containing scaffolds [ref. 395].

HHD total hydrogenation to 1,2,5-hexanetriol was achieved by de Vries using a Ru-MACHO-BH catalyst (0.5 mol %) under 30 atm H2 at 100 °C in 18 hours in isopropanol as solvent with nearly quantitative yield (Scheme 138A) [ref. 396]. Alternatively, Yang proposed a Ru/C catalyst for the same reaction, giving 1,2,5-hexanetriol in 66% yield with 95% selectivity and 99% conversion of HHD under mild reaction conditions (Scheme 138B) [ref. 397].

Conversions of HXD: 3-Methylcyclopent-2-enone (MCP) can be obtained from HXD in 97% yield by cyclization promoted by sodium carbonate in a toluene/H2O biphasic system. Subsequent dimerization of MCP under ultraviolet irradiation provided polycyclic C12 diketones which were hydrodeoxygenated under acidic zeolite H-Y and commercial Ru/C catalysis, leading to a high-density C12 polycycloalkane mixture with low freezing point consistent with the usage as aviation fuel (Scheme 139) [ref. 398].

Yan and Chen synthesized the 2,5-hexadione glycerol ketal (HDGK) by reaction of HXD and glycerol, and used it as a chain extender and crosslinking agent to prepare KCPU-x, a dynamic covalent cross-linked polyurethane elastomer (Scheme 140) [ref. 399]. The incorporation of a cyclic ketal structure improved the stability, dielectric properties, and healing efficiency of these polyurethane elastomers.

HXD can react with serinol to form 2-(2,5-dimethyl-1H-pyrrol-1-yl)-1,3-propanediol (serinol pyrrole, SP) which was used as a high efficiency coupling agent between silica and unsaturated polymer chains in elastomer composites for tires, applicable on the industrial scale (Scheme 141) [ref. 400].

A series of pyrroles, among which some are important intermediates in drug design, has been obtained in 55–89% yields by the cascade reaction of nitroarenes with HXD over a carbon-based iron heterogeneous catalyst (Fe@NSiC) using HCOOH/DBU as reducing agent (Scheme 142) [ref. 401].

Efficient upgrading of cellulose into p-xylene (PX) was reported through intermediate HXD by Chu et al. [ref. 402]. Following a new two-step route (Scheme 143), an 64% overall yield of HXD and DMF was obtained from cellulose, and PX was obtained in 55% yield from this mixture using a solid acid like SnPO-1.75 as catalyst at 275 °C and 2 MPa H2.

3-(Hydroxymethyl)cyclopentanone (HCPN)
3-(Hydroxymethyl)cyclopentanone (HCPN) can be obtained from HMF, usually involving the hydrogenation of HMF to 2,5-dihydroxymethylfurfural (DHMF), and subsequent Piancatelli rearrangement to 4-hydroxy-4-(hydroxymethyl)cyclopentenone followed by hydrogenation to HCPN (Scheme 144) [ref. 168,ref. 328].

The first reported conversion of HMF to HCPN in 2014 used metal oxide-supported Au nanoparticles as catalysts, with Au/Nb2O5 providing the best yield (86%) in the presence of H2 (8 MPa) at 140 °C [ref. 403]. Since then, several other supports such as SiO2, Al2O3, Al2O3 pyrochlore composites, MOFs, and DMC (double-metal cyanide) have been used for Pt, Pb, Ir catalysts and a palladium bifunctional catalysis method has been reported [ref. 404–ref. 405]. In 2016, Rosseinsky reported a first non-noble-metal-catalyst derived from Ni/Al layered double hydroxides (Ni-on-Al2O3), that afforded an 81% yield of HCPN from HMF [ref. 406]. Subsequently, other non-noble-metal-based bimetallic catalysts were applied for this transformation such as Cu-Al2O3, Ni-Cu/MOF and Ni-Fe/Al2O3 [ref. 407–ref. 410].
While route 1 and route 2 mechanisms shown in Scheme 145 were previously proposed for the conversion of HMF to HCPN, Deng and Fu expressed doubts about the involvement of intermediate 1-hydroxy-2,5-hexanedione (HHD). They considered that Brønsted acid catalysis promotes the formation of HHD and subsequently 3-methylcyclopenten-2-ol-1-one (MCP) instead of HCPN (Scheme 145, route 3), while Lewis acids facilitate the production of a precursor of HHD, then generating HCPN [ref. 411].

HCPN can undergo all typical reactions of ketones, and only two have been selected here, an alkylation and a reductive amination. In 2014, Dong reported the regioselective α-alkylation of HCPN using ethylene as the alkylating agent in the presence of chlorobis(cyclooctene)rhodium(I) dimer [Rh(coe)2Cl]2, 1,3-bis(2,4,6-trimethylphenyl)imidazole-2-ylidene (IMes), p-toluenesulfonic acid monohydrate (TsOH·H2O), and 7-azaindoline, leading to α-ethylated HCPN in 95% isolated yield (1.6:1 dr) (Scheme 146) [ref. 412].

An efficient one-pot cascade conversion of HMF promoted by the Ni0.5Co0.5@C catalytic system formed 3-(hydroxymethyl)cyclopentylamine through reductive amination of HCPN with ammonia at 140 °C and 20 bar H2 for 8 h, with 97% selectivity and full conversion of HCPN (Scheme 147) [ref. 413].

Levoglucosenone (LGO) and dihydrolevoglucosenone (H2LGO or Cyrene®)
Levoglucosenone (LGO) and its fully hydrogenated derivative, dihydrolevoglucosenone (H₂LGO), commercially known under the trademark Cyrene®, are two highly promising biobased C6 platform molecules. Derived from renewable cellulosic resources, these compounds offer versatile and sustainable scaffolds for the synthesis of a wide range of value-added chemicals, materials, and pharmaceuticals (Scheme 148). LGO, which arises from cellulose by pyrolysis [ref. 414–ref. 416], or levoglucosan [ref. 417] exhibits a bicyclic structure possessing three reactive functions, namely an acetal, a ketone and its conjugated double bond. The selective hydrogenation of the double bond can produce the corresponding saturated ketone dihydrolevoglucosenone (H2LGO, Cyrene®) [ref. 418], which has intensively been studied as a sustainable alternative to classical aprotic dipolar solvents [ref. 419–ref. 422].

Both LGO and Cyrene® molecules offer a wide range of transformations towards intermediates enabling innovative design in fine chemistry and polymer science [ref. 423–ref. 425]. The following sections highlight the versatility and practical utility of LGO and Cyrene® through selected recent examples, demonstrating their potential as valuable intermediates in sustainable synthesis.
LGO can be oxidized to (S)-γ-hydroxymethyl-α,β-butenolide (HBO) and its formate ester under Baeyer–Villiger conditions (Scheme 149). Hydrolysis of the formate FBO allows a complete transformation of LGO to HBO. When applied to Cyrene®, the reaction leads to the corresponding hydrogenated (S)-γ-(hydroxymethyl)butyrolactone (2H-HBO) [ref. 426]. The Allais group has reported yields up to 72% on a kilogram scale synthesis, employing aqueous hydrogen peroxide as both the solvent and the oxidizing agent [ref. 427]. The sterically hindered bicyclic diol 2H-HBO-HBO can be obtained from LGO through a sustainable two-step process involving LGO homocoupling followed by Baeyer–Villiger oxidation [ref. 428]. Several polymers have been obtained after acryloylation or methacryloylation of the OH group [ref. 429]. Starting from Cyrene®, Miller and Allais designed a methylated derivative of HBO. After protection of the hydroxy group as a tetrahydropyranyl (THP) acetal giving the intermediate 2-THP-2H-HBO, the α-methylenated derivative (M-THP-2H-HBO) was obtained by reaction of its enolate with paraformaldehyde. This latter was found to slowly oligomerize [ref. 430].

If the hydrogenation of LGO is continued further after formation of Cyrene®, the ketone is reduced and levoglucosanol (Lgol) is formed. For example, in the presence of Pd/C and HCOOH as hydrogen source, the Lgol yield can reach 95% at 180 °C [ref. 431]. A methacrylic monomer (m-Cyrene®) formed from Lgol was found to undergo rapid polymerization or copolymerization in the presence of AIBN and in Cyrene® as solvent (Scheme 150) [ref. 429].

Tetrahydrofurandimethanol (THFDM) and 1,6-hexanediol could be prepared from Lgol via complete hydrogenation/hydrogenolysis [ref. 432]. Huber reported a conversion of Lgol to THFDM with 78% overall selectivity to 1,6-hexanediol at 150 °C using a bifunctional Pd/SiO2/Al2O3 catalyst (Scheme 151) [ref. 433].

A recent example of reversible addition–fragmentation chain transfer (RAFT) copolymerization of LGO and butadiene or 2- or 3-methyl derivatives was reported by the Choi group (Scheme 152). Conversions of LGO and butadiene up to 80% were observed, leading to polymers having a high degree of alternation and exhibiting excellent thermal stability [ref. 434].

Another interesting example of the use of LGO in polymer science was recently reported by Warne and Pellis, who used the diol obtained by hydration and reduction of LGO in combination with butane-1,4-diol for polycondensation with dimethyl adipate in the green solvent dioxolane Cygnet 2 under biocatalytic conditions (Candida antartica lipase B CaLB) (Scheme 153). Longer diols such as 1,8-octanediol or 1,12-dodecanediol were also used [ref. 435].

In the presence of a catalytic quantity of K3PO4, the self-condensation of Cyrene® gave the corresponding product in 81.3% yield at 120 °C for 40 min. The Claisen–Schmidt reaction of Cyrene® with aromatic and heteroaromatic aldehydes offered a wide range of yields, up to 95% at 120 °C after 18 h (Scheme 154) [ref. 436].

Cyrene® has also been used as a starting chiral building block for applications in drug design. For example, 5-amino-2-hydroxymethyltetrahydropyran (B1), an intermediate in the synthesis of bioactive compounds, was synthesized via a two-step, protecting-group-free, process [ref. 437]. Cyrene® underwent an enzyme-catalyzed (ATA-426) transamination followed by reductive acetal opening. ATA-426 provided the chiral cyclohexylamine intermediates A1 and A2 with high selectivity (24:1) and 91% yield. Hydroxy-amino derivatives B1 and B2 were obtained from A1 and A2 in 85% yield with a high diastereoselectivity (>20:1). This two-step process replaced the reported nine-step synthesis of B1 from tri-O-acetyl-ᴅ-glucal and resulted in a more than 27% yield improvement (Scheme 155).

Conclusion
The valorization of biobased carbonyl compounds represents a pivotal strategy in the transition towards a greener and sustainable biobased chemical industry. The low-molecular-weight intermediates derived from renewable biomass resources exhibit versatile reactivity and serve as crucial building blocks for a wide array of value-added chemicals, fuels, and other materials. Significant advances in catalytic technologies, reaction engineering, and process integration have enabled efficient transformations of biobased aldehydes, ketones, and related compounds into higher-value products such as alcohols, acids, esters, polymers, and fine chemicals. The remarkable structural diversity offered by biobased carbonyl compounds, and the immense variety of chemical reactions that carbonyl compounds can undergo, create an extremely powerful opportunity for accessing all kinds of chemical architectures, including complex ones. Despite the recent progress in the field, efforts must be continued for tackling the remaining challenges, notably achieving always higher selectivity, catalytic stability, and process scalability under economically and environmentally favorable conditions. This will constitute the basis for future biobased access to all types of chemical products.
List of Abbreviations
The abbreviations used in the text and schemes are collected in Table 1.
Table 1: List of abbreviations.
References
- R A Sheldon. Green Chem, 2014. [DOI]
- P T Anastas, J C Warner. Green Chemistry: Theory and Practice, 2000. [DOI]
- B M Trost. Science, 1991. [DOI | PubMed]
- R A Sheldon. Chem Ind (London), 1992
- K Kümmerer, J H Clark, V G Zuin. Science, 2020. [DOI | PubMed]
- P T Anastas, J B Zimmerman. Green Chem, 2019. [DOI]
- M He, Y Sun, B Han. Angew Chem, Int Ed, 2013. [DOI]
- F H Isikgor, C R Becer. Polym Chem, 2015. [DOI]
- Y-S Jang, B Kim, J H Shin, Y J Choi, S Choi, C W Song, J Lee, H G Park, S Y Lee. Biotechnol Bioeng, 2012. [DOI | PubMed]
- L T Mika, E Cséfalvay, Á Németh. Chem Rev, 2018. [DOI | PubMed]
- A Corma, S Iborra, A Velty. Chem Rev, 2007. [DOI | PubMed]
- J B Zimmerman, P T Anastas, H C Erythropel, W Leitner. Science, 2020. [DOI | PubMed]
- K N Ganesh, D Zhang, S J Miller, K Rossen, P J Chirik, M C Kozlowski, J B Zimmerman, B W Brooks, P E Savage, D T Allen. ACS Omega, 2021. [DOI | PubMed]
- T Schaub. Chem – Eur J, 2021. [DOI | PubMed]
- C F Nising, F von Nussbaum. Eur J Org Chem, 2022. [DOI]
- S Wegelin, M A R Meier. Curr Opin Green Sustainable Chem, 2024. [DOI]
- P Gandeepan, N Kaplaneris, S Santoro, L Vaccaro, L Ackermann. ACS Sustainable Chem Eng, 2019. [DOI]
- G V López, W Porcal. Pure Appl Chem, 2024. [DOI]
- Y Queneau, B Han. Innovation, 2022. [DOI | PubMed]
- E A R Zuiderveen, K J J Kuipers, C Caldeira, S V Hanssen, M K van der Hulst, M M J de Jonge, A Vlysidis, R van Zelm, S Sala, M A J Huijbregts. Nat Commun, 2023. [DOI | PubMed]
- L G Nair, P Verma. Biomass Bioenergy, 2024. [DOI]
- T Keijer, V Bakker, J C Slootweg. Nat Chem, 2019. [DOI | PubMed]
- H W Ryu, D H Kim, J Jae, S S Lam, E D Park, Y-K Park. Bioresour Technol, 2020. [DOI | PubMed]
- S S Wong, R Shu, J Zhang, H Liu, N Yan. Chem Soc Rev, 2020. [DOI | PubMed]
- R Gérardy, D P Debecker, J Estager, P Luis, J-C M Monbaliu. Chem Rev, 2020. [DOI | PubMed]
- J Wang, J Fu, Z Zhao, L Bing, F Xi, F Wang, J Dong, S Wang, G Lin, Y Yin. Innovation, 2023. [DOI | PubMed]
- G V López, W Porcal. Pure Appl Chem, 2024. [DOI]
- J Li, R Yang, S Xu, C Zhou, Y Xiao, C Hu, D C W Tsang. Appl Catal, B, 2022. [DOI]
- W Faveere, T Mihaylov, M Pelckmans, K Moonen, F Gillis-D’Hamers, R Bosschaerts, K Pierloot, B F Sels. ACS Catal, 2020. [DOI]
- G Liang, A Wang, L Li, G Xu, N Yan, T Zhang. Angew Chem, Int Ed, 2017. [DOI]
- M T Flynn, X Liu, A Dell’Acqua, J Rabeah, A Brückner, E Baráth, S Tin, J G de Vries. ChemSusChem, 2022. [DOI | PubMed]
- W E Parham, H E Reiff. J Am Chem Soc, 1955. [DOI]
- J Xu, W Huang, R Bai, Y Queneau, F Jérôme, Y Gu. Green Chem, 2019. [DOI]
- F Wu, W Huang, Yiliqi, J Yang, Y Gu. Adv Synth Catal, 2018. [DOI]
- Y Zhou, T J A Slater, X Luo, Y Shen. Appl Catal, B, 2023. [DOI]
- H-J Jo, H Yu, H Cheon, J-H Kim, G Y Kim, B S Kim, J-S Kim, J-B Park. ACS Sustainable Chem Eng, 2023. [DOI]
- X Dai, X Wang, J Rabeah, C Kreyenschulte, A Brückner, F Shi. Chem – Eur J, 2021. [DOI | PubMed]
- Z Huo, J Xiao, D Ren, F Jin, T Wang, G Yao. Green Chem, 2017. [DOI]
- S Liu, H Feng, T Li, Y Wang, N Rong, W Yang. Green Chem, 2020. [DOI]
- X Lei, F-F Wang, C-L Liu, R-Z Yang, W-S Dong. Appl Catal, A, 2014. [DOI]
- K J Jem, B Tan. Adv Ind Eng Polym Res, 2020. [DOI]
- M Ayyoob, Y J Kim. Polymers (Basel, Switz), 2018. [DOI]
- K K Sen Gupta, B Pal, P K Sen. Int J Chem Kinet, 1999. [DOI]
- Y X Fan, C H Zhou, X H Zhu. Catal Rev: Sci Eng, 2009. [DOI]
- C T Lira, P J McCrackin. Ind Eng Chem Res, 1993. [DOI]
- C Paparizos, W G Shaw, S R Dolhyj. Catalytic conversion of lactic acid and ammonium lactate to acrylic acid. Eur. Patent, 1988
- W S L Mok, M J Antal, M Jones. J Org Chem, 1989. [DOI]
- X Zhang, L Lin, T Zhang, H Liu, X Zhang. Chem Eng J, 2016. [DOI]
- G C Gunter, R H Langford, J E Jackson, D J Miller. Ind Eng Chem Res, 1995. [DOI]
- D C Wadley, M S Tam, P B Kokitkar, J E Jackson, D J Miller. J Catal, 1997. [DOI]
- D J Miller, J E Jackson, R H Langford, G C Gunter, M S Tam, P B Kokitkar. Process for the preparation of 2, 3-pentanedione. U.S. Pat. Appl., 1998
- G C Gunter, D J Miller, J E Jackson. J Catal, 1994. [DOI]
- M Ai. Appl Catal, A, 2002. [DOI]
- M Ai. Appl Catal, A, 2002. [DOI]
- G Minniti, R Cerone, E De Toni. Am Biotechnol Lab, 2000
- S J W H Oude Elferink, J Krooneman, J C Gottschal, S F Spoelstra, F Faber, F Driehuis. Appl Environ Microbiol, 2001. [DOI | PubMed]
- Y Chen, D J Miller, J E Jackson. Ind Eng Chem Res, 2007. [DOI]
- M N Simonov, I L Simakova, T P Minyukova, A A Khassin. Russ Chem Bull, 2009. [DOI]
- M N Simonov, I L Simakova, V N Parmon. React Kinet Catal Lett, 2009. [DOI]
- R D Cortright, M Sanchez-Castillo, J A Dumesic. Appl Catal, B, 2002. [DOI]
- E Lipinsky, R Sinclair. Chem Eng Prog, 1986
- R Datta, S-P Tsai, P Bonsignore, S-H Moon, J R Frank. FEMS Microbiol Rev, 1995. [DOI]
- A N Vaidya, R A Pandey, S Mudliar, M S Kumar, T Chakrabarti, S Devotta. Crit Rev Environ Sci Technol, 2005. [DOI]
- H Wang, X Sun, P Seib. J Appl Polym Sci, 2003. [DOI]
- S M Nikles, M Piao, A M Lane, D E Nikles. Green Chem, 2001. [DOI]
- S Tretjak, E Burtin, R Teissier. Continuous production of ethyl lactate method. WO Patent, 2004
- W He, B Zhang, P Liu, X Sun, S Zhang. Chin J Catal, 2006. [DOI]
- N Asthana, A Kolah, D T Vu, C T Lira, D J Miller. Org Process Res Dev, 2005. [DOI]
- W P Ahern, D F Andrist, L E Skogerson. Fermentation of whey to produce propionic acid. U.S. Pat. Appl., 1988
- B Odell, G Earlam, D J Cole-Hamilton. J Organomet Chem, 1985. [DOI]
- S Jiang, Z Li, L Zhao, M Sun, X Zhang, D Yang, G Xu. ACS Sustainable Chem Eng, 2022. [DOI]
- G Bonn, M Rinderer, O Bobleter. J Carbohydr Chem, 1985. [DOI]
- G L Lookhart, M S Feather. Carbohydr Res, 1978. [DOI]
- S Poust, J Piety, A Bar‐Even, C Louw, D Baker, J D Keasling, J B Siegel. ChemBioChem, 2015. [DOI | PubMed]
- J B Siegel, A L Smith, S Poust, A J Wargacki, A Bar-Even, C Louw, B W Shen, C B Eiben, H M Tran, E Noor. Proc Natl Acad Sci U S A, 2015. [DOI | PubMed]
- J Yang, S Sun, Y Men, Y Zeng, Y Zhu, Y Sun, Y Ma. Catal Sci Technol, 2017. [DOI]
- L Xiong, Z Yu, H Cao, W Guan, Y Su, X Pan, L Zhang, X Liu, A Wang, J Tang. Angew Chem, Int Ed, 2024. [DOI]
- K Usami, K Xiao, A Okamoto. ACS Sustainable Chem Eng, 2019. [DOI]
- M Fedoroňko, J Königstein. Collect Czech Chem Commun, 1969. [DOI]
- V Prey, E Waldmann, H Berbalk, F Sommer. Monatsh Chem, 1954. [DOI]
- R U Lemieux. Rearrangements and Isomerizations in Carbohydrate Chemistry. Molecular rearrangements, 1964
- S K Gupta. J Org Chem, 1976. [DOI]
- R L Colbran, J K N Jones, N K Matheson, I Rozema. Carbohydr Res, 1967. [DOI]
- O Meyerhof, K Lohmann. Biochem Z, 1934
- C E Ballou, H O L Fischer. J Am Chem Soc, 1956. [DOI]
- E Jolimaitre, D Delcroix, N Essayem, C Pinel, M Besson. Catal Sci Technol, 2018. [DOI]
- M A Hossain, K N Mills, A M Molley, M S Rahaman, S Tulaphol, S B Lalvani, J Dong, M K Sunkara, N Sathitsuksanoh. Appl Catal, A, 2021. [DOI]
- Y Koito, K Nakajima, M Kitano, M Hara. Chem Lett, 2013. [DOI]
- E M Albuquerque, L E P Borges, M A Fraga, C Sievers. ChemCatChem, 2017. [DOI]
- K M A Santos, E M Albuquerque, L E P Borges, M A Fraga. Mol Catal, 2018. [DOI]
- G Innocenti, E Papadopoulos, G Fornasari, F Cavani, A J Medford, C Sievers. ACS Catal, 2020. [DOI]
- K Nakajima, R Noma, M Kitano, M Hara. J Phys Chem C, 2013. [DOI]
- I Abdouli, F Dappozze, M Eternot, C Guillard, N Essayem. Molecules, 2022. [DOI | PubMed]
- X Dai, S Adomeit, J Rabeah, C Kreyenschulte, A Brückner, H Wang, F Shi. Angew Chem, Int Ed, 2019. [DOI]
- W Huang, F Liu, K Wang, A Sidorenko, M Bei, Z Zhang, W Fang, M Li, Y Gu, S Ke. Green Synth Catal, 2022. [DOI]
- M Li, F Wu, Y Gu. Chin J Catal, 2019. [DOI]
- A Arandia, I Coronado, A Remiro, A G Gayubo, M Reinikainen. Int J Hydrogen Energy, 2019. [DOI]
- H Xu, Q-H Meng, Z-G Zhang. Chin J Chem, 2008. [DOI]
- D D Kini, J E Mathews. Int J Pharm Sci Res, 2020. [DOI]
- W Notz, B List. J Am Chem Soc, 2000. [DOI]
- A V Subrahmanyam, S Thayumanavan, G W Huber. ChemSusChem, 2010. [DOI | PubMed]
- K Bryn, Ø Hetland, F C Størmer. Eur J Biochem, 1971. [DOI | PubMed]
- S Kochius, M Paetzold, A Scholz, H Merkens, A Vogel, M Ansorge-Schumacher, F Hollmann, J Schrader, D Holtmann. J Mol Catal B: Enzym, 2014. [DOI]
- W Meng, C Ma, P Xu, C Gao. Trends Biotechnol, 2022. [DOI | PubMed]
- T Lu, X Li, L Gu, Y Zhang. ChemSusChem, 2014. [DOI | PubMed]
- Y Li, P Yao, S Zhang, J Feng, H Su, X Liu, X Sheng, Q Wu, D Zhu, Y Ma. Chem Catal, 2023. [DOI]
- C Cao, Q Wu. Chem Catal, 2023. [DOI]
- S Matsumura, T Kawamori, S Yoshikawa. Chem Lett, 1991. [DOI]
- K Chung, S M Banik, A G De Crisci, D M Pearson, T R Blake, J V Olsson, A J Ingram, R N Zare, R M Waymouth. J Am Chem Soc, 2013. [DOI | PubMed]
- A G De Crisci, K Chung, A G Oliver, D Solis-Ibarra, R M Waymouth. Organometallics, 2013. [DOI]
- H Wu, J Song, H Liu, Z Xie, C Xie, Y Hu, X Huang, M Hua, B Han. Chem Sci, 2019. [DOI | PubMed]
- B Chen, F Li, G Yuan. RSC Adv, 2017. [DOI]
- K Gollnick, A Griesbeck. Tetrahedron, 1985. [DOI]
- K J Zeitsch. 2000
- A Gassama, C Ernenwein, N Hoffmann. ChemSusChem, 2009. [DOI | PubMed]
- D K Chauhan, V R Battula, A Giri, A Patra, K Kailasam. Catal Sci Technol, 2022. [DOI]
- Y Xiao, C Shen, W Zhang, M Zhang, H Zhang, T Shao, Z Xiong, Y Ding, S Hao, L Liu. Small, 2023. [DOI]
- S P Chavan, A L Kadam. Results Chem, 2021. [DOI]
- P Kumar, R K Pandey. Green Chem, 2000. [DOI]
- S P Annangudi, M J Sun, R G Salomon. Synlett, 2005. [DOI]
- P Esser, B Pohlmann, H-D Scharf. Angew Chem, Int Ed Engl, 1994. [DOI]
- G O Schenck. Justus Liebigs Ann Chem, 1953. [DOI]
- E Riguet. J Org Chem, 2011. [DOI | PubMed]
- M Bos, E Riguet. J Org Chem, 2014. [DOI | PubMed]
- N K Strizhov, V V Poskonin, L A Badovskaya, E P Kupina. Russ J Org Chem, 2002. [DOI]
- V V Poskonin, L A Badovskaya. Chem Heterocycl Compd, 2003. [DOI]
- S H Schroeter, R Appel, R Brammer, G O Schenck. Justus Liebigs Ann Chem, 1966. [DOI]
- W Sun, J Xu, L Li, Z Liu, Z Xiao, Q An, J Huang. Mol Catal, 2025. [DOI]
- L A Badovskaya, V V Poskonin, Z I Tyukhteneva, N D Kozhina. Russ J Gen Chem, 2021. [DOI]
- P Flanagan, E Norster, R Carrubba, R Heck. Method for effecting continuous combustion of carbonaceous fuel. U.S. Pat. Appl., 1978
- V Poskonin, L Badovskaya, A Butin. Russ J Org Chem, 1997
- Y Kubota, T Tatsuno. Chem Pharm Bull, 1971. [DOI]
- E P White. J Chem Soc C, 1967. [DOI]
- J A Gratz, C E Cook, M E Wall. Org Prep Proced, 1970. [DOI]
- H J Burkhardt, R E Lundin, W H McFadden. Tetrahedron, 1968. [DOI]
- Y N Palai, A Fukuoka, A Shrotri. ACS Catal, 2024. [DOI]
- F Fariña, M Parellada. An Quim, Ser C, 1983
- P Magnus, P M Cairns. J Am Chem Soc, 1986. [DOI]
- P Magnus, P M Cairns, S K Chung. Tetrahedron Lett, 1985. [DOI]
- S R Landor, P D Landor, M Kalli. J Chem Soc, Perkin Trans 1, 1983. [DOI]
- A I Meyers, R L Nolen, E W Collington, T A Narwid, R C Strickland. J Org Chem, 1973. [DOI | PubMed]
- H G M Walraven, U K Pandit. Tetrahedron, 1980. [DOI]
- F Yuste, R Sanchez-Obregon. J Org Chem, 1982. [DOI]
- W R Roush, T A Blizzard. J Org Chem, 1984. [DOI]
- F M Hauser, S Prasanna. J Am Chem Soc, 1981. [DOI]
- H-D Scharf, J Janus. Tetrahedron, 1979. [DOI]
- B de Lange, F van Bolhuis, B L Feringa. Tetrahedron, 1989. [DOI]
- N Alonso‐Fagúndez, M L Granados, R Mariscal, M Ojeda. ChemSusChem, 2012. [DOI | PubMed]
- X Li, J Ko, Y Zhang. ChemSusChem, 2018. [DOI | PubMed]
- X Gao, X Tong, Y Zhang, S Xue. iScience, 2023. [DOI | PubMed]
- W Zhu, F Tao, S Chen, M Li, Y Yang, G Lv. ACS Sustainable Chem Eng, 2019. [DOI]
- Y N Palai, A Shrotri, A Fukuoka. ACS Catal, 2022. [DOI]
- G Shen, J Shi, Y Lei, C Fu, Z Chen, B Andrioletti, G Yin. Ind Eng Chem Res, 2019. [DOI]
- M Y Lee, J W Koo, J H Jang, Y In Jo, J B Yeo, J E Kim, J S Hong, J H Kim, S Choi, K T Nam. ACS Sustainable Chem Eng, 2025. [DOI]
- G-H Lu, M-H Zong, N Li. ACS Catal, 2023. [DOI]
- L Ricciardi, W Verboom, J-P Lange, J Huskens. Sustainable Energy Fuels, 2022. [DOI]
- C Xu, E Paone, D Rodríguez-Padrón, R Luque, F Mauriello. Chem Soc Rev, 2020. [DOI | PubMed]
- T Zhang, W Li, H Xiao, Y Jin, S Wu. Bioresour Technol, 2022. [DOI | PubMed]
- E Cousin, K Namhaed, Y Pérès, P Cognet, M Delmas, H Hermansyah, M Gozan, P A Alaba, M K Aroua. Sci Total Environ, 2022. [DOI | PubMed]
- A Kumar, A S Chauhan, R Bains, P Das. Green Chem, 2023. [DOI]
- J-P Lange. Catal Today, 2024. [DOI]
- K J Yong, T Y Wu, C B T L Lee, Z J Lee, Q Liu, J M Jahim, Q Zhou, L Zhang. Biomass Bioenergy, 2022. [DOI]
- L Liu, Q Li, C Wan. Green Chem, 2025. [DOI]
- E de Jong, M Mascal, S Constant, T Claessen, P Tosi, A Mija. Green Chem, 2025. [DOI]
- D Soukup-Carne, B Hillman, C M A Parlett, X Fan, J Esteban. React Chem Eng, 2025. [DOI]
- S Jiang, C Verrier, M Ahmar, J Lai, C Ma, E Muller, Y Queneau, M Pera-Titus, F Jérôme, K De Oliveira Vigier. Green Chem, 2018. [DOI]
- R Bielski, G Grynkiewicz. Green Chem, 2021. [DOI]
- S Dutta, N S Bhat. ACS Omega, 2021. [DOI | PubMed]
- K Gupta, R K Rai, S K Singh. ChemCatChem, 2018. [DOI]
- A Jaswal, P P Singh, T Mondal. Green Chem, 2022. [DOI]
- N Li, M-H Zong. ACS Catal, 2022. [DOI]
- V Kumar Vaidyanathan, K Saikia, P Senthil Kumar, A Karanam Rathankumar, G Rangasamy, G Dattatraya Saratale. Bioresour Technol, 2023. [DOI | PubMed]
- X Y Yue, Y Queneau. ChemSusChem, 2022. [DOI | PubMed]
- A Gandini, T M Lacerda. Macromol Mater Eng, 2022. [DOI]
- A Mori, S Curpanen, C Pezzetta, A Perez-Luna, G Poli, J Oble. Eur J Org Chem, 2022. [DOI]
- J Zhu, G Yin. ACS Catal, 2021. [DOI]
- Z An, J Li. Green Chem, 2022. [DOI]
- G Li, W Jiao, Z Sun, Y Zhao, Z Shi, Y Yan, L Feng, Y Zhang, Y Tang. ACS Sustainable Chem Eng, 2018. [DOI]
- J Shi, X Tong, S Wang, S Xue. ACS Catal, 2022. [DOI]
- G Singh, T S Khan, C Samanta, R Bal, A Bordoloi. Biomass Bioenergy, 2022. [DOI]
- J Wu, L Xu, Y Li, C-L Dong, Y Lu, T T T Nga, Z Kong, S Li, Y Zou, S Wang. J Am Chem Soc, 2022. [DOI | PubMed]
- S Huang, X Luo, J Li, S Liu, L Shuai. Green Chem, 2024. [DOI]
- I Scodeller, S Mansouri, D Morvan, E Muller, K de Oliveira Vigier, R Wischert, F Jérôme. Angew Chem, Int Ed, 2018. [DOI]
- S Jiang, C Ma, E Muller, M Pera-Titus, F Jérôme, K De Oliveira Vigier. ACS Catal, 2019. [DOI]
- S Jiang, E Muller, F Jerôme, M Pera-Titus, K De Oliveira Vigier. Green Chem, 2020. [DOI]
- M L Di Gioia, M Nardi, P Costanzo, A De Nino, L Maiuolo, M Oliverio, A Procopio. Molecules, 2018. [DOI | PubMed]
- R F A Gomes, L A S Cavaca, J M Gonçalves, R Ramos, A F Peixoto, B I Arias-Serrano, C A M Afonso. ACS Sustainable Chem Eng, 2021. [DOI]
- R F A Gomes, N R Esteves, J A S Coelho, C A M Afonso. J Org Chem, 2018. [DOI | PubMed]
- S Song, V Fung Kin Yuen, L Di, Q Sun, K Zhou, N Yan. Angew Chem, Int Ed, 2020. [DOI]
- Y Yamamoto, Y Nakazato, R Tadano, T Yasui. J Org Chem, 2022. [DOI | PubMed]
- Z Wang, M Scheuring, M Mabin, R Shahni, Z D Wang, A Ugrinov, J Butz, Q R Chu. ACS Sustainable Chem Eng, 2020. [DOI]
- Z D Wang, Q Elliott, Z Wang, R A Setien, J Puttkammer, A Ugrinov, J Lee, D C Webster, Q R Chu. ACS Sustainable Chem Eng, 2018. [DOI]
- L A Bailey, T Bere, T E Davies, S H Taylor, A E Graham. ACS Sustainable Chem Eng, 2022. [DOI]
- Y Wang, Z Li, Q Li, H Wang. ACS Omega, 2022. [DOI | PubMed]
- X Wang, C Liu, Z Xing, H Suo, R Qu, Q Li, Y Qin. Macromolecules, 2022. [DOI]
- Y Yang, Z Fan, Q Dong, W Sun, X Zhang, L Guan, L Wang. ACS Sustainable Chem Eng, 2022. [DOI]
- R Yang, H Zhang, X Li, X Ye, L Liu. ACS Sustainable Chem Eng, 2024. [DOI]
- R Baldenhofer, J-P Lange, S R A Kersten, M P Ruiz. ChemSusChem, 2024. [DOI | PubMed]
- M Hronec, K Fulajtarová. Catal Commun, 2012. [DOI]
- H Li, J Liu, C Cai, H Wang, Y Huang, C Wang, L Ma. Fuel, 2023. [DOI]
- R Balaga, P Balla, X Zhang, K Ramineni, H Du, S Lingalwar, V Perupogu, Z C Zhang. Catalysts, 2023. [DOI]
- S Zhang, H Ma, Y Sun, X Liu, M Zhang, Y Luo, J Gao, J Xu. Chin J Catal, 2021. [DOI]
- X Gao, Y Ding, L Peng, D Yang, X Wan, C Zhou, W Liu, Y Dai, Y Yang. Fuel, 2022. [DOI]
- Z Yu, Z Zou, R Wang, G Li, A Wang, Y Cong, T Zhang, N Li. Angew Chem, Int Ed, 2023. [DOI]
- X Li, J Sun, S Shao, X Hu, Y Cai. Fuel Process Technol, 2021. [DOI]
- Z Li, Q Li, Y Wang, J Zhang, H Wang. Energy Fuels, 2021. [DOI]
- L Ti, X Sheng, H Jia, W Han, Q Ping, J Yang, N Li. Mol Catal, 2023. [DOI]
- W Wang, X Zhang, Z Jiang, Y Cui, Q Kang, X Zhao, Q Zhang, L Ma. Fuel, 2022. [DOI]
- Q Xu, X Sheng, H Jia, N Li, J Zhang, H Shi, M Niu, Q Ping. ChemCatChem, 2021. [DOI]
- Q Xu, X Sheng, N Li, J Zhang, H Shi, M Niu, Q Ping, N Li. ACS Sustainable Chem Eng, 2021. [DOI]
- X Zhang, M Song, J Liu, Q Zhang, L Chen, L Ma. J Energy Chem, 2023. [DOI]
- J Xie, Y Liang, B Yang, J Zhang, J Xie, J-J Zou, Q Zhang. Fuel, 2023. [DOI]
- W Guo, Z-Q Wang, S Xiang, Y Jing, X Liu, Y Guo, X-Q Gong, Y Wang. Chin J Catal, 2023. [DOI]
- J Guan, J Chen, Y Luo, L Guo, W Zhang. Angew Chem, Int Ed, 2023. [DOI]
- J J Bozell, G R Petersen. Green Chem, 2010. [DOI]
- S Kang, J Fu, G Zhang. Renewable Sustainable Energy Rev, 2018. [DOI]
- D Di Menno Di Bucchianico, Y Wang, J-C Buvat, Y Pan, V Casson Moreno, S Leveneur. Green Chem, 2022. [DOI]
- W-P Xu, X-F Chen, H-J Guo, H-L Li, H-R Zhang, L Xiong, X-D Chen. J Chem Technol Biotechnol, 2021. [DOI]
- L Yan, Q Yao, Y Fu. Green Chem, 2017. [DOI]
- A Kumar, D Z Shende, K L Wasewar. Mater Today: Proc, 2020. [DOI]
- M Zhang, N Wang, J Liu, C Wang, Y Xu, L Ma. Crit Rev Biotechnol, 2022. [DOI | PubMed]
- K C Badgujar, V C Badgujar, B M Bhanage. Fuel Process Technol, 2020. [DOI]
- G C Hayes, C R Becer. Polym Chem, 2020. [DOI]
- J Horvat, B Klaić, B Metelko, V Šunjić. Tetrahedron Lett, 1985. [DOI]
- P Gautam, S Barman, A Ali. ChemistrySelect, 2022. [DOI]
- S Ntshibongo, M Maumela, N Bingwa. Inorg Chem Commun, 2022. [DOI]
- R Pothu, R Gundeboyina, R Boddula, V Perugopu, J Ma. New J Chem, 2022. [DOI]
- R Pothu, H Mitta, R Boddula, P Balla, R Gundeboyina, V Perugopu, J Ma. Mater Sci Energy Technol, 2022. [DOI]
- T Yuan, M Chu, K Zhang, S Jia, S Han, J Zhai, H Wang, T Xue, H Wu. ChemistrySelect, 2022. [DOI]
- Y Zhang, X Wang, Y Shen. Fuel, 2023. [DOI]
- J Liu, S Tao. Appl Surf Sci, 2023. [DOI]
- V K Velisoju, N Gutta, J Tardio, S K Bhargava, K Vankudoth, A Chatla, S Medak, V Akula. Appl Catal, A, 2018. [DOI]
- L Song, R Wang, L Che, Y Jiang, M Zhou, Y Zhao, J Pang, M Jiang, G Zhou, M Zheng. ACS Catal, 2021. [DOI]
- S Dutta, L Wu, M Mascal. Green Chem, 2015. [DOI]
- D Carnevali, M G Rigamonti, T Tabanelli, G S Patience, F Cavani. Appl Catal, A, 2018. [DOI]
- J Cui, J Tan, Y Zhu, F Cheng. ChemSusChem, 2018. [DOI | PubMed]
- F Bucciol, S Tabasso, G Grillo, F Menegazzo, M Signoretto, M Manzoli, G Cravotto. J Catal, 2019. [DOI]
- X Gao, S Zhu, M Dong, W Fan. J Catal, 2021. [DOI]
- Y Wei, J Lu, S Zhang, C Wu, X Nong, J Li, C-L Liu, W-S Dong. Chem Commun, 2023. [DOI]
- Rodiansono, A S Azzahra, H P Dewi, I B Adilina, K C Sembiring. Catal Sci Technol, 2023. [DOI]
- L Chen, Y Liu, C Gu, G Feng, X Zhang, J Liu, Q Zhang, C Wang, L Ma. ACS Sustainable Chem Eng, 2021. [DOI]
- Y Liu, C Gu, L Chen, W Zhou, Y Liao, C Wang, L Ma. ACS Appl Mater Interfaces, 2023. [DOI | PubMed]
- C Gu, L Chen, Y Liu, X Zhang, J Liu, Q Zhang, C Wang, L Ma. Mol Catal, 2022. [DOI]
- K Lu, Z Li, C Hai, J Li, C-L Liu, W-S Dong. Sustainable Energy Fuels, 2022. [DOI]
- Y Jiang, Z Li, Y Li, L Chen, H Zhang, H Li, S Yang. Fuel, 2023. [DOI]
- A B Raut, V S Shende, T Sasaki, B M Bhanage. J Catal, 2020. [DOI]
- C Chaudhari, M Shiraishi, Y Nishida, K Sato, K Nagaoka. Green Chem, 2020. [DOI]
- Y Louven, M O Haus, M Konrad, J P Hofmann, R Palkovits. Green Chem, 2020. [DOI]
- P -d Wu, H Li, Z Fang. Adv Sustainable Syst, 2022. [DOI]
- H Wu, W Dai, S Saravanamurugan, H Li, S Yang. ACS Sustainable Chem Eng, 2019. [DOI]
- C Xie, J Song, H Wu, Y Hu, H Liu, Z Zhang, P Zhang, B Chen, B Han. J Am Chem Soc, 2019. [DOI | PubMed]
- Y Wang, H Wu, J Wang, K Zhang, Y Liu, Z Wei. ACS Sustainable Chem Eng, 2022. [DOI]
- C Wu, M Lou, M Sun, H Wang, Z Li, J Qiu, J Wang, Z Liu. Green Energy Environ, 2023. [DOI]
- S Chakrabortty, S Zheng, F Kallmeier, E Baráth, S Tin, J G de Vries. ChemSusChem, 2023. [DOI | PubMed]
- R-F Cai, L Liu, F-F Chen, A Li, J-H Xu, G-W Zheng. ACS Sustainable Chem Eng, 2020. [DOI]
- J-Y Chen, Y-B Huang, B Hu, K-M Li, J-L Zhang, X Zhang, X-Y Yan, Q Lu. Green Chem, 2023. [DOI]
- F Kerkel, M Markiewicz, S Stolte, E Müller, W Kunz. Green Chem, 2021. [DOI]
- S Dutta, I K M Yu, D C W Tsang, Y H Ng, Y S Ok, J Sherwood, J H Clark. Chem Eng J, 2019. [DOI]
- F Meng, X Yang, S Zhao, Z Li, G Zhang, Y Qi, S Chu, G Wang, J Zhang, Y Qin. Appl Catal, B, 2023. [DOI]
- N Siddiqui, C Pendem, R Goyal, R Khatun, T S Khan, C Samanta, K Chiang, K Shah, M Ali Haider, R Bal. Fuel, 2022. [DOI]
- C E Bounoukta, C Megías-Sayago, N Rendón, F Ammari, A Penkova, S Ivanova, M Á Centeno, J A Odriozola. Sustainable Energy Fuels, 2023. [DOI]
- D A Roa, J J Garcia. J Catal, 2022. [DOI]
- Y Wu, H Wang, J Peng, J Zhang, M Ding. Chem Eng J, 2023. [DOI]
- A K Manal, J H Advani, R Srivastava. ChemCatChem, 2022. [DOI]
- Y Tang, J Fu, Y Wang, H Guo, X Qi. Fuel Process Technol, 2023. [DOI]
- X Wang, X Qi, M Qiu, F Shen, J Yang, B Shen. Fuel, 2023. [DOI]
- G Zhang, L Ma, Y Dong, Y Fang, X Kong. Fuel, 2023. [DOI]
- R Huang, H Liu, J Zhang, Y Cheng, L He, L Peng. Renewable Energy, 2022. [DOI]
- S Kondawar, C Rode. Curr Opin Green Sustainable Chem, 2022. [DOI]
- V S Shende, A B Raut, P Raghav, A A Kelkar, B M Bhanage. ACS Omega, 2019. [DOI | PubMed]
- C-Q Deng, J Liu, J-H Luo, L-J Gan, J Deng, Y Fu. Angew Chem, Int Ed, 2022. [DOI]
- B Zada, R Zhu, B Wang, J Liu, J Deng, Y Fu. Green Chem, 2020. [DOI]
- L Gan, C Deng, J Deng. Green Chem, 2022. [DOI]
- A Marckwordt, F El Ouahabi, H Amani, S Tin, N V Kalevaru, P C J Kamer, S Wohlrab, J G de Vries. Angew Chem, Int Ed, 2019. [DOI]
- M Choi, J Byun, H Park, K Jeong, S M Kim, J Han. Biomass Bioenergy, 2022. [DOI]
- M Al‐Naji, B Puértolas, B Kumru, D Cruz, M Bäumel, B V K J Schmidt, N V Tarakina, J Pérez‐Ramírez. ChemSusChem, 2019. [DOI | PubMed]
- Y Xia, P Yuan, Y Zhang, Y Sun, M Hong. Angew Chem, Int Ed, 2023. [DOI]
- P Yuan, Y Sun, X Xu, Y Luo, M Hong. Nat Chem, 2022. [DOI | PubMed]
- L Orha, J M Tukacs, L Kollár, L T Mika. Beilstein J Org Chem, 2019. [DOI | PubMed]
- L Orha, J M Tukacs, B Gyarmati, A Szilágyi, L Kollár, L T Mika. ACS Sustainable Chem Eng, 2018. [DOI]
- X Wang, J Zeng, X Lu, J Xin, S Zhang. Ind Eng Chem Res, 2019. [DOI]
- H Wang, Y Wu, T Jin, C Dong, J Peng, H Du, Y Zeng, M Ding. Mol Catal, 2020. [DOI]
- H Wang, Y Wu, Y Li, J Peng, X-K Gu, M Ding. Appl Catal, B, 2021. [DOI]
- H Wang, Y Wu, Y Li, J Peng, X-K Gu, M Ding. Green Chem, 2021. [DOI]
- V K Velisoju, D Jampaiah, N Gutta, U Bentrup, A Brückner, S K Bhargava, V Akula. ChemCatChem, 2020. [DOI]
- K G Martínez Figueredo, D J Segobia, N M Bertero. Catal Commun, 2020. [DOI]
- K G Martínez Figueredo, E M Virgilio, D J Segobia, N M Bertero. ChemPlusChem, 2021. [DOI | PubMed]
- J Parve, M Kudryašova, T Shalima, L Villo, I Liblikas, I Reile, T Pehk, N Gathergood, R Aav, L Vares. ACS Sustainable Chem Eng, 2021. [DOI]
- J Wu, G Gao, Y Li, P Sun, J Wang, F Li. Appl Catal, B, 2019. [DOI]
- D Cavuoto, N Ravasio, F Zaccheria, M Marelli, G Cappelletti, S Campisi, A Gervasini. Mol Catal, 2022. [DOI]
- C S Santos, C C S P Soares, A S Vieira, A C B Burtoloso. Green Chem, 2019. [DOI]
- D Cavuoto, A Gervasini, F Zaccheria, N Scotti, M Marelli, C Bisio, F Begni, N Ravasio. Catal Today, 2023. [DOI]
- R-J van Putten, J C van der Waal, E de Jong, C B Rasrendra, H J Heeres, J G de Vries. Chem Rev, 2013. [DOI | PubMed]
- G Shen, B Andrioletti, Y Queneau. Curr Opin Green Sustainable Chem, 2020. [DOI]
- S Karimi, C Binglin, H Shekaari. React Chem Eng, 2024. [DOI]
- B Qiu, W Hu, D Zhang, B Shen, Y Wang, H Chu. Fuel, 2024. [DOI]
- H Guo, X Ma, Z Chen, J Guo, J Lu. RSC Adv, 2025. [DOI | PubMed]
- Y Shi, Z Zhou, T Tana, C Su, H Y Zhu, A C Bissember, J Huang, P Han, S Sarina. ACS Catal, 2025. [DOI]
- W Fan, C Verrier, Y Queneau, F Popowycz. Curr Org Synth, 2019. [DOI | PubMed]
- C Chen, M Lv, H Hu, L Huai, B Zhu, S Fan, Q Wang, J Zhang. Adv Mater (Weinheim, Ger), 2024. [DOI]
- Z Jiang, Y Zeng, D Hu, R Guo, K Yan, R Luque. Green Chem, 2023. [DOI]
- A Sohail, C Wattanakit. Curr Opin Electrochem, 2025. [DOI]
- S Subbiah, S P Simeonov, J M S S Esperança, L P N Rebelo, C A M Afonso. Green Chem, 2013. [DOI]
- H Shen, H Shan, L Liu. ChemSusChem, 2020. [DOI | PubMed]
- M L Krebs, A Bodach, C Wang, F Schüth. Green Chem, 2023. [DOI]
- S Singhal, S Agarwal, M P Mudoi, N Singhal, R Singh. Biomass Convers Biorefin, 2023. [DOI]
- Z Zhang, G W Huber. Chem Soc Rev, 2018. [DOI | PubMed]
- T Su, D Zhao, Y Wang, H Lü, R S Varma, C Len. ChemSusChem, 2021. [DOI | PubMed]
- X-L Li, R Zhu, H-J Xu. ACS Sustainable Chem Eng, 2025. [DOI]
- W Xie, Y Zhang, H Zheng, P Lyu, X Ke, T Li, H Fang, Y Sun, J Dong, L Lin. ACS Catal, 2024. [DOI]
- Y Zhang, H Cui, H Xia. ChemSusChem, 2025. [DOI | PubMed]
- P Hoang Tran. ChemSusChem, 2022. [DOI | PubMed]
- W Zhang, H Qian, Q Hou, M Ju. Green Chem, 2023. [DOI]
- L Guo, X Zhang, L Gan, L Pan, C Shi, Z-F Huang, X Zhang, J-J Zou. Adv Sci, 2023. [DOI]
- C S Lecona-Vargas, M-J Dumont. Ind Eng Chem Res, 2024. [DOI]
- Y An, T Lei, W Jiang, H Pang. Green Chem, 2024. [DOI]
- Y Duan, X Lu, O Fan, H Xu, Z Zhang, C Si, T Xu, H Du, X Li. ChemSusChem, 2025. [DOI | PubMed]
- T Oyegoke, F Dumeignil, B E.-Yakubu Jibril, C Michel, R Wojcieszak. Catal Sci Technol, 2024. [DOI]
- C Xie, Z Jiang, Y Pang, C Xiao, J Song. Green Chem, 2024. [DOI]
- X Li, J Ma, X Jia, F Xia, Y Huang, Y Xu, J Xu. ACS Sustainable Chem Eng, 2018. [DOI]
- M Annatelli, J E Sánchez-Velandia, G Mazzi, S V Pandeirada, D Giannakoudakis, S Rautiainen, A Esposito, S Thiyagarajan, A Richel, K S Triantafyllidis. Green Chem, 2024. [DOI]
- K Ceyhan, H Gröger. ACS Sustainable Chem Eng, 2025. [DOI]
- K S Arias, A Garcia-Ortiz, M J Climent, A Corma, S Iborra. ACS Sustainable Chem Eng, 2018. [DOI]
- H Xia, J Li, M Zhou. Energies (Basel, Switz), 2023. [DOI]
- Y Wan, J-M Lee. ChemSusChem, 2022. [DOI | PubMed]
- R Gautam, H Li, S Saravanamurugan. ChemCatChem, 2024. [DOI]
- Y Yang, Y Wang, S Li, X Shen, B Chen, H Liu, B Han. Green Chem, 2020. [DOI]
- C Verrier, S Moebs-Sanchez, Y Queneau, F Popowycz. Org Biomol Chem, 2018. [DOI | PubMed]
- S Dutta. ChemPlusChem, 2025. [DOI | PubMed]
- Q Wu, M-H Zong, N Li. ACS Sustainable Chem Eng, 2024. [DOI]
- Z-G Zhang, X Shen, S-K Jiang, J-C Lin, Y Yi, X-J Ji. J Agric Food Chem, 2025. [DOI | PubMed]
- W Fan, Y Queneau, F Popowycz. Green Chem, 2018. [DOI]
- N Afradi, N Foroughifar, H Pasdar, M Qomi. Res Chem Intermed, 2019. [DOI]
- J Jiang, Y Queneau, F Popowycz. ChemSusChem, 2024. [DOI | PubMed]
- W Fan, Y Queneau, F Popowycz. RSC Adv, 2018. [DOI | PubMed]
- Q Wu, J Chen, X Guo, Y Xu. Eur J Org Chem, 2018. [DOI]
- L Sabahi-Agabager, F Nasiri. J Sulfur Chem, 2020. [DOI]
- V de la Sovera, G V López, W Porcal. Eur J Org Chem, 2022. [DOI]
- J Jiang, Y Queneau, F Popowycz. Eur J Org Chem, 2023. [DOI]
- H-B Yang, Z-H Wang, J-M Li, C Wu. Chem Commun, 2020. [DOI]
- S-S Li, Q Qin, Z Qi, L-M Yang, Y Kang, X-Z Zhang, A-J Ma, J-B Peng. Org Chem Front, 2021. [DOI]
- S Higson, F Subrizi, T D Sheppard, H C Hailes. Green Chem, 2016. [DOI]
- R C Cioc, M Lutz, E A Pidko, M Crockatt, J C van der Waal, P C A Bruijnincx. Green Chem, 2021. [DOI]
- W Jia, Y Sun, M Zuo, Y Feng, X Tang, X Zeng, L Lin. ChemSusChem, 2020. [DOI | PubMed]
- W Zhang, H Zhang, Y Feng, T Ma, F Liu, S Zhao, J Yang, Y Li, D Ji, W Tang. ACS Sustainable Chem Eng, 2023. [DOI]
- C Cristóbal, C Corral, J C Carretero, M Ribagorda, J Adrio. Chem Commun, 2023. [DOI]
- L Wang, C Verrier, M Ahmar, Y Queneau. Green Chem, 2020. [DOI]
- R F A Gomes, J A S Coelho, C A M Afonso. ChemSusChem, 2019. [DOI | PubMed]
- M Larduinat, E Dokmak, C Verrier, S Moebs-Sanchez, F Popowycz. J Org Chem, 2024. [DOI | PubMed]
- A Tampieri, K Föttinger, N Barrabés, F Medina. Appl Catal, B, 2022. [DOI]
- W Ramdani, I Rabadán González, N Benbakoura, M Ahmar, C Verrier, Y Queneau, M Pera‐Titus, F Jérôme, K De Oliveira Vigier. ChemCatChem, 2023. [DOI]
- J van Schijndel, L A Canalle, D Molendijk, J Meuldijk. Synlett, 2018. [DOI]
- S Mancipe, J-C Castillo, M H Brijaldo, V P López, H Rojas, M A Macías, J Portilla, G P Romanelli, J J Martínez, R Luque. ACS Sustainable Chem Eng, 2022. [DOI]
- J-N Tan, M Ahmar, Y Queneau. RSC Adv, 2015. [DOI]
- J F Ontiveros, L Wang, K Chatel, X Yue, J-N Tan, F Ali-Rachedi, M Ahmar, C Verrier, A Fusina, V Nardello-Rataj. ACS Sustainable Chem Eng, 2021. [DOI]
- M M Seitkalieva, A V Vavina, A V Posvyatenko, K S Egorova, A S Kashin, E G Gordeev, E N Strukova, L V Romashov, V P Ananikov. ACS Sustainable Chem Eng, 2021. [DOI]
- Q Hu, S Jiang, Y Wu, H Xu, G Li, Y Zhou, J Wang. ChemSusChem, 2022. [DOI | PubMed]
- V V Karve, D T Sun, O Trukhina, S Yang, E Oveisi, J Luterbacher, W L Queen. Green Chem, 2020. [DOI]
- C Moriana Herraiz, K S Arias, M J Climent, S Iborra, A Corma. Green Chem, 2024. [DOI]
- A Velty, S Iborra, A Corma. ChemSusChem, 2022. [DOI | PubMed]
- M Mascal. ChemSusChem, 2015. [DOI | PubMed]
- M Mascal. ACS Sustainable Chem Eng, 2019. [DOI]
- J Bueno Morón, F Arbore, G P M van Klink, M Mascal, G-J M Gruter. ChemSusChem, 2024. [DOI | PubMed]
- S Karimi, S Gharouni Fattah, Z Li, M Zuo, M Nasrollahzadeh, X Zeng. Green Chem, 2025. [DOI]
- M Mascal, E B Nikitin. Green Chem, 2010. [DOI]
- C Laugel, B Estrine, J Le Bras, N Hoffmann, S Marinkovic, J Muzart. ChemCatChem, 2014. [DOI]
- A I Vicente, J A S Coelho, S P Simeonov, H I Lazarova, M D Popova, C A M Afonso. Molecules, 2017. [DOI | PubMed]
- S Dutta, L Wu, M Mascal. Green Chem, 2015. [DOI]
- D Park, S Lee, J Kim, G Yeong Ryu, Y-W Suh. ChemPlusChem, 2022. [DOI | PubMed]
- B Chen, Y Feng, S Ma, W Xie, G Yan, Z Li, J Sperry, S Yang, X Tang, Y Sun. J Energy Chem, 2023. [DOI]
- B Chen, Y Feng, R Huang, S Yang, Z Li, J Sperry, S Yang, X Tang, Y Sun, L Lin. Appl Catal, B, 2022. [DOI]
- S B Onkarappa, S Dutta. ChemistrySelect, 2019. [DOI]
- D S Khachatryan, A L Razinov, A V Kolotaev, S K Belus´, K R Matevosyan. Russ Chem Bull, 2015. [DOI]
- N S Bhat, S L Hegde, S Dutta, P Sudarsanam. ACS Sustainable Chem Eng, 2022. [DOI]
- H Miao, H Ling, N Shevchenko, M Mascal. Organometallics, 2021. [DOI]
- H Miao, N Shevchenko, A L Otsuki, M Mascal. ChemSusChem, 2021. [DOI | PubMed]
- H Ling, H Miao, Z Cao, M Mascal. ChemSusChem, 2023. [DOI | PubMed]
- H Miao, H Ling, J Wei, M Mascal. ACS Sustainable Chem Eng, 2023. [DOI]
- Y-Y Gao, C-L Zhang, M-L Jin, Z-H Gao, S Ye. Angew Chem, Int Ed, 2023. [DOI]
- R Dasi, D Schmidhuber, L M Gronbach, J Rehbein, M Brasholz. Org Biomol Chem, 2021. [DOI | PubMed]
- M Mascal, S Dutta. Green Chem, 2011. [DOI]
- J M Khanna, N Kumar, B Khera, P C Ray. Process for the manufacture of pharmaceutical grade ranitidine base. U.S. Patent, 1997
- B Wozniak, S Tin, J G de Vries. Chem Sci, 2019. [DOI | PubMed]
- Z Yu, M Guo, J Wang, J Xiong, X Li, R Zhang, Y Qiao, J Han, X Lu. Green Chem, 2023. [DOI]
- F Liu, M Audemar, K De Oliveira Vigier, J-M Clacens, F De Campo, F Jérôme. ChemSusChem, 2014. [DOI | PubMed]
- F liu, M Audemar, K De Oliveira Vigier, J-M Clacens, F De Campo, F Jérôme. Green Chem, 2014. [DOI]
- L Longo, S Taghavi, E Ghedini, F Menegazzo, A Di Michele, G Cruciani, M Signoretto. ChemSusChem, 2022. [DOI | PubMed]
- D Polidoro, I E Mihai, A Perosa, M Selva. ACS Sustainable Chem Eng, 2023. [DOI]
- Z Tong, X Li, J Zhu, S Chen, G Dai, Q Deng, J Wang, W Yang, Z Zeng, J-J Zou. ChemSusChem, 2022. [DOI | PubMed]
- Q Deng, R Zhou, Y-C Zhang, X Li, J Li, S Tu, G Sheng, J Wang, Z Zeng, T Yoskamtorn. Angew Chem, Int Ed, 2023. [DOI]
- G Wu, H Yang, W Gao, K Wang, M V Penzik, A N Kozlov, B Li, Y Huang, S Zhang, H Zhang. J Anal Appl Pyrolysis, 2022. [DOI]
- N Shi, T Zhu, H Zhang, H Huang, L Zhou, Y Liu, R Shu. ACS Omega, 2023. [DOI | PubMed]
- B Wozniak, A Spannenberg, Y Li, S Hinze, J G de Vries. ChemSusChem, 2018. [DOI | PubMed]
- S Zheng, W Smit, A Spannenberg, S Tin, J G de Vries. Chem Commun, 2022. [DOI]
- S Zheng, S Chakrabortty, E Baráth, S Tin, J G de Vries. ACS Sustainable Chem Eng, 2022. [DOI]
- B Wozniak, Y Li, S Tin, J G de Vries. Green Chem, 2018. [DOI]
- C Zhang, Y Li, X Lv, X Gao, Y Duan, D Sui, Y Yang. ChemistrySelect, 2022. [DOI]
- C Liu, Y-C Hu, Z Yu, G Li, A Wang, Y Cong, X Wang, N Li. ACS Sustainable Chem Eng, 2022. [DOI]
- J Dong, H Yan, X Lv, Z Wang, Z Rao, B Zhu, J Wu, Y Zhou, H Chen. J Mater Chem C, 2023. [DOI]
- D Locatelli, A Bernardi, L R Rubino, S Gallo, A Vitale, R Bongiovanni, V Barbera, M Galimberti. ACS Sustainable Chem Eng, 2023. [DOI]
- Y Lin, F Wang, E Ren, F Zhu, Q Zhang, G-P Lu. J Catal, 2022. [DOI]
- H Chu, X Feng, X Wu, J Song, C Shen, T Tan. ACS Sustainable Chem Eng, 2023. [DOI]
- J Ohyama, R Kanao, A Esaki, A Satsuma. Chem Commun, 2014. [DOI]
- Q Deng, R Gao, X Li, J Wang, Z Zeng, J-J Zou, S Deng. ACS Catal, 2020. [DOI]
- R Gao, X Li, L Guo, Z Tong, Q Deng, J Wang, Z Zeng, J-J Zou, S Deng. Appl Catal, A, 2021. [DOI]
- N Perret, A Grigoropoulos, M Zanella, T D Manning, J B Claridge, M J Rosseinsky. ChemSusChem, 2016. [DOI | PubMed]
- R Ramos, A Grigoropoulos, N Perret, M Zanella, A P Katsoulidis, T D Manning, J B Claridge, M J Rosseinsky. Green Chem, 2017. [DOI]
- S Zhang, H Ma, Y Sun, Y Luo, X Liu, M Zhang, J Gao, J Xu. Green Chem, 2019. [DOI]
- J Li, Y Feng, H Wang, X Tang, Y Sun, X Zeng, L Lin. Mol Catal, 2021. [DOI]
- M V Morales, J M Conesa, A Guerrero-Ruiz, I Rodríguez-Ramos. Carbon, 2021. [DOI]
- Y-J Xu, J Shi, W-P Wu, R Zhu, X-L Li, J Deng, Y Fu. Appl Catal, A, 2017. [DOI]
- F Mo, G Dong. Science, 2014. [DOI | PubMed]
- B Hurtado, K S Arias, M J Climent, P Concepción, A Corma, S Iborra. ChemSusChem, 2022. [DOI | PubMed]
- F Allais. Curr Opin Green Sustainable Chem, 2023. [DOI]
- J He, M Liu, K Huang, T W Walker, C T Maravelias, J A Dumesic, G W Huber. Green Chem, 2017. [DOI]
- O Lamb, J Puschnig, S Glover, B W Greatrex. ChemSusChem, 2025. [DOI | PubMed]
- O Oyola-Rivera, J He, G W Huber, J A Dumesic, N Cardona-Martínez. Green Chem, 2019. [DOI]
- J E Camp. ChemSusChem, 2018. [DOI | PubMed]
- D Kong, A V Dolzhenko. Sustainable Chem Pharm, 2022. [DOI]
- C M Warne, S Fadlallah, A C Whitwood, J Sherwood, L M M Mouterde, F Allais, G M Guebitz, C R McElroy, A Pellis. Green Chem Lett Rev, 2023. [DOI]
- A Citarella, A Amenta, D Passarella, N Micale. Int J Mol Sci, 2022. [DOI | PubMed]
- N A Stini, P L Gkizis, C G Kokotos. Green Chem, 2022. [DOI]
- N Ayoub, J Toufaily, E Guénin, G Enderlin. ChemSusChem, 2022. [DOI | PubMed]
- M B Comba, Y-h Tsai, A M Sarotti, M I Mangione, A G Suárez, R A Spanevello. Eur J Org Chem, 2018. [DOI]
- M K Stanfield, R S Terry, J A Smith, S C Thickett. Polym Chem, 2023. [DOI]
- A Cummings, C Rice, G N Sheldrake, C W J Murnaghan. Eur J Org Chem, 2025. [DOI]
- G Bonneau, A A M Peru, A L Flourat, F Allais. Green Chem, 2018. [DOI]
- F Diot‐Néant, L Mouterde, S Fadlallah, S A Miller, F Allais. ChemSusChem, 2020. [DOI | PubMed]
- P Ray, T Hughes, C Smith, M Hibbert, K Saito, G P Simon. Polym Chem, 2019. [DOI]
- F Diot-Néant, E Rastoder, S A Miller, F Allais. ACS Sustainable Chem Eng, 2018. [DOI]
- X Huang, T Liu, J Wang, F Wei, J Ran, S Kudo. J Energy Inst, 2020. [DOI]
- M De bruyn, C Sener, D D Petrolini, D J McClelland, J He, M R Ball, Y Liu, L Martins, J A Dumesic, G W Huber. Green Chem, 2019. [DOI]
- S H Krishna, D J McClelland, Q A Rashke, J A Dumesic, G W Huber. Green Chem, 2017. [DOI]
- L Wu, H Kim, T-L Choi. J Am Chem Soc, 2025. [DOI | PubMed]
- G Lombardo, C M Warne, G Damonte, A Todea, L Nagy, G M Guebitz, F Allais, S Fadlallah, A Pellis. ACS Sustainable Chem Eng, 2025. [DOI | PubMed]
- L Hughes, C R McElroy, A C Whitwood, A J Hunt. Green Chem, 2018. [DOI]
- N Kuhl, B W H Turnbull, Y Ji, R T Larson, M Shevlin, C K Prier, C K Chung, R Desmond, E Guetschow, C Q He. Green Chem, 2023. [DOI]
